Comparison between Helical Axis and SARA Approaches for the Estimation of Functional Joint Axes on Multi-Body Modeling Data
Abstract
1. Introduction
2. Materials and Methods
2.1. The Multi-Body Model
2.1.1. Definition of Shank and Foot Segments
2.1.2. Joint Kinematics Setup
- The number of active DoFs allowed by the ankle joint (modeled as a bushing);
- The range of motion of each active DoF;
- The duration of each gait cycle, hence the speed of the motion patterns.
2.1.3. Generation of the Markers’ Coordinates
2.2. AoR Estimation
2.2.1. Instantaneous and Mean Helical Axis
- 4.
- OS, the origin located at the mid-point of the SDistMed–SDistLat segment;
- 5.
- v, medio-lateral axis oriented from SDistLat to SDistMed;
- 6.
- u, axis orthogonal to the plane including SDistMed, SDistLat, and SProxLat, oriented forward;
- 7.
- w, axis orthogonal to the plane (u,v).

2.2.2. Symmetrical Axis of Rotation Approach (SARA)
- OF, the origin located at the centroid of the foot marker cluster;
- a, antero-posterior axis oriented from FProxLat to FDistLat;
- b, medio-lateral axis orthogonal to a axis, oriented toward FDistMed;
- c, axis orthogonal to the plane (a,b).
2.2.3. Assessment of Functional Axes’ Dispersion and Accuracy
2.3. Motion Configurations Tested and Design of the Simulations
2.3.1. General Concepts
- A: 1 DoF, flexion/extension about a fixed axis, parallel to the v axis;
- B: 2 DoFs, flexion/extension about a moving axis, parallel to the v axis and translating horizontally in the antero-posterior direction (directed backward);
- C: 2 DoFs, screw-like helical motion, realized by means of flexion/extension occurring about an axis parallel to the v axis, combined with a translation (directed laterally) along the same axis;
- D: 6 DoFs, tri-planar motion, flexion/extension occurs about an axis that has 3 translational DoFs, same trends as the ones selected for B and C configurations, and has an average inclination in the frontal plane of 10 deg (the medial tip lower than the lateral one). To simulate the limited contributions of the two remaining rotational DoFs, a small oscillation of ±1 deg about the average axis position was introduced, with the same curve trend of the flexion/extension DoF.
