Valorisation of Spent Grain from Malt Whisky in the Spelt Pasta Formulation: Modelling and Optimization Study
Abstract
:1. Introduction
- –
- The response surface method is used to find the optimal response and changes its direction because of the design variables, which can be seen as a visual graph. An experimental design should take into account the design constraints [29]. Some advantages of optimization methods are the following: computational efficiency; better description of the factors’ influence in the process, both alone or in combinations; the relationship between the responses and the factors; and the achievement of a sustainable processing industry [30].
2. Materials and Methods
2.1. Materials
2.2. Pasta Processing
2.3. Dough Texture
2.4. Dry Pasta Color
2.5. Dry Pasta Fracturability
2.6. Crude Proteins and Total Dietary Fiber
2.7. Total Phenolic Content
2.8. Antioxidant Activity of Pasta
2.9. Pasta Cooking Behavior
2.10. Optimization of Spent Grain Level and Model Validation
2.11. Sensory Analysis of Pasta
2.12. Statistical Analysis
3. Results and Discussion
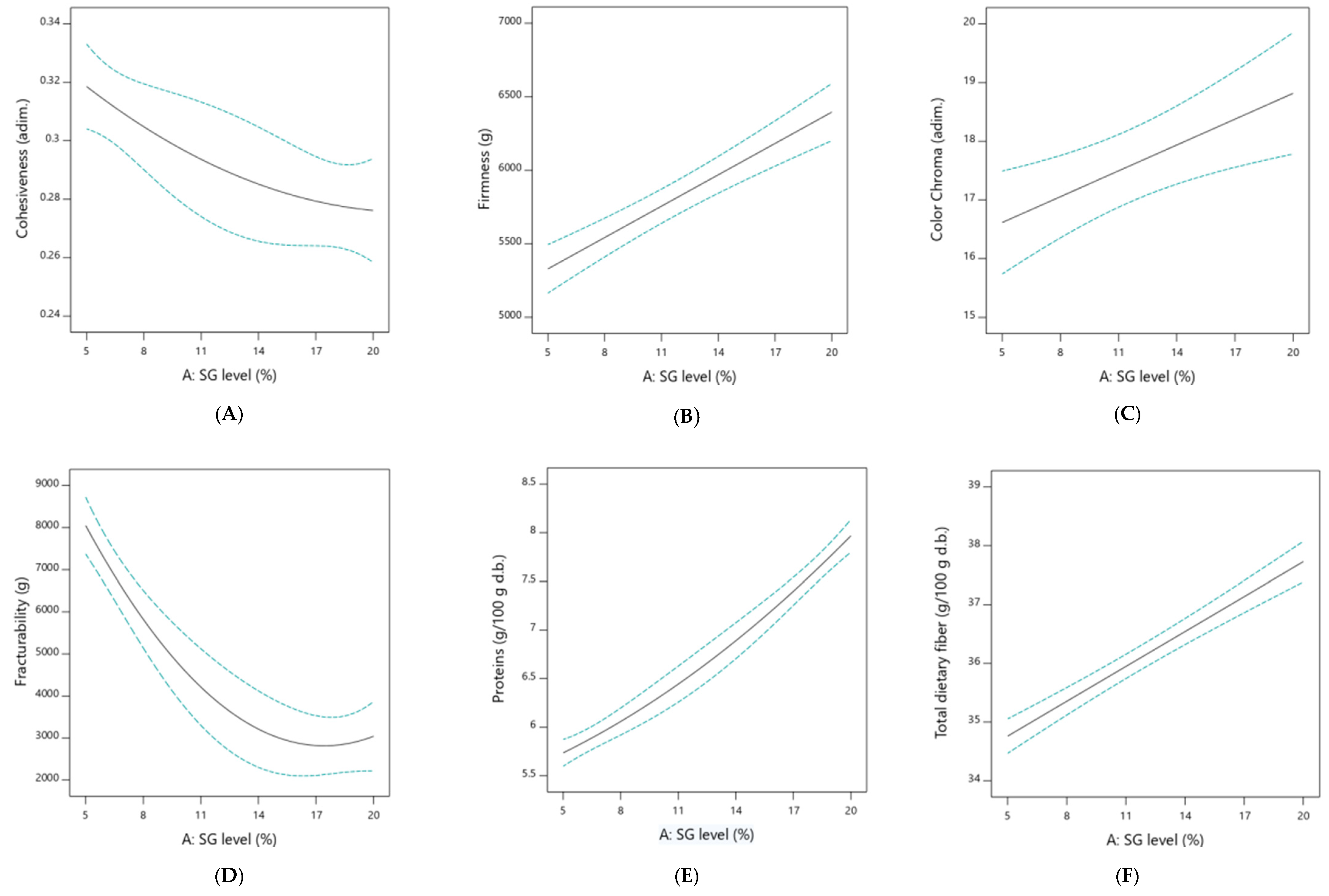
3.1. Model Fitting and Statistical Analysis
3.2. Optimization of Parameters and Validation of the Models
3.3. Optimization of Spent Grain Level and Model Validation
3.4. Sensory Analysis of Pasta
4. Conclusions
Author Contributions
Funding
Institutional Review Board Statement
Informed Consent Statement
Data Availability Statement
Acknowledgments
Conflicts of Interest
Sample Availability
References
- Naibaho, J.; Korzeniowska, M.; Wojdyło, A.; Figiel, A.; Yang, B.; Laaksonen, O.; Foste, M.; Vilu, R.; Viiard, E. Fiber modification of brewers’ spent grain by autoclave treatment to improve its properties as a functional food ingredient. LWT 2021, 149, 111877. [Google Scholar] [CrossRef]
- Parchami, M.; Ferreira, J.A.; Taherzadeh, M.J. Starch and protein recovery from brewer’s spent grain using hydrothermal pretreatment and their conversion to edible filamentous fungi—A brewery biorefinery concept. Bioresour. Technol. 2021, 337, 125409. [Google Scholar] [CrossRef] [PubMed]
- Jackson, S.A.; Kang, X.; O’Shea, R.; O’Leary, N.; Murphy, J.D.; Dobson, A.D.W. Anaerobic digestion performance and microbial community structures in biogas production from whiskey distillers organic by-products. Bioresour. Technol. Rep. 2020, 12, 100565. [Google Scholar] [CrossRef]
- Czubaszek, A.; Wojciechowicz-Budzisz, A.; Spychaj, R.; Kawa-Rygielska, J. Baking properties of flour and nutritional value of rye bread with brewer’s spent grain. LWT 2021, 150, 111955. [Google Scholar] [CrossRef]
- Korcari, D.; Secchiero, R.; Laureati, M.; Marti, A.; Cardone, G.; Rabitti, N.S.; Ricci, G.; Fortina, M.G. Technological properties, shelf life and consumer preference of spelt-based sourdough bread using novel, selected starter cultures. LWT 2021, 151, 112097. [Google Scholar] [CrossRef]
