A Model to Simulate Gas Dissolution into/through Metals and Its Application to Deuterium in a 316L Steel Chamber with Pb-Li in a Quasi-2D Geometry †
Abstract
:1. Introduction
2. Background for Modelling Gas Dissolution into and through Metals
- the gas can be always considered in equilibrium for the purpose of evaluating thermodynamic properties (pressure, density, …) that affect the gas-metal interaction; and
- the diffusion is mainly determined by surface dynamics, and not gas availability outside of the metal.
- diffusivity, by verifying time-related properties of a pressure curve characterization;
- Sieverts’ constant, by comparing initial and final states of a pressure curve characterization;
3. A Methodology to Differentiate Dissolution from Gas Losses in Gas-Metal Systems
3.1. Modelling Approach and General Assumptions
- Low pressure regimes imply that Sieverts’ Law may be applied. Subsequently, in these conditions the gas concentration in a metal is low enough to allow one to approximate chemical-activity to concentration, with the purpose of computing the diffusion process in a single medium [7].
- Concentration gradients only exist in the direction of the diffusion channels, and temperature gradients along them are negligible. This way the diffusivity and Sieverts’ constant do not vary along the diffusion channel. This can be assumed if the width of the metal barriers, along the dimension of the diffusion process, is considerably smaller than its other dimensions [14].
3.2. Boundary Conditions (BC) on a Double Metallic Barrier for the Dissolution of a Diatomic Gas
- Coupled BC: gas-metal interfaces exposed to a finite amount of gas experience a BC that changes in time, since the flow of particles through the metal surface alters the gas density outside the metal. If more than one diffusion channel is simulated, all BCs must be altered in unison, taking into account the amount of gas flowing through the boundary node of each channel. For this reason, these BCs are effectively coupled.
- Co-Dependent BC: metal-metal interfaces only present a change in medium properties and no other process is assumed (e.g., recombination/dissociation); that is, fluxes are not determined by surface-controlled aspects.
- Fixed BC: gas-metal interfaces exposed to a gas reservoir of infinite supply experience a BC constant in time. In the particular case that the BC is equal to zero (as shown in the example in Figure 3), the model represents a surface that acts as a perfect sink (i.e., that metallic surface is constantly and efficiently ventilated).
3.3. Measurement of Diffusivity and Sieverts’ Constant from Experimental Gas Pressure Evolution
4. Methodology Validation by Comparing Simulations and Experiments of a Deuterium-Steel System (without Pb-Li)
4.1. Simulating a Deuterium Pressure Decrease Curve in the VST Upper Chamber
4.2. Experiments with the VST Upper Chamber
4.3. Applying Curve-Match to Obtain Dissolution Coefficients for the VST’s 316L Steel
- the first one shows a faster pressure decrease and lasts for only a fraction of the total experiment time (roughly: 15 h for the experiment at 100 °C, and less than 1 h for the others);
- the second one shows an apparent linear (and slower) pressure decrease (after the first phase ends).
- a larger volume decreases the pressure calculated at each time step, which reduces the Coupled BCs experienced by the inner surfaces, thus reducing the surface density of escaping molecular flows; but,
- larger inner surfaces increase the total escaping molecular flows.
5. Simulation of Future VST Experiments with Pb-Li Using Literature-Averaged Dissolution Parameters
5.1. Simulating the VST Upper Chamber + Pb-Li System with Literature-Averaged Dissolution Parameters for Pb-Li
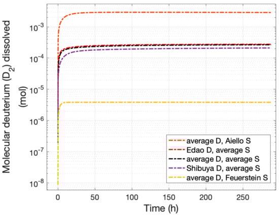
- the calculated curve for the diffusivity of deuterium in Pb-Li is roughly three orders of magnitude higher than in steel;
- the calculated curve for the Sieverts’ constant of deuterium in steel is roughly one order of magnitude higher than in Pb-Li.
5.2. Sensitivity Analysis with Diffusivities and Sieverts’ Constants for Pb-Li Taken from Literature
- the time required by the system to reach dissolution equilibrium; and
- the minimum amount of gas to be absorbed by the liquid metal.