2.3.2. First Set, S1: Range and Speed of Motion Patterns
- A: ROM1 = (+10, −15) deg, ROM2 = (+20, −30) deg, ROM3 = (+30, −50) deg;
- B: ROM1 = 0 mm, ROM2 = 2 mm, ROM3 = 4 mm;
- C: ROM1 = 0 mm, ROM2 = 2 mm, ROM3 = 4 mm;
- D: ROM1 = (+10, −15) deg, ROM2 = (+20, −30) deg, ROM3 = (+30, −50) deg.
2.3.3. Second Set, S2: Scattering of the Markers within Each Cluster
2.3.4. Third Set, S3: Speed of Motion Patterns and Sampling Frequency
2.3.5. Fourth Set, S4: Common and Random Sources of Additive Noise on Markers’ Trajectories
3. Results
3.1. Results of S1 Set: Range and Speed of Motion Patterns
3.2. Results of S2 Set: Scattering of the Markers within Each Cluster
3.3. Results of S3 Set: Speed of Motion Patterns and Sampling Frequency
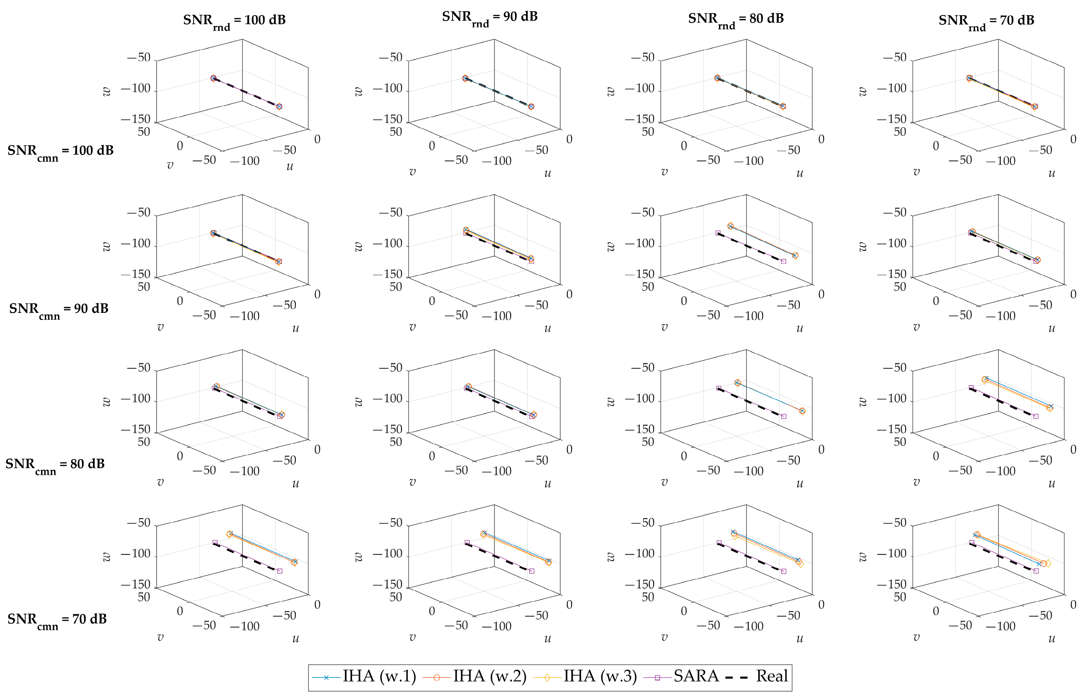
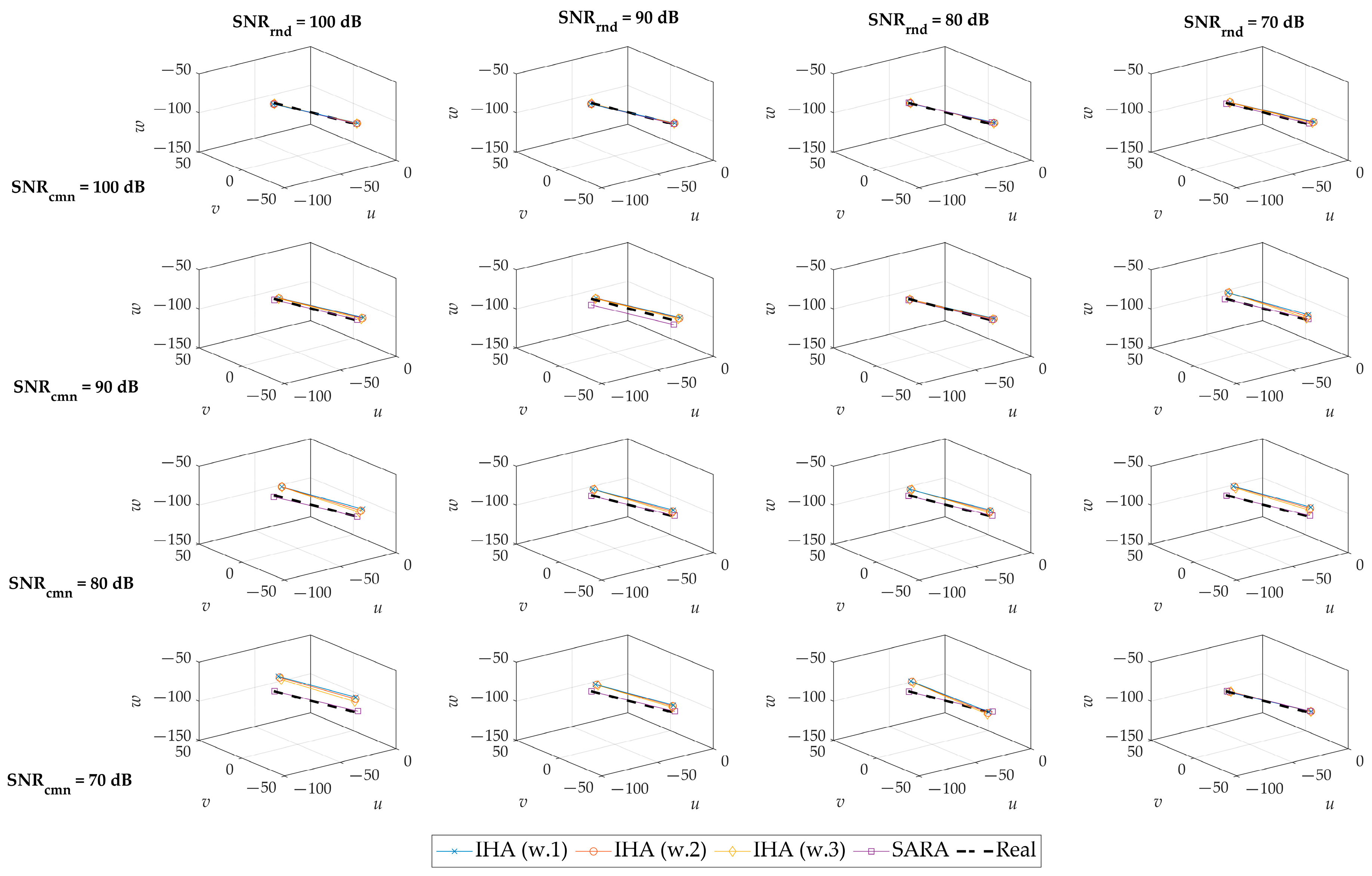
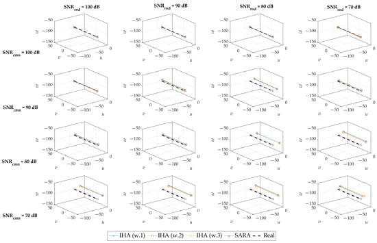
3.4. Results of S4 Set: Common and Random Sources of Additive Noise on Markers’ Trajectories
4. Discussion
4.1. AoR Estimation by Means of Helical Axis Is Significantly Affected by Time Discretization
4.2. SARA Generally Provides Better Estimation Accuracy Due to Its Intrinsic Stability
4.3. SARA Is More Suitable Than IHA for Kinematic Analyses Based on Noisy Markers’ Trajectories
4.4. Different Scattering of the Marker Clusters Has a Limited Impact on AoR Estimation Accuracy
4.5. Limitations
5. Conclusions
- For the 1-DoF and 2-DoFs configurations, the SARA proves to be more accurate than the helical axis methodology, regardless of the different conditions considered;
- For the 6-DoFs configuration, the SARA outperforms the helical axis approach when a high level of noise is considered or when the number of samples used to discretize the gait cycle is limited;
- The IHA methodology allows a description of joint kinematics that is intrinsically less constrained than the one enabled by the SARA. This could be useful when a more detailed, time-dependent representation of joint kinematics is necessary.