- Witczak, T.; Gałkowska, D. Sorption and thermal characteristics of ancient grain pasta of various compositions. LWT 2021, 137, 110433. [Google Scholar] [CrossRef]
- Romano, A.; Ferranti, P.; Gallo, V.; Masi, P. New ingredients and alternatives to durum wheat semolina for a high quality dried pasta. Curr. Opin. Food Sci. 2021, 41, 249–259. [Google Scholar] [CrossRef]
- Zamaratskaia, G.; Gerhardt, K.; Wendin, K. Biochemical characteristics and potential applications of ancient cereals—An underexploited opportunity for sustainable production and consumption. Trends Food Sci. Technol. 2021, 107, 114–123. [Google Scholar] [CrossRef]
- Sahin, A.W.; Atzler, J.J.; Valdeperez, D.; Münch, S.; Cattaneo, G.; O’Riordan, P.; Arendt, E.K. Rejuvenated Brewer’s Spent Grain: EverVita Ingredients as Game-Changers in Fibre-Enriched Bread. Foods 2021, 10, 1162. [Google Scholar] [CrossRef]
- Patrignani, M.; Brantsen, J.F.; Awika, J.M.; Conforti, P.A. Application of a novel microwave energy treatment on brewers’ spent grain (BSG): Effect on its functionality and chemical characteristics. Food Chem. 2021, 346, 128935. [Google Scholar] [CrossRef]
- Mussatto, S.I.; Dragone, G.; Roberto, I.C. Brewers’ spent grain: Generation, characteristics and potential applications. J. Cereal Sci. 2006, 43, 1–14. [Google Scholar] [CrossRef]
- Wagner, E.; Pería, M.E.; Ortiz, G.E.; Rojas, N.L.; Ghiringhelli, P.D. Valorization of brewer’s spent grain by different strategies of structural destabilization and enzymatic saccharification. Ind. Crop. Prod. 2021, 163, 113329. [Google Scholar] [CrossRef]
- Kavalopoulos, M.; Stoumpou, V.; Christofi, A.; Mai, S.; Barampouti, E.M.; Moustakas, K.; Malamis, D.; Loizidou, M. Sustainable valorisation pathways mitigating environmental pollution from brewers’ spent grains. Environ. Pollut. 2021, 270, 116069. [Google Scholar] [CrossRef] [PubMed]
- Wójtowicz, A.; Oniszczuk, A.; Kasprzak, K.; Olech, M.; Mitrus, M.; Oniszczuk, T. Chemical composition and selected quality characteristics of new types of precooked wheat and spelt pasta products. Food Chem. 2020, 309, 125673. [Google Scholar] [CrossRef]
- Naibaho, J.; Korzeniowska, M. Brewers’ spent grain in food systems: Processing and final products quality as a function of fiber modification treatment. J. Food Sci. 2021, 86, 1532–1551. [Google Scholar] [CrossRef]
- Gonçalves, S.D.; Quiroga, F.; Vilaça, A.C.; Lancetti, R.; Canallis, M.S.B.; de Andrade, M.H.C.; Ribotta, P.D. Physical–chemical evaluation of flours from brewery and macauba residues and their uses in the elaboration of cookies. J. Food Process. Preserv. 2021, 45, e15700. [Google Scholar] [CrossRef]
- Grasso, S. Extruded snacks from industrial by-products: A review. Trends Food Sci. Technol. 2020, 99, 284–294. [Google Scholar] [CrossRef]
- Vriesekoop, F.; Haynes, A.; van der Heijden, N.; Liang, H.; Paximada, P.; Zuidberg, A. Incorporation of Fermented Brewers Spent Grain in the Production of Sourdough Bread. Fermentation 2021, 7, 96. [Google Scholar] [CrossRef]
