Intelligent Prediction of Prestressed Steel Structure Construction Safety Based on BP Neural Network
Abstract
:1. Introduction
2. Methods
2.1. Fusion of Safety Performance Parameters and BP Neural Network
2.1.1. Correlation of Structural Safety Performance Parameters
2.1.2. Basic Principle of BP Neural Network
2.1.3. Fusion of Safety Parameters
2.2. BP Neural Network and DTs Driven Structural Safety Prediction Mechanism
2.2.1. Fusion Mechanism of BP Neural Network and DTs
2.2.2. Structure Safety Intelligent Prediction Framework
3. Results
3.1. Test Structure Model
3.2. Establishment of Prediction Model
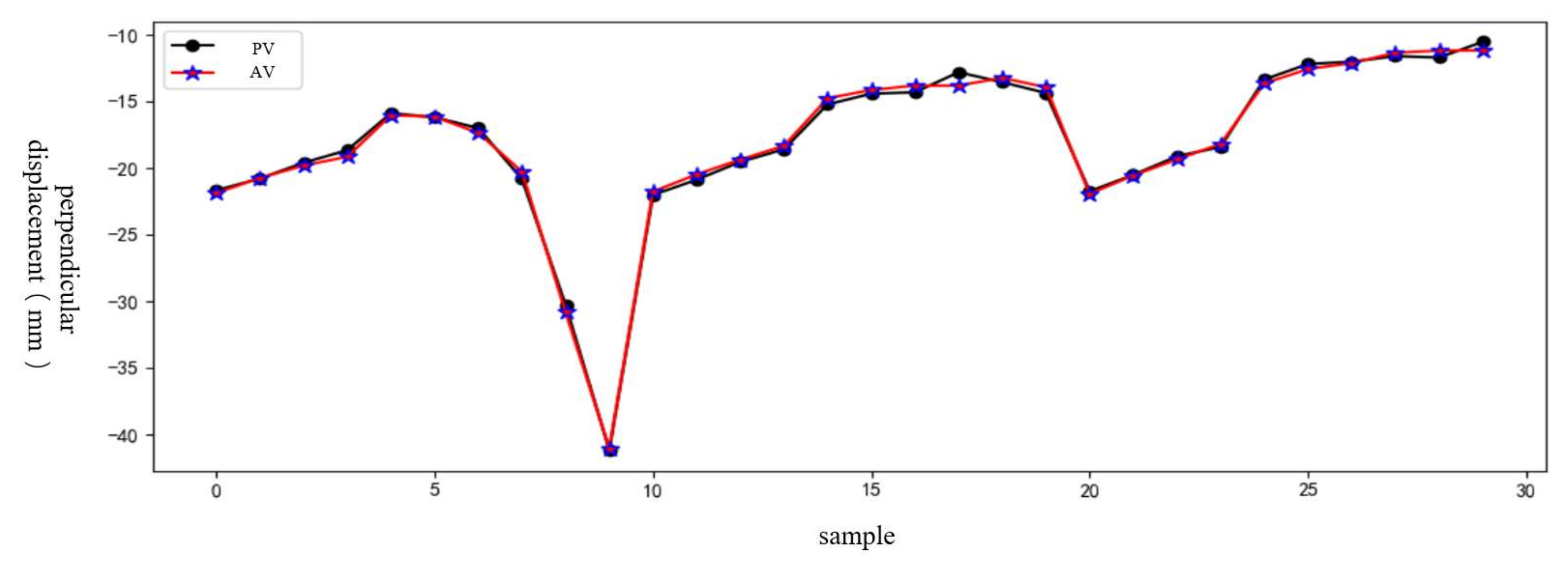
3.3. Changes of Safety Performance under Construction Conditions
4. Discussion and Conclusions
Author Contributions
Funding
Institutional Review Board Statement
Informed Consent Statement
Data Availability Statement
Acknowledgments
Conflicts of Interest
References
- Zhang, A.L.; Sun, C.; Jiang, Z.Q. Calculation method of prestress distribution for levy cable dome with double struts considering self-weight. Eng. Mech. 2017, 34, 211–218. (In Chinese) [Google Scholar]
- Krishnan, S. Structural design and behavior of prestressed cable domes. Eng. Struct. 2020, 209, 110294. [Google Scholar] [CrossRef]
- Shekastehband, B.; Abedi, K.; Dianat, N.; Chenaghlou, M. Experimental and numerical studies on the collapse behavior of tensegrity systems considering cable rupture and strut collapse with snap-through. Int. J. Non-Linear Mech. 2012, 47, 751–768. [Google Scholar] [CrossRef]
- Ge, J.Q.; Liu, B.N.; Wang, S.; Zhang, G.J.; Zhang, M.S.; Huang, J.Y.; Liu, X.G. Study on design of prestressed tensegrity cable structures. J. Build. Struct. 2019, 40, 73–80. (In Chinese) [Google Scholar]
- Chen, Z.H.; Ma, Q.; Yan, X.Y.; Lou, S.Y.; Chen, R.H.; Si, B. Research on Influence of Construction Error and Controlling Techniques of Compound Cable Dome. J. Hunan Univ. (Nat. Sci.) 2018, 45, 47–56. (In Chinese) [Google Scholar]
- Wang, Z.H.; Luo, B.; Zhang, M.Q.; Zhang, Y.Q.; Zhang, C.H. Experimental study and finite element analysis on bearing capacity of pin-connected plate joints. J. Build. Struct. 2020, 41, 150–159. (In Chinese) [Google Scholar]
- Guo, Y.L.; Zhang, X.Q. Influences of temperature changes and cable length errors on tension structures using un-adjustable cable length design. China Civ. Eng. J. 2017, 50, 11–22, 61. (In Chinese) [Google Scholar]
- Liu, Z.; Shi, G.; Jiang, A.; Li, W. Intelligent Discrimination Method Based on Digital Twins for Analyzing Sensitivity of Mechanical Parameters of Prestressed Cables. Appl. Sci. 2021, 11, 1485. [Google Scholar] [CrossRef]
- Arezki, S.; Kamel, L.; Amar, K. Effects of temperature changes on the behavior of a cable truss system. J. Constr. Steel Res. 2017, 129, 111–118. [Google Scholar]
- Basta, A.; Serror, M.H.; Marzouk, M. A BIM-based framework for quantitative assessment of steel structure deconstructability. Autom. Constr. 2020, 111, 103064. [Google Scholar] [CrossRef]
- Goh, M.; Goh, Y.M. Lean production theory-based simulation of modular construction processes. Autom. Constr. 2019, 101, 227–244. [Google Scholar] [CrossRef]
- Thai, H.-T.; Kim, S.-E. Nonlinear static and dynamic analysis of cable structures. Finite Elements Anal. Des. 2011, 47, 237–246. [Google Scholar] [CrossRef]