- time-related properties do not depend exclusively on the diffusivities; and,
- the relative difference between initial and final pressures does not depend exclusively on the Sieverts’ constants.
6. Summary and Outlook
Author Contributions
Funding
Institutional Review Board Statement
Informed Consent Statement
Data Availability Statement
Acknowledgments
Conflicts of Interest
Abbreviations & Notation
| EU-DEMO | European Demonstration Power Plant |
| FPP | Fusion Power Plant |
| BB | Breeding Blanket |
| NMM | Neutron Multiplier Material |
| Pb-Li | Liquid Lead-Lithium in eutectic proportions |
| R&D | Research & Development |
| WCLL | Water-Cooled Liquid-Lithium |
| VST | Vacuum Sieve Tray (facility) |
| TLK | Tritium Laboratory Karlsruhe |
| Diffusivity of atom X in metal M | |
| Sieverts’ constant of gas X2 in metal M | |
| M | Metal |
| X2 | Diatomic gas |
| Concentration of atom X in a medium | |
| Sieverts’ concentration (vide Figure 4) | |
| Q2 | Isotopologue of hydrogen molecule |
| D2 | Deuterium molecule |
| BC | Boundary Condition |
| UC | Upper Chamber (of the VST setup) |
References
- Federici, G.; Boccaccini, L.; Cismondi, F.; Gasparotto, M.; Poitevin, Y.; Ricapito, I. An overview of the EU breeding blanket design strategy as an integral part of the DEMO design effort. Fusion Eng. Des. 2019, 141, 30–42. [Google Scholar] [CrossRef]
- Kovari, M.; Coleman, M.; Cristescu, I.; Smith, R. Tritium resources available for fusion reactors. Nucl. Fusion 2018, 58, 026010. [Google Scholar] [CrossRef]
- EUROfusion. European Research Roadmap to the Realisation of Fusion Energy; Vol. LONG VERSION, EUROfusion; Programme Management Unit: Garching, Germany, 2018; Available online: www.euro-fusion.org/eurofusion/roadmap (accessed on 19 February 2022).
- Boccaccini, L.; Aiello, G.; Aubert, J.; Bachmann, C.; Barrett, T.; Del Nevo, A.; Demange, D.; Forest, L.; Hernandez, F.; Norajitra, P.; et al. Objectives and status of EUROfusion DEMO blanket studies. Fusion Eng. Des. 2016, 109–111, 1199–1206. [Google Scholar] [CrossRef]
- Taylor, N.; Ciattaglia, S.; Boyer, H.; Coombs, D.; Jin, X.Z.; Liger, K.; Mora, J.C.; Mazzini, G.; Pinna, T.; Urbonavičius, E. Resolving safety issues for a demonstration fusion power plant. Fusion Eng. Des. 2017, 124, 1177–1180. [Google Scholar] [CrossRef]
- Utili, M.; Ciampichetti, A.; Aiello, A.; Ricapito, I.; Agostini, P.; Desideri, F.; Liger, K. Design of a multipurpose laboratory scale apparatus for the investigation of hydrogen isotopes in PbLi and permeation technologies. Fusion Eng. Des. 2012, 87, 1342–1346. [Google Scholar] [CrossRef]
- Austin Chang, Y.; Fitzner, K.; Zhang, M.X. The solubility of gases in liquid metals and alloys. Prog. Mater. Sci. 1988, 32, 97–259. [Google Scholar] [CrossRef]
- Diaz-Alvarez, E.; Frances, L. Accuracy evaluation and experimental plan of the Multi-Nozzle Vacuum Sieve Tray facility at the Tritium Laboratory Karlsruhe. Fusion Eng. Des. 2019, 146, 1954–1958. [Google Scholar] [CrossRef]
- Polcaro, A.; Ricci, P.; Viola, A. The kinetics of hydrogen absorption in molten Pb/Li alloy. J. Nucl. Mater. 1983, 119, 291–295. [Google Scholar] [CrossRef]
