Balance Control of a Quadruped Robot Based on Foot Fall Adjustment
Abstract
:1. Introduction
2. Dynamics of Quadruped Robots
2.1. Simulation Model Analysis
2.2. Gait Planning
- (1)
- The speed of the swing leg decreases to zero when it falls on the ground.
- (2)
- Keep the supporting legs moving at a constant speed during the retraction process.
- (3)
- There should be no abrupt change in the speed and acceleration of the swing leg and supporting leg during movement.
3. Dynamic Balance Control Method
- (a)
- The projection point of the gravity center is in front of the 2–3 leg diagonal.
- (b)
- The projection point of the gravity center is behind the 2–3 leg diagonal.
- (c)
- The projection point of the gravity center is in front of the 1–4 leg diagonal
- (d)
- The projection point of the gravity center is behind the 1–4 leg diagonal.
- (1)
- In a cycle, the time difference can be obtained when legs 1 and 4 are in the swinging phase, and the time difference can be obtained when legs 2 and 3 are in the swinging phase.
- (2)
- According to the landing time difference, the distance or between the projection point of the gravity center and the diagonal of the landing leg on the centerline is solved. Assuming that the initial position before adjustment is , the desired foot position is:where, is the desired foot position.
- (3)
- After the expected foot position of the quadruped robot is calculated, the landing attitude of the swinging leg is adjusted according to the data feedback of the attitude to reduce the force on the leg. Set the expected coordinate value , and the expected value of each coordinate axis is:where, and represent the changes in x- and z-axis adjustment, respectively.
- (4)
- Repeat steps (1) to (3) until the flight rate is greater than . is an adjustable threshold. When the flight rate is greater than , it means that the landing time difference of diagonal legs is very small in the movement, and the posture of the body can meet the requirements.
4. Simulation Experiments
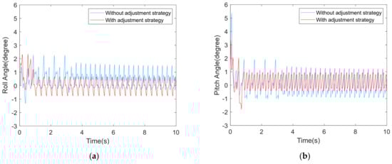
4.1. Flat Ground Walking Simulation
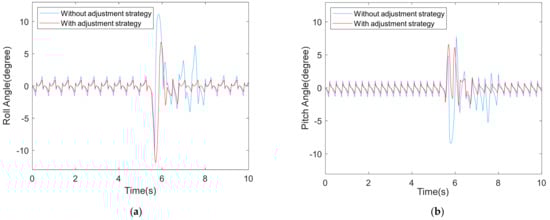
4.2. Lateral Impact Simulation
5. Conclusions
Author Contributions
Funding
Informed Consent Statement
Conflicts of Interest
References
- Playter, R.; Buehler, M.; Raibert, M. BigDog, Unmanned Systems Technology VIII. Int. Soc. Opt. Photonics 2006, 6230, 896–901. [Google Scholar]
- Raibert, M.; Blankespoor, K.; Nelson, G.; Playter, R. BigDog, the rough-terrain quadruped robot. IFAC Proc. Vol. 2008, 41, 10822–10825. [Google Scholar] [CrossRef] [Green Version]
- Sparrow, R. Kicking a robot dog. In Proceedings of the 2016 11th ACM/IEEE International Conference on Human-Robot Interaction (HRI), Christchurch, New Zealand, 7–10 March 2016; p. 229. [Google Scholar]
- Ackerman, E. Boston dynamics’ SpotMini is all electric, agile, and has a capable face-arm. IEEE Spectr. 2016, 6, 356–358. [Google Scholar]
- Hutter, M.; Gehring, C.; Jud, D.; Lauber, A.; Dario Bellicoso, C.; Tsounis, V.; Hwangbo, J.; Bodie, K.; Fankhauser, P.; Bloesch, B.; et al. Anymal—A highly mobile and dynamic quadrupedal robot. In Proceedings of the 2016 IEEE/RSJ International Conference on Intelligent Robots and Systems (IROS), Daejeon, Korea, 9–14 October 2016; pp. 38–44. [Google Scholar]
- Yang, W.; Yang, C.; Chen, Y.; Xu, L. Simulation of exoskeleton ZMP during walking for balance control. In Proceedings of the 2018 IEEE 9th International Conference on Mechanical and Intelligent Manufacturing Technologies (ICMIMT), Cape Town, South Africa, 10–13 February 2018; pp. 172–176. [Google Scholar]
- Folgheraiter, M.; Yessaly, A.; Kaliyev, G.; Yskak, A.; Yessirkepov, S.; Oleinikov, A.; Gini, G. Computational efficient balance control for a lightweight biped robot with sensor based ZMP estimation. In Proceedings of the 2018 IEEE-RAS 18th International Conference on Humanoid Robots (Humanoids), Beijing, China, 6–9 November 2018; pp. 232–237. [Google Scholar]
- Yuan, S.; Zhou, Y.; Luo, C. Crawling gait planning based on foot trajectory optimization for quadruped robot. In Proceedings of the 2019 IEEE International Conference on Mechatronics and Automation (ICMA), Tianjin, China, 4–7 August 2019; pp. 1490–1495. [Google Scholar]