- Harirchian, E.; Kumari, V.; Jadhav, K.; Raj Das, R.; Rasulzade, S.; Lahmer, T. A Machine Learning Framework for Assessing Seismic Hazard Safety of Reinforced Concrete Buildings. Appl. Sci. 2020, 10, 7153. [Google Scholar] [CrossRef]
- Le Cun, Y.; Bengio, Y.; Hinton, G. Deep learning. Nature 2015, 521, 436–444. [Google Scholar] [CrossRef]
- Tao, F.; Zhang, H.; Qi, Q.L.; Xu, J.; Sun, Z.; Hu, T.L.; Liu, X.J.; Liu, T.Y.; Guan, J.T.; Chen, C.Y.; et al. Theory of digital twin modeling and its application. Comput. Integr. Manuf. Syst. 2021, 27, 1–15. [Google Scholar]
- Liu, Z.; Shi, G.; Zhang, A.; Huang, C. Intelligent Tensioning Method for Prestressed Cables Based on Digital Twins and Artificial Intelligence. Sensors 2020, 20, 7006. [Google Scholar] [CrossRef]
- Wu, N.-J. Predicting the Compressive Strength of Concrete Using an RBF-ANN Model. Appl. Sci. 2021, 11, 6382. [Google Scholar] [CrossRef]
- Hou, L.; Wu, S.; Zhang, G.; Tan, Y.; Wang, X. Literature Review of Digital Twins Applications in Construction Workforce Safety. Appl. Sci. 2020, 11, 339. [Google Scholar] [CrossRef]
- Lu, Q.; Parlikad, A.K.; Woodall, P.; Xie, X. Developing a dynamic digital twin at building and city levels: A case study of the West Cambridge campus. J. Manag. Eng. 2019, 36, 1–19. [Google Scholar]
- Li, H.M.; Duan, P.S.; Meng, H.; Guo, H.D. Study on safety early-warning assessment of damaged steel structure reconstruction based on IPSO-BP. J. Saf. Sci. Technol. 2019, 15, 174–180. (In Chinese) [Google Scholar]
- Han, X.J.; Zhao, Z.C. Structural surface crack detection method based on computer vision technology. J. Build. Struct. 2018, 39, 418–427. (In Chinese) [Google Scholar]
- Love, P.E.D.; Toe, P. Statistical Analysis of Injury and Nonconformance Frequencies in Construction: Negative Binomial Regression Model. J. Constr. Eng. Manag. 2017, 143, 05017011. [Google Scholar] [CrossRef]
- Zhang, Z.H.; Liu, L.; Zhi, X.D.; Fan, F. Study on stability of cable supported single-layer two-way grid cylindrical shell. J. Build. Struct. 2021, 42, 39–47. (In Chinese) [Google Scholar]
- Cao, T.; D’Acunto, P.; Castellón, J.J.; Tellini, A.; Schwartz, J.; Zhang, H. Design of prestressed gridshells as smooth poly-hypar surface structures. Structures 2021, 30, 973–984. [Google Scholar] [CrossRef]
- Liu, Z.; Jiang, A.; Shao, W.; Zhang, A.; Du, X. Artificial-Neural-Network-Based Mechanical Simulation Prediction Method for Wheel-Spoke Cable Truss Construction. Int. J. Steel Struct. 2021, 21, 1032–1052. [Google Scholar] [CrossRef]
- Afram, A.; Janabi-Sharifi, F.; Fung, A.S.; Raahemifar, K. Artificial neural network (ANN) based model predictive control (MPC) and optimization of HVAC systems: A state of the art review and case study of a residential HVAC system. Energy Build. 2017, 141, 96–113. [Google Scholar] [CrossRef]
- Chen, S.Y.; Han, J.P.; Yu, X.H.; Lv, D.G. Seismic Fragility Surface Analysis of Rc Frame Structures Based on Bp Neural Networks: Accounting for the Effects of Ground Motion Intensity and Duration. Eng. Mech. 2021, 38, 107–117. (In Chinese) [Google Scholar]