Funding
Institutional Review Board Statement
Informed Consent Statement
Data Availability Statement
Acknowledgments
Conflicts of Interest
Appendix A
| Conf. | Trial | IHA (w.1) | IHA (w.2) | IHA (w.3) | SARA | |||||||||||||
|---|---|---|---|---|---|---|---|---|---|---|---|---|---|---|---|---|---|---|
| ROM | V | Nf | deff | χeff | Δ | Nf | deff | χeff | Δ | Nf | deff | χeff | Δ | Nf | deff | χeff | Δ | |
| A | ROM1 | V1 | 410 | 2.12 | 1.35 | 0.25 | 410 | 2.13 | 0.28 | 0.40 | 410 | 2.15 | 0.07 | 0.57 | 480 | 0.04 | 0.02 | 0.03 |
| ROM1 | V2 | 349 | 3.08 | 0.77 | 0.03 | 349 | 3.08 | 0.17 | 0.17 | 349 | 3.10 | 0.05 | 0.28 | 360 | 0.03 | 0.02 | 0.04 | |
| ROM1 | V3 | 234 | 6.27 | 0.31 | 0.39 | 234 | 6.29 | 0.06 | 0.52 | 234 | 6.32 | 0.02 | 0.52 | 240 | 0.03 | 0.02 | 0.02 | |
| ROM2 | V1 | 463 | 1.66 | 0.43 | 0.10 | 463 | 1.67 | 0.12 | 0.17 | 463 | 1.68 | 0.04 | 0.28 | 480 | 0.04 | 0.02 | 0.02 | |
| ROM2 | V2 | 354 | 1.99 | 0.50 | 0.03 | 354 | 2.00 | 0.15 | 0.12 | 354 | 2.01 | 0.05 | 0.25 | 360 | 0.03 | 0.02 | 0.01 | |
| ROM2 | V3 | 240 | 11.1 | 0.23 | 0.52 | 240 | 11.1 | 0.08 | 0.54 | 240 | 11.3 | 0.03 | 1.60 | 240 | 0.03 | 0.02 | 0.01 | |
| ROM3 | V1 | 470 | 1.48 | 0.56 | 0.05 | 470 | 1.48 | 0.21 | 0.11 | 470 | 1.49 | 0.09 | 0.21 | 480 | 0.04 | 0.02 | 0.01 | |
| ROM3 | V2 | 360 | 1.79 | 1.22 | 0.07 | 360 | 1.80 | 0.50 | 0.16 | 360 | 1.82 | 0.25 | 0.32 | 360 | 0.03 | 0.02 | 0.01 | |
| ROM3 | V3 | 240 | 16.7 | 0.23 | 0.45 | 240 | 16.8 | 0.09 | 2.28 | 240 | 17.6 | 0.04 | 5.69 | 240 | 0.03 | 0.02 | 0.01 | |
| B | ROM1 | V1 | 463 | 1.85 | 0.47 | 0.05 | 463 | 1.86 | 0.13 | 0.08 | 463 | 1.86 | 0.04 | 0.15 | 480 | 0.04 | 0.02 | 0.01 |
| ROM1 | V2 | 354 | 2.07 | 0.44 | 0.14 | 354 | 2.07 | 0.11 | 0.18 | 354 | 2.08 | 0.03 | 0.24 | 360 | 0.03 | 0.02 | 0.01 | |
| ROM1 | V3 | 240 | 11.2 | 0.04 | 0.47 | 240 | 11.2 | 0.01 | 0.26 | 240 | 11.4 | 0.01 | 1.43 | 240 | 0.03 | 0.02 | 0.01 | |
| ROM2 | V1 | 463 | 8.77 | 0.36 | 0.37 | 463 | 8.78 | 0.10 | 0.48 | 463 | 8.77 | 0.04 | 0.12 | 480 | 0.26 | 0.02 | 0.26 | |
| ROM2 | V2 | 354 | 8.81 | 0.46 | 0.22 | 354 | 8.82 | 0.13 | 0.33 | 354 | 8.82 | 0.04 | 0.15 | 360 | 0.23 | 0.02 | 0.24 | |
| ROM2 | V3 | 240 | 13.2 | 0.43 | 0.65 | 240 | 13.2 | 0.14 | 0.59 | 240 | 13.3 | 0.06 | 1.27 | 240 | 0.23 | 0.01 | 0.24 | |
| ROM3 | V1 | 463 | 17.4 | 0.25 | 0.41 | 463 | 17.4 | 0.07 | 0.83 | 463 | 17.4 | 0.02 | 0.25 | 480 | 0.52 | 0.02 | 0.51 | |
| ROM3 | V2 | 354 | 17.3 | 0.75 | 0.47 | 354 | 17.4 | 0.22 | 0.77 | 354 | 17.4 | 0.08 | 0.15 | 360 | 0.46 | 0.02 | 0.49 | |
| ROM3 | V3 | 240 | 27.8 | 0.29 | 0.74 | 240 | 27.9 | 0.12 | 2.18 | 240 | 28.0 | 0.05 | 3.46 | 240 | 0.46 | 0.02 | 0.48 | |
| C | ROM1 | V1 | 463 | 1.62 | 0.33 | 0.02 | 463 | 1.63 | 0.09 | 0.11 | 463 | 1.66 | 0.03 | 0.24 | 480 | 0.04 | 0.02 | 0.02 |
| ROM1 | V2 | 354 | 1.86 | 0.25 | 0.06 | 354 | 1.87 | 0.07 | 0.15 | 354 | 1.88 | 0.02 | 0.24 | 360 | 0.03 | 0.02 | 0.01 | |