- Nagy, V.; Diósi, G. Using brewer’s spent grain as a byproduct of the brewing industry in the bakery industry. Elelmvizsg. Kozl. 2021, 67, 3339–3350. [Google Scholar] [CrossRef]
- Escarnot, E.; Agneessens, R.; Wathelet, B.; Paquot, M. Quantitative and qualitative study of spelt and wheat fibres in varying milling fractions. Food Chem. 2010, 122, 857–863. [Google Scholar] [CrossRef]
- Sterczyńska, M.; Stachnik, M.; Poreda, A.; Pużyńska, K.; Piepiórka-Stepuk, J.; Fiutak, G.; Jakubowski, M. Ionic composition of beer worts produced with selected unmalted grains. LWT 2021, 137, 110348. [Google Scholar] [CrossRef]
- Świeca, M.; Dziki, D.; Gawlik-Dziki, U.; Różyło, R.; Andruszczak, S.; Kraska, P.; Kowalczyk, D.; Pałys, E.; Baraniak, B. Grinding and Nutritional Properties of Six Spelt (Triticum aestivum ssp. Spelta L.). Cultivars. Cereal Chem. 2014, 91, 247–254. [Google Scholar] [CrossRef]
- Gałkowska, D.; Witczak, T.; Witczak, M. Ancient Wheat and Quinoa Flours as Ingredients for Pasta Dough—Evaluation of Thermal and Rheological Properties. Molecules 2021, 26, 7033. [Google Scholar] [CrossRef] [PubMed]
- Filipović, J.; Pezo, L.; Filipović, V.; Brkljača, J.; Krulj, J. The effects of ω-3 fatty acids and inulin addition to spelt pasta quality. LWT 2015, 63, 43–51. [Google Scholar] [CrossRef]
- Marconi, E.; Carcea, M.; Schiavone, M.; Cubadda, R. Spelt (Triticum spelta L.) Pasta Quality: Combined Effect of Flour Properties and Drying Conditions. Cereal Chem. 2002, 79, 634–639. [Google Scholar] [CrossRef]
- Chetrariu, A.; Dabija, A. Quality Characteristics of Spelt Pasta Enriched with Spent Grain. Agronomy 2021, 11, 1824. [Google Scholar] [CrossRef]
- Rousta, L.K.; Yazdi, A.P.G.; Khorasani, S.; Tavakoli, M.; Ahmadi, Z.; Amini, M. Optimization of novel multigrain pasta and evaluation of physicochemical properties: Using D-optimal mixture design. Food Sci. Nutr. 2021, 9, 5546–5556. [Google Scholar] [CrossRef] [PubMed]
- Marconi, E.; Messia, M.C. Pasta Made from Nontraditional Raw Materials: Technological and Nutritional Aspects, 2nd ed.; AACC International, Inc.: Eagan, MN, USA, 2012; ISBN 9780128104323. [Google Scholar]
- Bradley, N. The Response Surface Methodology; Department of Mathematical Sciences, Indiana University of South Bend: South Bend, IN, USA, 2007. [Google Scholar]
- Mironeasa, S.; Mironeasa, C. Dough bread from refined wheat flour partially replaced by grape peels: Optimizing the rheological properties. J. Food Process Eng. 2019, 42, e13207. [Google Scholar] [CrossRef]
- Sobukola, O.P.; Babajide, J.M.; Ogunsade, O. Effect of brewers spent grain addition and extrusion parameters on some properties of extruded yam starch-based pasta. J. Food Process. Preserv. 2013, 37, 734–743. [Google Scholar] [CrossRef]
- Nocente, F.; Natale, C.; Galassi, E.; Taddei, F.; Gazza, L. Using Einkorn and Tritordeum Brewers’ Spent Grain to Increase the Nutritional Potential of Durum Wheat Pasta. Foods 2021, 10, 502. [Google Scholar] [CrossRef]