- Shibuya, Y.; Aida, M.; Fujii, Y.; Okamoto, M. Isothermal release of tritium from neutron-irradiated Li17Pb83. J. Nucl. Mater. 1987, 150, 286–291. [Google Scholar] [CrossRef]
- Feuerstein, H.; Gräbner, H.; Horn, S.; Oschinski, J. Behavior of deuterium and rare gases in thermal convection loops with molten Pb-17Li. Fusion Eng. Des. 1991, 14, 261–271. [Google Scholar] [CrossRef]
- Forcey, K.; Ross, D.; Simpson, J.; Evans, D. Hydrogen transport and solubility in 316L and 1.4914 steels for fusion reactor applications. J. Nucl. Mater. 1988, 160, 117–124. [Google Scholar] [CrossRef]
- Viola, A.; Pierini, G.; Lolli-Ceroni, P.; Douglas, K. Kinetics of deuterium desorption from Pb-17Li eutectic. Fusion Eng. Des. 1991, 14, 249–260. [Google Scholar] [CrossRef]
- Xiukui, S.; Jian, X.; Yiyi, L. Hydrogen permeation behaviour in austenitic stainless steels. Mater. Sci. Eng. A 1989, 114, 179–187. [Google Scholar] [CrossRef]
- Kaufman, M. Principles of Thermodynamics; Number 15 in Undergraduate Chemistry; Marcel Dekker: New York, NY, USA, 2002. [Google Scholar]
- Çengel, Y.A.; Boles, M.A. Thermodynamics: An Engineering Approach, 5th ed.; McGraw-Hill Series in Mechanical Engineering; McGraw-Hill Higher Education: Boston, MA, USA, 2006. [Google Scholar]
- Mas de les Valls, E.; Sedano, L.; Batet, L.; Ricapito, I.; Aiello, A.; Gastaldi, O.; Gabriel, F. Lead–lithium eutectic material database for nuclear fusion technology. J. Nucl. Mater. 2008, 376, 353–357. [Google Scholar] [CrossRef]
- Legarda, F.; Alberro, G.; Peñalva, I.; Sarrionandia-Ibarra, A.; Esteban, G.A. Experimental Determination of Reference Sieverts’ Constant and Diffusivity Values for Tritium in LiPb; Technical Report TW6-TTBC-005; EFDA: Bilbao, Spain, 2010. [Google Scholar]
- Okamoto, M.; Shibuya, Y.; Aida, M.; Fujii, Y. Tritium recovery from neutron irradiated li-pb alloys. Fusion Eng. Des. 1989, 8, 345–348. [Google Scholar] [CrossRef]
- Edao, Y.; Noguchi, H.; Fukada, S. Experiments of hydrogen isotope permeation, diffusion and dissolution in Li–Pb. J. Nucl. Mater. 2011, 417, 723–726. [Google Scholar] [CrossRef]
- Terai, T.; Nagai, S.; Yoneoka, T.; Takahashi, Y. Diffusion coefficient of tritium in molten lithium-lead alloy (Li17Pb83) under neutron irradiation at elevated temperatures. J. Nucl. Mater. 1992, 187, 247–253. [Google Scholar] [CrossRef]
- Reiter, F. Solubility and diffusivity of hydrogen isotopes in liquid Pb-17Li. Fusion Eng. Des. 1991, 14, 207–211. [Google Scholar] [CrossRef]
- Okitsu, H.; Edao, Y.; Okada, M.; Fukada, S. Analysis of diffusion and dissolution of two-component hydrogen (H+D) in lead lithium. Fusion Eng. Des. 2012, 87, 1324–1328. [Google Scholar] [CrossRef]
- Fauvet, P.; Sannier, J. Hydrogen behaviour in liquid 17Li83Pb alloy. J. Nucl. Mater. 1988, 155–157, 516–519. [Google Scholar] [CrossRef]
- Sze, D.K.; Clemmer, R.; Cheng, E.T. LiPb, a Novel Material for Fusion Applications; Technical Report UWFDM-378; Fusion Technology Institute, University of Wisconsin: Madison, WI, USA, 1980. [Google Scholar]