| ROM1 | V3 | 240 | 11.1 | 0.09 | 0.52 | 240 | 11.1 | 0.03 | 0.51 | 240 | 11.3 | 0.01 | 1.51 | 240 | 0.03 | 0.01 | 0.01 | |
| ROM2 | V1 | 463 | 2.20 | 0.33 | 0.10 | 463 | 2.21 | 0.09 | 0.06 | 463 | 2.22 | 0.04 | 0.14 | 480 | 0.03 | 0.02 | 0.02 | |
| ROM2 | V2 | 354 | 2.07 | 0.78 | 0.11 | 354 | 2.07 | 0.24 | 0.09 | 354 | 2.08 | 0.09 | 0.12 | 360 | 0.03 | 0.02 | 0.02 | |
| ROM2 | V3 | 240 | 11.5 | 0.14 | 0.54 | 240 | 11.6 | 0.05 | 0.48 | 240 | 11.9 | 0.02 | 1.54 | 240 | 0.03 | 0.02 | 0.01 | |
| ROM3 | V1 | 463 | 1.70 | 0.23 | 0.09 | 463 | 1.72 | 0.07 | 0.11 | 463 | 1.75 | 0.03 | 0.20 | 480 | 0.03 | 0.02 | 0.02 | |
| ROM3 | V2 | 354 | 1.96 | 1.04 | 0.11 | 354 | 1.96 | 0.29 | 0.11 | 354 | 1.97 | 0.10 | 0.20 | 360 | 0.03 | 0.02 | 0.01 | |
| ROM3 | V3 | 240 | 10.9 | 0.11 | 0.49 | 240 | 10.9 | 0.04 | 0.40 | 240 | 11.1 | 0.01 | 1.45 | 240 | 0.03 | 0.02 | 0.01 | |
| D | ROM1 | V1 | 429 | 22.7 | 6.31 | 3.91 | 429 | 22.7 | 2.10 | 3.78 | 429 | 22.7 | 0.71 | 3.66 | 480 | 0.29 | 0.25 | 4.59 |
| ROM1 | V2 | 349 | 23.3 | 5.93 | 4.27 | 349 | 23.3 | 1.97 | 4.23 | 349 | 23.3 | 0.66 | 4.20 | 360 | 0.50 | 0.24 | 4.70 | |
| ROM1 | V3 | 234 | 23.7 | 6.05 | 4.43 | 234 | 23.7 | 2.02 | 4.46 | 234 | 23.7 | 0.68 | 4.51 | 240 | 0.45 | 0.24 | 4.63 | |
| ROM2 | V1 | 463 | 11.1 | 3.34 | 2.32 | 463 | 11.1 | 1.32 | 2.31 | 463 | 11.1 | 0.54 | 2.41 | 480 | 0.31 | 0.27 | 6.55 | |
| ROM2 | V2 | 354 | 11.3 | 3.30 | 2.33 | 354 | 11.3 | 1.29 | 2.32 | 354 | 11.3 | 0.52 | 2.40 | 360 | 2.54 | 0.26 | 2.84 | |
| ROM2 | V3 | 240 | 14.2 | 4.50 | 2.70 | 240 | 14.2 | 1.96 | 2.93 | 240 | 14.3 | 0.88 | 3.51 | 240 | 2.44 | 0.26 | 2.97 | |
| ROM3 | V1 | 470 | 7.12 | 2.32 | 1.64 | 470 | 7.12 | 1.12 | 1.61 | 470 | 7.13 | 0.57 | 1.72 | 480 | 0.30 | 0.28 | 1.57 | |
| ROM3 | V2 | 360 | 7.13 | 2.62 | 1.61 | 360 | 7.13 | 1.31 | 1.63 | 360 | 7.14 | 0.69 | 1.88 | 360 | 0.28 | 0.27 | 1.54 | |
| ROM3 | V3 | 240 | 16.9 | 3.31 | 1.91 | 240 | 17.1 | 1.74 | 2.83 | 240 | 17.9 | 0.96 | 5.37 | 240 | 0.29 | 0.27 | 1.54 | |
| Conf. | Trial | IHA (w.1) | IHA (w.2) | IHA (w.3) | SARA | |||||||||
|---|---|---|---|---|---|---|---|---|---|---|---|---|---|---|
| kS | kF | deff | χeff | Δ | deff | χeff | Δ | deff | χeff | Δ | deff | χeff | Δ | |
| A | 0.75 | 0.75 | 2.30 | 0.23 | 0.10 | 2.31 | 0.06 | 0.07 | 2.32 | 0.02 | 0.17 | 0.03 | 0.02 | 0.02 |
| 0.75 | 1 | 2.01 | 0.70 | 0.09 | 2.02 | 0.21 | 0.07 | 2.04 | 0.07 | 0.11 | 0.03 | 0.02 | 0.01 | |
| 0.75 | 1.25 | 2.18 | 0.33 | 0.15 | 2.19 | 0.09 | 0.20 | 2.26 | 0.03 | 0.28 | 0.03 | 0.02 | 0.04 | |
| 1 | 0.75 | 2.05 | 0.37 | 0.08 | 2.06 | 0.11 | 0.15 | 2.07 | 0.04 | 0.26 | 0.03 | 0.02 | 0.01 | |
| 1 | 1 | 1.91 | 0.26 | 0.13 | 1.92 | 0.07 | 0.24 | 1.93 | 0.02 | 0.36 | 0.03 | 0.01 | 0.01 | |
| 1 | 1.25 | 1.88 | 0.44 | 0.06 | 1.88 | 0.12 | 0.08 | 1.89 | 0.04 | 0.16 | 0.03 | 0.01 | 0.01 | |
| 1.25 | 0.75 | 1.89 | 0.37 | 0.04 | 1.89 | 0.10 | 0.15 | 1.91 | 0.03 | 0.28 | 0.03 | 0.02 | 0.01 | |