- Spinelli, S.; Padalino, L.; Costa, C.; Del Nobile, M.A.; Conte, A. Food by-products to fortified pasta: A new approach for optimization. J. Clean. Prod. 2019, 215, 985–991. [Google Scholar] [CrossRef]
- Schettino, R.; Verni, M.; Acin-Albiac, M.; Vincentini, O.; Krona, A.; Knaapila, A.; Cagno, R.; Gobbetti, M.; Rizzello, C.; Coda, R. Bioprocessed Brewers’ Spent Grain Improves Nutritional and Antioxidant Properties of Pasta. Antioxidants 2021, 10, 742. [Google Scholar] [CrossRef] [PubMed]
- Iuga, M.; Mironeasa, S. Use of Grape Peels By-Product for Wheat Pasta Manufacturing. Plants 2021, 10, 926. [Google Scholar] [CrossRef] [PubMed]
- Palavecino, P.M.; Bustos, M.C.; Alabí, M.B.H.; Nicolazzi, M.S.; Penci, M.C.; Ribotta, P.D. Effect of Ingredients on the Quality of Gluten-Free Sorghum Pasta. J. Food Sci. 2017, 82, 2085–2093. [Google Scholar] [CrossRef] [PubMed]
- Iuga, M.; Mironeasa, S. Application of heat moisture treatment in wheat pasta production. Food Control 2021, 128, 108176. [Google Scholar] [CrossRef]
- Oroian, M.; Ursachi, F.; Dranca, F. Ultrasound-Assisted Extraction of Polyphenols from Crude Pollen. Antioxidants 2020, 9, 322. [Google Scholar] [CrossRef] [PubMed]
- Chetrariu, A.; Dabija, A. Spent Grain from Malt Whisky: Assessment of the Phenolic Compounds. Molecules 2021, 26, 3236. [Google Scholar] [CrossRef] [PubMed]
- Nkeletela, L.B.; Ganongo-Po, F.B.; Kimbonguila, A.; Guenonie, S.I.; Matos, L.; Petit, J.; Scher, J.; Nzikou, J.M. Manufacturing of Composite Pasta by a Mixing Plan. Food Nutr. Sci. 2021, 12, 206–221. [Google Scholar] [CrossRef]
- Petitot, M.; Boyer, L.; Minier, C.; Micard, V. Fortification of pasta with split pea and faba bean flours: Pasta processing and quality evaluation. Food Res. Int. 2010, 43, 634–641. [Google Scholar] [CrossRef]
- Iuga, M.; Batariuc, A.; Mironeasa, S. Synergistic Effects of Heat-Moisture Treatment Regime and Grape Peels Addition on Wheat Dough and Pasta Features. Appl. Sci. 2021, 11, 5403. [Google Scholar] [CrossRef]
- Palavecino, P.M.; Curti, M.I.; Bustos, M.C.; Penci, M.C.; Ribotta, P.D. Sorghum Pasta and Noodles: Technological and Nutritional Aspects. Plant Foods Hum. Nutr. 2020, 75, 326–336. [Google Scholar] [CrossRef] [PubMed]
- Zhao, Y.H.; Manthey, F.A.; Chang, S.K.C.; Hou, H.-J.; Yuan, S.H. Quality Characteristics of Spaghetti as Affected by Green and Yellow Pea, Lentil, and Chickpea Flours. J. Food Sci. 2006, 70, s371–s376. [Google Scholar] [CrossRef]
- Tazrart, K.; Zaidi, F.; Lamacchia, C.; Haros, M. Effect of durum wheat semolina substitution with broad bean flour (Vicia faba) on the Maccheronccini pasta quality. Eur. Food Res. Technol. 2016, 242, 477–485. [Google Scholar] [CrossRef] [Green Version]
- Cappa, C.; Alamprese, C. Brewer’s spent grain valorization in fiber-enriched fresh egg pasta production: Modelling and optimization study. LWT 2017, 82, 464–470. [Google Scholar] [CrossRef]