- Fukada, S.; Edao, Y. Unsolved issues on tritium mass transfer in Li–Pb liquid blankets. J. Nucl. Mater. 2011, 417, 727–730. [Google Scholar] [CrossRef]
- Katsuta, H.; Iwamoto, H.; Ohno, H. Hydrogen solubility in liquid Li17Pb83. J. Nucl. Mater. 1985, 133–134, 167–170. [Google Scholar] [CrossRef]
- Wu, C.H.; Blair, A.J. A study of the interaction of tritium with liquid Li17Pb83. In Proceedings of the 12. Symposium Held in Juelich, Juelich, Germany, 13–17 September 1983; Volume 1, pp. 699–704. [Google Scholar] [CrossRef]
- Aiello, A.; Ciampichetti, A.; Benamati, G. Determination of hydrogen solubility in lead lithium using sole device. Fusion Eng. Des. 2006, 81, 639–644. [Google Scholar] [CrossRef]
- Wu, C.H. The Solubility of Deuterium in Lithium-Lead Alloys. J. Nucl. Mater. 1983, 114, 30–33. [Google Scholar] [CrossRef]
- Wu, C. The interaction of hydrogen isotopes with lithium-lead alloys. J. Nucl. Mater. 1984, 123, 941–945. [Google Scholar] [CrossRef]
- Chan, Y.C.; Veleckis, E. A Thermodynamic Investigation of Dilute Solutions of Hydrogen in Liquid Li-Pb Alloys. J. Nucl. Mater. 1984, 123, 935–940. [Google Scholar] [CrossRef]
- Hoch, M. The solubility of hydrogen, deuterium and tritium in liquid lead-lithium alloys. J. Nucl. Mater. 1984, 120, 102–112. [Google Scholar] [CrossRef]
- Malara, C.; Casini, G.; Viola, A. Analysis of tritium behaviour and recovery from a water-cooled Pb17Li blanket. Fusion Eng. Des. 1995, 28, 299–312. [Google Scholar] [CrossRef]
- Feuerstein, H.; Gräbner, H.; Horn, S.; Oschinski, J. Transport of deuterium and rare gases by flowing molten Pb-17Li. J. Nucl. Mater. 1991, 179–181, 882–885. [Google Scholar] [CrossRef]
- Barrer, R.M. Diffusion in and through Solids; The Cambridge Series of Physical Chemistry; Cambridge University Press: Cambridge, UK, 1941; ISBN10: 5-88379-533-1. [Google Scholar]
- Fowler, R.H.; Smithells, C.J. A theoretical formula for the solubility of hydrogen in metals. Proc. R. Soc. Lond. Ser. A Math. Phys. Sci. 1937, 160, 37–47. [Google Scholar] [CrossRef] [Green Version]
- Lacher, J.R. A theoretical formula for the solubility of hydrogen in palladium. Proc. R. Soc. Lond. Ser. A Math. Phys. Sci. 1937, 161, 525–545. [Google Scholar] [CrossRef] [Green Version]
- Crank, J. The Mathematics of Diffusion, 2nd ed.; Clarendon Press: Oxford, UK, 1975. [Google Scholar]
- Peiró, J.; Sherwin, S. Finite Difference, Finite Element and Finite Volume Methods for Partial Differential Equations. In Handbook of Materials Modeling: Methods; Yip, S., Ed.; Springer: Dordrecht, The Netherlands, 2005; pp. 2415–2446. [Google Scholar] [CrossRef]
- Schäfer, M. Computational Engineering—Introduction to Numerical Methods; Springer: Berlin/Heidelberg, Germany, 2006. [Google Scholar]
- Auer, P.L.; Murbach, E.W. Diffusion across an Interface. J. Chem. Phys. 1954, 22, 1054–1059. [Google Scholar] [CrossRef]
- Dean, J.A.; Lange, N.A. (Eds.) Lange’s Handbook of Chemistry, 15th ed.; McGraw-Hill Handbooks, McGraw-Hill: New York, NY, USA, 1999; ISBN 978-0-07-016384-3. [Google Scholar]