| 1.25 | 1 | 1.95 | 0.23 | 0.17 | 1.95 | 0.06 | 0.27 | 1.97 | 0.02 | 0.38 | 0.03 | 0.01 | 0.02 | |
| 1.25 | 1.25 | 1.93 | 0.74 | 0.05 | 1.93 | 0.22 | 0.05 | 1.94 | 0.09 | 0.12 | 0.03 | 0.01 | 0.01 | |
| D | 0.75 | 0.75 | 11.4 | 3.31 | 2.32 | 11.4 | 1.30 | 2.28 | 11.4 | 0.53 | 2.33 | 0.30 | 0.27 | 2.43 |
| 0.75 | 1 | 11.2 | 3.26 | 2.29 | 11.2 | 1.29 | 2.25 | 11.2 | 0.52 | 2.28 | 3.85 | 0.27 | 2.43 | |
| 0.75 | 1.25 | 11.2 | 3.27 | 2.34 | 11.3 | 1.29 | 2.29 | 11.2 | 0.52 | 2.29 | 0.30 | 0.27 | 2.49 | |
| 1 | 0.75 | 11.2 | 3.24 | 2.33 | 11.2 | 1.28 | 2.34 | 11.2 | 0.51 | 2.46 | 0.31 | 0.27 | 3.54 | |
| 1 | 1 | 11.2 | 3.25 | 2.33 | 11.2 | 1.28 | 2.30 | 11.2 | 0.52 | 2.37 | 0.31 | 0.27 | 2.80 | |
| 1 | 1.25 | 11.3 | 3.26 | 2.34 | 11.3 | 1.28 | 2.31 | 11.3 | 0.52 | 2.35 | 0.46 | 0.27 | 3.99 | |
| 1.25 | 0.75 | 11.2 | 3.25 | 2.29 | 11.2 | 1.29 | 2.28 | 11.2 | 0.52 | 2.41 | 0.32 | 0.27 | 4.08 | |
| 1.25 | 1 | 11.2 | 3.24 | 2.32 | 11.1 | 1.28 | 2.29 | 11.2 | 0.52 | 2.37 | 0.30 | 0.27 | 2.60 | |
| 1.25 | 1.25 | 11.3 | 3.26 | 2.34 | 11.3 | 1.28 | 2.32 | 11.3 | 0.52 | 2.39 | 0.30 | 0.27 | 2.42 | |
| Conf. | Trial | IHA (w.1) | IHA (w.2) | IHA (w.3) | SARA | |||||||||||||
|---|---|---|---|---|---|---|---|---|---|---|---|---|---|---|---|---|---|---|
| V | fS | Nf | deff | χeff | Δ | Nf | deff | χeff | Δ | Nf | deff | χeff | Δ | Nf | deff | χeff | Δ | |
| A | V1 | 100 | 463 | 1.96 | 1.64 | 0.07 | 463 | 1.96 | 0.49 | 0.13 | 463 | 1.97 | 0.17 | 0.25 | 480 | 0.03 | 0.02 | 0.01 |
| V1 | 250 | 1160 | 1.42 | 1.38 | 0.08 | 1160 | 1.42 | 0.42 | 0.07 | 1160 | 1.43 | 0.16 | 0.13 | 1200 | 0.04 | 0.02 | 0.01 | |
| V1 | 500 | 2318 | 1.10 | 0.15 | 0.02 | 2318 | 1.10 | 0.05 | 0.05 | 2318 | 1.10 | 0.02 | 0.11 | 2400 | 0.04 | 0.02 | 0.01 | |
| V1 | 1000 | 4633 | 0.80 | 0.12 | 0.02 | 4633 | 0.80 | 0.03 | 0.05 | 4633 | 0.80 | 0.01 | 0.08 | 4800 | 0.04 | 0.02 | 0.01 | |
| V2 | 100 | 354 | 1.96 | 0.94 | 0.01 | 354 | 1.96 | 0.27 | 0.11 | 354 | 1.97 | 0.10 | 0.24 | 360 | 0.04 | 0.02 | 0.01 | |
| V2 | 250 | 887 | 1.55 | 0.47 | 0.04 | 887 | 1.55 | 0.14 | 0.11 | 887 | 1.57 | 0.05 | 0.21 | 900 | 0.03 | 0.02 | 0.01 | |
| V2 | 500 | 1769 | 1.62 | 0.14 | 0.06 | 1769 | 1.62 | 0.03 | 0.08 | 1769 | 1.64 | 0.01 | 0.15 | 1800 | 0.03 | 0.02 | 0.01 | |
| V2 | 1000 | 3540 | 1.03 | 0.26 | 0.06 | 3540 | 1.03 | 0.07 | 0.06 | 3540 | 1.04 | 0.02 | 0.08 | 3600 | 0.03 | 0.02 | 0.01 | |
| V3 | 100 | 240 | 10.6 | 0.17 | 0.47 | 240 | 10.7 | 0.06 | 0.39 | 240 | 11.1 | 0.02 | 1.48 | 240 | 0.03 | 0.02 | 0.01 | |
| V3 | 250 | 591 | 2.46 | 0.46 | 0.28 | 591 | 2.50 | 0.16 | 0.62 | 591 | 2.67 | 0.07 | 1.14 | 600 | 0.03 | 0.02 | 0.01 | |
| V3 | 500 | 1194 | 1.95 | 0.30 | 0.08 | 1194 | 1.95 | 0.08 | 0.12 | 1194 | 1.96 | 0.03 | 0.17 | 1200 | 0.03 | 0.02 | 0.01 | |
| V3 | 1000 | 2383 | 1.35 | 0.02 | 0.02 | 2383 | 1.35 | 0.01 | 0.05 | 2383 | 1.36 | 0.00 | 0.12 | 2400 | 0.03 | 0.01 | 0.01 | |