- Heredia-Sandoval, N.G.; del Carmen Granados-Nevárez, M.; de la Barca, A.M.C.; Vásquez-Lara, F.; Malunga, L.N.; Apea-Bah, F.B.; Beta, T.; Islas-Rubio, A.R. Phenolic acids, antioxidant capacity, and estimated glycemic index of cookies added with brewer’s spent grain. Plant Foods Hum. Nutr. 2020, 75, 41–47. [Google Scholar] [CrossRef]
- Nocente, F.; Taddei, F.; Galassi, E.; Gazza, L. Upcycling of brewers’ spent grain by production of dry pasta with higher nutritional potential. LWT 2019, 114, 108421. [Google Scholar] [CrossRef]
- Ainsa, A.; Honrado, A.; Marquina, P.L.; Roncalés, P.; Beltrán, J.A.; Calanche M., J.B. Innovative Development of Pasta with the Addition of Fish By-Products from Two Species. Foods 2021, 10, 1889. [Google Scholar] [CrossRef]
- Maga, J.; van Everen, K.E. Chemical and sensory properties of wholewheat pasta products supplemented with wheat-derived dried distillers grain (DDG). J. Food Process. Preserv. 1988, 13, 71–78. [Google Scholar] [CrossRef]
- Bianchi, F.; Tolve, R.; Rainero, G.; Bordiga, M.; Brennan, C.S.; Simonato, B. Technological, nutritional and sensory properties of pasta fortified with agro-industrial by-products: A review. Int. J. Food Sci. Technol. 2021, 56, 4356–4366. [Google Scholar] [CrossRef]
- Reis, S.F.; Abu-Ghannam, N. Antioxidant capacity, arabinoxylans content and in vitro glycaemic index of cereal-based snacks incorporated with brewer’s spent grain. LWT 2014, 55, 269–277. [Google Scholar] [CrossRef] [Green Version]
- Vital, A.C.P.; Itoda, C.; Crepaldi, Y.S.; Saraiva, B.R.; Matumoto-Pintro, P.T. Use of asparagus flour from non-commercial plants (residue) for functional pasta production: Asparagus flour for functional pasta production. J. Food Sci. Technol. 2020, 57, 2926–2933. [Google Scholar] [CrossRef] [PubMed]
- Bertin, N.N.G.; Annie, T.N.; Cédric, K.V.; Ulrich, M.N.S.; Bilkissou, N.; Pascal, W.; Elie, F.; François-Xavier, D.E. Formulation of Plantain Flour-Based Pasta: Process Optimization and Sensory Evaluation. Food Sci. Nutr. Res. 2020, 3, 1–11. [Google Scholar] [CrossRef]
- Sahin, A.W.; Hardiman, K.; Atzler, J.J.; Vogelsang-O’Dwyer, M.; Valdeperez, D.; Münch, S.; Cattaneo, G.; O’Riordan, P.; Arendt, E.K. Rejuvenated Brewer’s Spent Grain: The impact of two BSG-derived ingredients on techno-functional and nutritional characteristics of fibre-enriched pasta. Innov. Food Sci. Emerg. Technol. 2021, 68, 102633. [Google Scholar] [CrossRef]
- Manthey, F.A.; Schorno, A.L. Physical and Cooking Quality of Spaghetti Made from Whole Wheat Durum. Cereal Chem. 2002, 79, 504–510. [Google Scholar] [CrossRef]




| Chemical Composition | Spent Grain Flour | Spelt Flour |
|---|---|---|
| lipids | 7.11 ± 0.39 | 3 ± 0.01 |
| fiber | 22.67 ± 0.42 | 8 ± 0.05 |
| protein | 18.88 ± 0.37 | 14 ± 0.09 |
| ash | 3.47 ± 0.02 | 2.11 ± 0.04 |
| moisture | 5.04 ± 0.42 | 11.26 ± 0.08 |
| Response | Model | F-Value | p-Value | R2 | Adj.-R2 |
|---|---|---|---|---|---|
| Cohesiveness | quadratic | 14.6 | <0.01 | 0.87 | 0.81 |
| Firmness | linear | 100.76 | <0.01 | 0.95 | 0.94 |