- Chen, G.; Hou, B.; Guo, S.; Wang, J. Dynamic balance and trajectory tracking control of quadruped robots based on virtual model control. In Proceedings of the 2020 39th Chinese Control Conference (CCC), Shenyang, China, 27–29 July 2020; pp. 3771–3776. [Google Scholar]
- Chen, G.; Guo, S.; Hou, B.; Wang, J. Virtual Model Control for Quadruped Robots. IEEE Access 2020, 8, 140736–140751. [Google Scholar] [CrossRef]
- Zhao, J.B.; Ma, S.; Niu, S.; Wang, J. Fractional-order virtual model control for trotting motion of quadruped robot. In Proceedings of the 2020 Chinese Control and Decision Conference (CCDC), Shenyang, China, 22–24 August 2020; pp. 4935–4942. [Google Scholar]
- Xie, J.; Ma, H.; Wei, Q.; An, H.; Su, B. Adaptive walking on slope of quadruped robot based on CPG. In Proceedings of the 2019 2nd World Conference on Mechanical Engineering and Intelligent Manufacturing (WCMEIM), Dalian, China, 29–31 October 2019; pp. 487–493. [Google Scholar]
- Shang, L.; Li, Z.; Wang, W.; Yi, J. Smooth gait transition based on CPG network for a quadruped robot. In Proceedings of the 2019 IEEE/ASME International Conference on Advanced Intelligent Mechatronics (AIM), Hong Kong, China, 8–12 July 2019; pp. 358–363. [Google Scholar]
- Pelit, M.M.; Chang, J.; Takano, R.; Yamakita, M. Bipedal walking based on improved spring loaded inverted pendulum model with swing leg (SLIP-SL). In Proceedings of the 2020 IEEE/ASME International Conference on Advanced Intelligent Mechatronics (AIM), Hokkaido, Japan, 6–10 July 2020; pp. 72–77. [Google Scholar]
- Shan, K.; Yu, H.; Gao, H.; Zhang, L.; Deng, Z. Stance phase leg actuation control of the active SLIP running based on virtual constraint in sagittal plane. In Proceedings of the 2018 Annual American Control Conference (ACC), Milwaukee, WI, USA, 27–29 June 2018; pp. 1969–1974. [Google Scholar]
- Meng, X.; Yu, Z.; Huang, G.; Chen, X.; Qi, W.; Huang, Q.; Su, B. Walking control of biped robots on uneven terrains based on SLIP model. In Proceedings of the 2019 IEEE International Conference on Advanced Robotics and its Social Impacts (ARSO), Beijing, China, 31 October–2 November 2019; pp. 174–179. [Google Scholar]
- Vukobratović, M.; Borovac, B. Zero-Moment Point—Thirty Five Years of Its Life. Int. J. Hum. Robot. 2004, 1, 157–173. [Google Scholar] [CrossRef]
- Raibert, M.H.; Chepponis, M.; Brown, H.B. Running on four legs as though they were one. IEEE J. Robot. Autom. 1986, 2, 70–82. [Google Scholar] [CrossRef] [Green Version]
- Raibert, M.H. Trotting, pacing and bounding by a quadruped robot. J. Biomech. 1990, 23, 79–98. [Google Scholar] [CrossRef]
- Won, M.; Kang, T.H.; Chung, W.K. Gait planning for quadruped robot based on dynamic stability: Landing accordance ratio. Intell. Serv. Robot. 2009, 2, 105–112. [Google Scholar] [CrossRef]













| Parameters | Value | |
|---|---|---|
| Mass | (Trunk) | 3 kg |
| 0.06 kg | ||
| 0.12 kg | ||
| 0.12 kg | ||
| Length | (Trunk length) | 183 mm |
| (Trunk width) | 162 mm | |
| (Trunk height) | 20 mm | |
| 47.5 mm | ||
| 65 mm | ||
| 65 mm |
Publisher’s Note: MDPI stays neutral with regard to jurisdictional claims in published maps and institutional affiliations. |
© 2022 by the authors. Licensee MDPI, Basel, Switzerland. This article is an open access article distributed under the terms and conditions of the Creative Commons Attribution (CC BY) license (https://creativecommons.org/licenses/by/4.0/).
Share and Cite
Sun, W.; Tian, X.; Song, Y.; Pang, B.; Yuan, X.; Xu, Q. Balance Control of a Quadruped Robot Based on Foot Fall Adjustment. Appl. Sci. 2022, 12, 2521. https://doi.org/10.3390/app12052521
Sun W, Tian X, Song Y, Pang B, Yuan X, Xu Q. Balance Control of a Quadruped Robot Based on Foot Fall Adjustment. Applied Sciences. 2022; 12(5):2521. https://doi.org/10.3390/app12052521
Chicago/Turabian StyleSun, Wenkai, Xiaojie Tian, Yong Song, Bao Pang, Xianfeng Yuan, and Qingyang Xu. 2022. "Balance Control of a Quadruped Robot Based on Foot Fall Adjustment" Applied Sciences 12, no. 5: 2521. https://doi.org/10.3390/app12052521
APA StyleSun, W., Tian, X., Song, Y., Pang, B., Yuan, X., & Xu, Q. (2022). Balance Control of a Quadruped Robot Based on Foot Fall Adjustment. Applied Sciences, 12(5), 2521. https://doi.org/10.3390/app12052521