| D | V1 | 100 | 463 | 11.1 | 3.60 | 2.34 | 463 | 11.1 | 1.42 | 2.32 | 463 | 11.1 | 0.58 | 2.41 | 480 | 0.30 | 0.27 | 2.35 |
| V1 | 250 | 1162 | 11.1 | 3.27 | 2.31 | 1162 | 11.1 | 1.30 | 2.28 | 1162 | 11.1 | 0.53 | 2.34 | 1200 | 0.31 | 0.27 | 2.63 | |
| V1 | 500 | 2319 | 11.2 | 3.28 | 2.32 | 2319 | 11.2 | 1.31 | 2.30 | 2319 | 11.2 | 0.54 | 2.37 | 2400 | 0.30 | 0.27 | 2.51 | |
| V1 | 1000 | 4637 | 11.2 | 3.27 | 2.33 | 4637 | 11.2 | 1.31 | 2.32 | 4637 | 11.2 | 0.54 | 2.41 | 4800 | 0.30 | 0.27 | 2.35 | |
| V2 | 100 | 354 | 11.3 | 3.29 | 2.30 | 354 | 11.3 | 1.30 | 2.28 | 354 | 11.3 | 0.52 | 2.35 | 360 | 1.21 | 0.26 | 2.38 | |
| V2 | 250 | 887 | 11.2 | 3.35 | 2.33 | 887 | 11.2 | 1.35 | 2.30 | 887 | 11.2 | 0.56 | 2.37 | 900 | 0.29 | 0.27 | 2.34 | |
| V2 | 500 | 1771 | 11.3 | 3.31 | 2.32 | 1771 | 11.3 | 1.32 | 2.30 | 1771 | 11.3 | 0.54 | 2.39 | 1800 | 0.31 | 0.26 | 2.35 | |
| V2 | 1000 | 3541 | 11.3 | 3.35 | 2.32 | 3541 | 11.3 | 1.34 | 2.31 | 3541 | 11.3 | 0.55 | 2.39 | 3600 | 0.29 | 0.26 | 2.36 | |
| V3 | 100 | 240 | 14.7 | 4.42 | 2.70 | 240 | 14.7 | 1.92 | 2.92 | 240 | 14.8 | 0.86 | 3.46 | 240 | 0.29 | 0.25 | 2.35 | |
| V3 | 250 | 591 | 10.3 | 4.52 | 2.63 | 591 | 10.3 | 1.96 | 2.85 | 591 | 10.4 | 0.87 | 3.24 | 600 | 0.30 | 0.26 | 2.36 | |
| V3 | 500 | 1194 | 11.5 | 3.35 | 2.32 | 1194 | 11.5 | 1.34 | 2.29 | 1194 | 11.5 | 0.55 | 2.35 | 1200 | 2.67 | 0.26 | 3.04 | |
| V3 | 1000 | 2385 | 11.5 | 3.35 | 2.32 | 2385 | 11.5 | 1.35 | 2.30 | 2385 | 11.5 | 0.56 | 2.37 | 2400 | 0.28 | 0.26 | 2.35 | |
| Conf. | Trial | IHA (w.1) | IHA (w.2) | IHA (w.3) | SARA | |||||||||
|---|---|---|---|---|---|---|---|---|---|---|---|---|---|---|
| SNRcmn | SNRrnd | deff | χeff | Δ | deff | χeff | Δ | deff | χeff | Δ | deff | χeff | Δ | |
| A | 100 | 100 | 1.91 | 1.30 | 0.10 | 1.91 | 0.35 | 0.06 | 1.95 | 0.11 | 0.14 | 0.02 | 0.01 | 0.01 |
| 100 | 90 | 3.87 | 3.71 | 0.24 | 3.88 | 0.98 | 0.20 | 3.89 | 0.32 | 0.33 | 0.07 | 0.05 | 0.02 | |
| 100 | 80 | 8.04 | 10.0 | 1.37 | 8.06 | 2.76 | 0.83 | 8.10 | 0.97 | 0.55 | 0.21 | 0.16 | 0.08 | |
| 100 | 70 | 14.5 | 7.69 | 0.88 | 14.5 | 2.11 | 0.83 | 14.6 | 0.77 | 1.11 | 0.62 | 0.49 | 0.55 | |
| 90 | 100 | 14.7 | 7.69 | 0.83 | 14.7 | 2.11 | 0.67 | 14.7 | 0.77 | 0.98 | 0.62 | 0.49 | 0.55 | |
| 90 | 90 | 19.4 | 25.0 | 6.10 | 19.4 | 7.57 | 5.29 | 19.5 | 2.92 | 3.92 | 0.63 | 0.49 | 0.52 | |
| 90 | 80 | 25.6 | 29.2 | 15.1 | 25.6 | 8.88 | 15.8 | 25.7 | 3.41 | 15.9 | 0.66 | 0.53 | 0.54 | |
| 90 | 70 | 30.1 | 10.8 | 3.52 | 30.1 | 3.52 | 3.77 | 30.1 | 1.43 | 3.36 | 0.89 | 0.71 | 1.08 | |
| 80 | 100 | 32.7 | 10.8 | 3.78 | 32.7 | 3.52 | 4.10 | 32.8 | 1.43 | 3.83 | 0.90 | 0.71 | 1.07 | |
| 80 | 90 | 31.9 | 10.8 | 3.56 | 31.9 | 3.50 | 4.00 | 31.9 | 1.43 | 3.81 | 0.93 | 0.71 | 1.01 | |
| 80 | 80 | 32.2 | 26.6 | 22.4 | 32.2 | 8.14 | 22.6 | 32.2 | 3.14 | 23.5 | 0.98 | 0.72 | 1.10 | |
| 80 | 70 | 32.5 | 37.4 | 21.8 | 32.6 | 11.1 | 19.5 | 32.7 | 4.23 | 18.7 | 1.19 | 0.86 | 1.71 | |