| Color | linear | 15.18 | <0.01 | 0.75 | 0.70 |
| Fracturability | quadratic | 105.81 | <0.01 | 0.98 | 0.97 |
| Crude proteins | quadratic | 415.93 | <0.01 | 0.99 | 0.99 |
| Total dietary fiber | linear | 247.60 | <0.01 | 0.98 | 0.97 |
| Total phenolic content | linear | 364.43 | <0.01 | 0.98 | 0.98 |
| Antioxidant activity | quadratic | 63.25 | <0.01 | 0.96 | 0.95 |
| Cooking loss | quadratic | 253.08 | <0.01 | 0.99 | 0.98 |
| Name | Goal | Lower Limit | Upper Limit | Importance |
|---|---|---|---|---|
| A:SG level (%) | in range | 5 | 20 | 3 |
| Cohesiveness (adim.) | maximize | 0.27 | 0.329 | 3 |
| Firmness (g) | in range | 5359 | 6437 | 3 |
| Color chroma (adim.) | in range | 15.53 | 18.88 | 3 |
| Fracturability (g) | maximize | 2935 | 8120 | 3 |
| Crude proteins (g/100 g d.b.) | maximize | 5.68 | 7.99 | 3 |
| Total dietary fiber (g/100 g d.b.) | maximize | 34.64 | 37.95 | 3 |
| Total phenolic content (µg GAE/g) | maximize | 17.21 | 23.03 | 3 |
| Antioxidant activity (% inhibition) | maximize | 15.6 | 35.55 | 3 |
| Cooking loss (%) | minimize | 5.01 | 6.992 | 3 |
| Factor | Spent Grain Pasta | ||
|---|---|---|---|
| Predicted Value | Verified Value | Relative Deviation * (%) | |
| SG level | 11.70 | 11.70 | |
| Cohesiveness (adim.) | 0.291 a | 0.302 a | 3.64 |
| Firmness (g) | 5805.01 a | 5786.06 a | −0.33 |
| Color (adim.) | 17.59 a | 17.69 a | 0.52 |
| Fracturability (g) | 3924.74 a | 3976.25 a | 1.30 |
| Crude proteins (g/100 g d.b.) | 6.54 a | 6.67 b | 1.96 |
| Total dietary fiber (g/100 g d.b.) | 36.08 a | 36.42 a | 0.92 |
| Total phenolic content (µg GAE/g) | 21.71 a | 22.84 a | 4.94 |
| Antioxidant activity (% inhibition) | 19.72 a | 20.12 a | 1.96 |
| Cooking loss (%) | 5.92 a | 5.71 a | −3.71 |
Publisher’s Note: MDPI stays neutral with regard to jurisdictional claims in published maps and institutional affiliations. |
© 2022 by the authors. Licensee MDPI, Basel, Switzerland. This article is an open access article distributed under the terms and conditions of the Creative Commons Attribution (CC BY) license (https://creativecommons.org/licenses/by/4.0/).
Share and Cite
Chetrariu, A.; Dabija, A. Valorisation of Spent Grain from Malt Whisky in the Spelt Pasta Formulation: Modelling and Optimization Study. Appl. Sci. 2022, 12, 1441. https://doi.org/10.3390/app12031441
Chetrariu A, Dabija A. Valorisation of Spent Grain from Malt Whisky in the Spelt Pasta Formulation: Modelling and Optimization Study. Applied Sciences. 2022; 12(3):1441. https://doi.org/10.3390/app12031441
Chicago/Turabian StyleChetrariu, Ancuța, and Adriana Dabija. 2022. "Valorisation of Spent Grain from Malt Whisky in the Spelt Pasta Formulation: Modelling and Optimization Study" Applied Sciences 12, no. 3: 1441. https://doi.org/10.3390/app12031441
APA StyleChetrariu, A., & Dabija, A. (2022). Valorisation of Spent Grain from Malt Whisky in the Spelt Pasta Formulation: Modelling and Optimization Study. Applied Sciences, 12(3), 1441. https://doi.org/10.3390/app12031441