- Ji, X.; Yang, B.; Tang, Q. Acoustic Seabed Classification Based on Multibeam Echosounder Backscatter Data Using the PSO-BP-AdaBoost Algorithm: A Case Study from Jiaozhou Bay, China. IEEE J. Ocean. Eng. 2020, 46, 509–519. [Google Scholar] [CrossRef]
- Lachhwani, K. Application of Neural Network Models for Mathematical Programming Problems: A State of Art Review. Arch. Comput. Methods Eng. 2019, 27, 171–182. [Google Scholar] [CrossRef]
- Parisi, G.I.; Kemker, R.; Part, J.L.; Kanan, C.; Wermter, S. Continual lifelong learning with neural networks: A review. Neural Netw. 2019, 113, 54–71. [Google Scholar] [CrossRef]
- Li, N.; Liao, J.; Lu, J.Y.; Zong, W. Configuration generation and mechanical properties analysis of circular-wave reticulated shells. J. Build. Struct. 2016, 37, 121–126. (In Chinese) [Google Scholar]
- Angjeliu, G.; Coronelli, D.; Cardani, G. Development of the simulation model for Digital Twin applications in historical masonry buildings: The integration between numerical and experimental reality. Comput. Struct. 2020, 238, 106282. [Google Scholar] [CrossRef]
- Liu, Z.; Shi, G.; Jiao, Z.; Zhao, L. Intelligent Safety Assessment of Prestressed Steel Structures Based on Digital Twins. Symmetry 2021, 13, 1927. [Google Scholar] [CrossRef]
- Ma, Z.L.; Teng, M.K.; Ren, Y. Method of extracting static data for building energy consumption monitoring from BIM. J. Harbin Inst. Technol. 2019, 51, 187–193. [Google Scholar]
- Guo, X.; Ma, S.Y.; Guo, Y.F. Blast peak pressure prediction for surrounding rock medium based on BP neural network method. J. Vib. Shock 2019, 38, 199–206. [Google Scholar]












| Parameter Type | Taking Values |
|---|---|
| Size of upper chord beam (mm) | H700 × 250 × 20 × 36, H700 × 250 × 16 × 20 |
| Size of strut (mm) | , , |
| Diameter of lower chord cable (mm) | 50, 55, 60, 65, 70 |
| Number of the strut | 7, 9, 11 |
| Arc of lower chord cable (°) | 8, 9, 10 |
| Initial tension of the lower chord cable (KN) | 600, 700, 800, 900, 1000 |
| Mechanical Parameter | Specific Limits |
|---|---|
| Perpendicular displacement | less than 1/250 of structural span |
| Cable stress | less than 1/2.5 of allowable stress |
Publisher’s Note: MDPI stays neutral with regard to jurisdictional claims in published maps and institutional affiliations. |
© 2022 by the authors. Licensee MDPI, Basel, Switzerland. This article is an open access article distributed under the terms and conditions of the Creative Commons Attribution (CC BY) license (https://creativecommons.org/licenses/by/4.0/).
Share and Cite
Zhu, H.; Wang, Y. Intelligent Prediction of Prestressed Steel Structure Construction Safety Based on BP Neural Network. Appl. Sci. 2022, 12, 1442. https://doi.org/10.3390/app12031442
Zhu H, Wang Y. Intelligent Prediction of Prestressed Steel Structure Construction Safety Based on BP Neural Network. Applied Sciences. 2022; 12(3):1442. https://doi.org/10.3390/app12031442
Chicago/Turabian StyleZhu, Haoliang, and Yousong Wang. 2022. "Intelligent Prediction of Prestressed Steel Structure Construction Safety Based on BP Neural Network" Applied Sciences 12, no. 3: 1442. https://doi.org/10.3390/app12031442
APA StyleZhu, H., & Wang, Y. (2022). Intelligent Prediction of Prestressed Steel Structure Construction Safety Based on BP Neural Network. Applied Sciences, 12(3), 1442. https://doi.org/10.3390/app12031442