| 70 | 100 | 53.1 | 37.4 | 21.9 | 53.1 | 11.1 | 20.3 | 53.1 | 4.23 | 20.1 | 1.32 | 0.86 | 1.74 | |
| 70 | 90 | 31.7 | 37.5 | 23.9 | 31.8 | 11.1 | 22.3 | 31.9 | 4.26 | 22.1 | 1.45 | 0.85 | 1.74 | |
| 70 | 80 | 35.7 | 36.1 | 22.0 | 35.8 | 10.9 | 21.1 | 36.5 | 4.15 | 21.1 | 1.59 | 0.86 | 1.59 | |
| 70 | 70 | 32.3 | 35.3 | 12.7 | 32.4 | 10.8 | 14.3 | 32.9 | 4.15 | 15.9 | 1.82 | 0.98 | 2.16 | |
| D | 100 | 100 | 11.1 | 3.32 | 2.36 | 11.1 | 1.30 | 2.33 | 11.1 | 0.52 | 2.40 | 0.30 | 0.27 | 2.40 |
| 100 | 90 | 11.4 | 3.56 | 2.31 | 11.4 | 1.38 | 2.25 | 11.4 | 0.55 | 2.26 | 0.31 | 0.27 | 2.42 | |
| 100 | 80 | 14.6 | 8.32 | 2.83 | 14.6 | 3.11 | 2.74 | 14.6 | 1.21 | 2.65 | 0.38 | 0.31 | 2.60 | |
| 100 | 70 | 24.9 | 15.0 | 4.73 | 24.9 | 5.56 | 4.32 | 25.0 | 2.18 | 3.83 | 0.77 | 0.55 | 2.36 | |
| 90 | 100 | 25.1 | 15.8 | 5.69 | 25.1 | 5.84 | 5.17 | 25.1 | 2.28 | 4.54 | 0.77 | 0.55 | 2.38 | |
| 90 | 90 | 24.9 | 15.6 | 5.40 | 24.9 | 5.77 | 4.91 | 25.0 | 2.26 | 4.30 | 0.82 | 0.55 | 7.01 | |
| 90 | 80 | 24.9 | 12.7 | 2.92 | 24.9 | 4.66 | 2.67 | 25.0 | 1.79 | 2.40 | 0.81 | 0.58 | 2.40 | |
| 90 | 70 | 23.6 | 28.9 | 7.67 | 23.6 | 10.5 | 6.95 | 23.7 | 4.15 | 6.27 | 1.07 | 0.73 | 2.51 | |
| 80 | 100 | 26.0 | 28.9 | 10.2 | 26.0 | 10.5 | 9.36 | 26.1 | 4.15 | 8.62 | 1.06 | 0.73 | 2.49 | |
| 80 | 90 | 24.1 | 28.6 | 8.23 | 24.1 | 10.3 | 7.47 | 24.2 | 4.06 | 6.67 | 1.07 | 0.73 | 2.15 | |
| 80 | 80 | 23.8 | 29.1 | 8.32 | 23.8 | 10.5 | 7.67 | 23.9 | 4.14 | 6.95 | 1.12 | 0.75 | 2.17 | |
| 80 | 70 | 28.1 | 31.7 | 11.7 | 28.1 | 11.3 | 11.0 | 28.3 | 4.43 | 10.0 | 1.28 | 0.85 | 2.15 | |
| 70 | 100 | 32.6 | 31.7 | 19.3 | 32.6 | 11.3 | 17.6 | 33.0 | 4.43 | 14.9 | 1.42 | 0.85 | 2.29 | |
| 70 | 90 | 29.0 | 31.6 | 9.52 | 29.0 | 11.3 | 9.04 | 29.1 | 4.40 | 8.52 | 1.53 | 0.86 | 2.19 | |
| 70 | 80 | 30.2 | 31.2 | 8.86 | 30.2 | 11.2 | 8.45 | 30.3 | 4.37 | 8.04 | 1.64 | 0.87 | 2.18 | |
| 70 | 70 | 35.3 | 13.7 | 2.94 | 35.3 | 5.01 | 3.63 | 35.3 | 1.94 | 4.49 | 1.89 | 1.00 | 2.48 | |
References
- Renggli, D.; Graf, C.; Tachatos, N.; Singh, N.; Meboldt, M.; Taylor, W.R.; Stieglitz, L.; Schmid Daners, M. Wearable Inertial Measurement Units for Assessing Gait in Real-World Environments. Front. Physiol. 2020, 11, 90. [Google Scholar] [CrossRef] [PubMed]
- Cappozzo, A.; Dellacroce, U.; Leardini, A.; Chiari, L. Human Movement Analysis Using Stereophotogrammetry: Part 1: Theoretical Background. Gait Posture 2005, 21, 186–196. [Google Scholar] [CrossRef] [PubMed]
- Chiari, L.; Croce, U.D.; Leardini, A.; Cappozzo, A. Human Movement Analysis Using Stereophotogrammetry: Part 2: Instrumental errors. Gait Posture 2005, 21, 197–211. [Google Scholar] [CrossRef] [PubMed]
- Page, A.; De Rosario, H.; Mata, V.; Hoyos, J.V.; Porcar, R. Effect of Marker Cluster Design on the Accuracy of Human Movement Analysis Using Stereophotogrammetry. Med. Bio. Eng. Comput. 2006, 44, 1113–1119. [Google Scholar] [CrossRef] [PubMed]