- Kishimoto, N.; Tanabe, T.; Suzuki, T.; Yoshida, H. Hydrogen diffusion and solution at high temperatures in 316L stainless steel and nickel-base heat-resistant alloys. J. Nucl. Mater. 1985, 127, 1–9. [Google Scholar] [CrossRef]
- Lee, S.K.; Kim, H.S.; Noh, S.J.; Han, J.H. Hydrogen Permeability, Diffusivity, and Solubility of SUS 316L Stainless Steel in the Temperature Range 400 to 800 OC for Fusion Reactor Applications. J. Korean Phys. Soc. 2011, 59, 3019–3023. [Google Scholar] [CrossRef]
- Pomella Lobo, T. A Quasi-2D Model to Simulate Thermodynamics and Kinetics of Hydrogen Isotopes Dissolution in Pb-Li and Steel. Master’s Thesis, Eindhoven University of Technology, Eindhoven, The Netherlands, 2018. [Google Scholar]















| 316L | ||||
|---|---|---|---|---|
| () | () | () | () | () |
| max | [44] | [45] | [12] | [12] |
| avg | (all) | (all) | (all) | (all) |
| min | [45] | [12] | [14] | [45] |
| 316L | ||||
|---|---|---|---|---|
| () | () | () | () | () |
| 100 °C | ||||
| 350 °C | ||||
| 400 °C |
| Pb-Li | ||||
|---|---|---|---|---|
| () | () | () | () | () |
| max | [18] | [19] | [23] | [23] |
| avg | (all) | (all) | (all) | (all) |
| min | [10] | [10] | [22] | [30] |
| Simulation | Simulation | (%) | (mol) | ||||
|---|---|---|---|---|---|---|---|
| avg | Aiello [29] | 63.96 | 90.00 | 96.74 | 98.94 | 99.79 | |
| Edao [20] | avg | 73.19 | 87.78 | 93.43 | 96.80 | 99.10 | |
| avg | avg | 71.26 | 86.88 | 92.77 | 96.40 | 98.97 | |
| Shibuya [10] | avg | 55.54 | 83.50 | 92.35 | 96.45 | 99.00 | |
| avg | Feuerstein [35] | 95.71 | 99.64 | 99.82 | 99.92 | 99.98 | |
| (%) | 10 | 30 | 50 | 17 | 90 | 100 | |
| Time t (h) | 7.2 | 21.6 | 36 | 50.4 | 64.8 | = 72 | |
Publisher’s Note: MDPI stays neutral with regard to jurisdictional claims in published maps and institutional affiliations. |
© 2022 by the authors. Licensee MDPI, Basel, Switzerland. This article is an open access article distributed under the terms and conditions of the Creative Commons Attribution (CC BY) license (https://creativecommons.org/licenses/by/4.0/).
Share and Cite
Pomella Lobo, T.; Diaz-Alvarez, E.; Frances, L. A Model to Simulate Gas Dissolution into/through Metals and Its Application to Deuterium in a 316L Steel Chamber with Pb-Li in a Quasi-2D Geometry. Appl. Sci. 2022, 12, 2523. https://doi.org/10.3390/app12052523
Pomella Lobo T, Diaz-Alvarez E, Frances L. A Model to Simulate Gas Dissolution into/through Metals and Its Application to Deuterium in a 316L Steel Chamber with Pb-Li in a Quasi-2D Geometry. Applied Sciences. 2022; 12(5):2523. https://doi.org/10.3390/app12052523
Chicago/Turabian StylePomella Lobo, Tiago, Ester Diaz-Alvarez, and Laëtitia Frances. 2022. "A Model to Simulate Gas Dissolution into/through Metals and Its Application to Deuterium in a 316L Steel Chamber with Pb-Li in a Quasi-2D Geometry" Applied Sciences 12, no. 5: 2523. https://doi.org/10.3390/app12052523
APA StylePomella Lobo, T., Diaz-Alvarez, E., & Frances, L. (2022). A Model to Simulate Gas Dissolution into/through Metals and Its Application to Deuterium in a 316L Steel Chamber with Pb-Li in a Quasi-2D Geometry. Applied Sciences, 12(5), 2523. https://doi.org/10.3390/app12052523