- Davis, R.B.; Õunpuu, S.; Tyburski, D.; Gage, J.R. A Gait Analysis Data Collection and Reduction Technique. Hum. Mov. Sci. 1991, 10, 575–587. [Google Scholar] [CrossRef]
- Benedetti, M.; Catani, F.; Leardini, A.; Pignotti, E.; Giannini, S. Data Management in Gait Analysis for Clinical Applications. Clin. Biomech. 1998, 13, 204–215. [Google Scholar] [CrossRef]
- Frigo, C.; Rabuffetti, M.; Kerrigan, D.C.; Deming, L.C.; Pedotti, A. Functionally Oriented and Clinically Feasible Quantitative Gait Analysis Method. Med. Biol. Eng. Comput. 1998, 36, 179–185. [Google Scholar] [CrossRef]
- Leardini, A.; Sawacha, Z.; Paolini, G.; Ingrosso, S.; Nativo, R.; Benedetti, M.G. A New Anatomically Based Protocol for Gait Analysis in Children. Gait Posture 2007, 26, 560–571. [Google Scholar] [CrossRef]
- Gao, F.; Carlton, W.; Kapp, S. Effects of Joint Alignment and Type on Mechanical Properties of Thermoplastic Articulated Ankle-Foot Orthosis. Prosthet. Orthot. Int. 2011, 35, 181–189. [Google Scholar] [CrossRef]
- Ferraresi, C.; De Benedictis, C.; Franco, W.; Maffiodo, D.; Leardini, A. In-Vivo Analysis of Ankle Joint Movement for Patient-Specific Kinematic Characterization. Proc. Inst. Mech. Eng. H 2017, 231, 831–838. [Google Scholar] [CrossRef]
- Ferraresi, C.; De Benedictis, C.; Maffiodo, D.; Franco, W.; Peluso, A.; Leardini, A. A Methodology for the Development of a Hinged Ankle-Foot Orthosis Compatible with Natural Joint Kinematics. Mech. Mach. Sci. 2019, 73, 93–102. [Google Scholar] [CrossRef]
- Kobayashi, T.; Orendurff, M.S.; Hunt, G.; Gao, F.; LeCursi, N.; Lincoln, L.S.; Foreman, K.B. The Effects of Alignment of an Articulated Ankle-Foot Orthosis on Lower Limb Joint Kinematics and Kinetics during Gait in Individuals Post-Stroke. J. Biomech. 2019, 83, 57–64. [Google Scholar] [CrossRef] [PubMed]
- Leardini, A.; Aquila, A.; Caravaggi, P.; Ferraresi, C.; Giannini, S. Multi-Segment Foot Mobility in a Hinged Ankle-Foot Orthosis: The Effect of Rotation Axis Position. Gait Posture 2014, 40, 274–277. [Google Scholar] [CrossRef]
- Leardini, A.; Chiari, L.; Croce, U.D.; Cappozzo, A. Human Movement Analysis Using Stereophotogrammetry: Part 3. Soft tissue artifact assessment and compensation. Gait Posture 2005, 21, 212–225. [Google Scholar] [CrossRef] [PubMed]
- Bonci, T.; Camomilla, V.; Dumas, R.; Chèze, L.; Cappozzo, A. Rigid and Non-Rigid Geometrical Transformations of a Marker-Cluster and Their Impact on Bone-Pose Estimation. J. Biomech. 2015, 48, 4166–4172. [Google Scholar] [CrossRef]
- De Rosario, H.; Page, Á.; Besa, A. Analytical Study of the Effects of Soft Tissue Artefacts on Functional Techniques to Define Axes of Rotation. J. Biomech. 2017, 62, 60–67. [Google Scholar] [CrossRef]
- Manal, K.; Davis, I.M.; Galinat, B.; Stanhope, S. The Accuracy of Estimating Proximal Tibial Translation during Natural Cadence Walking: Bone vs. Skin Mounted Targets. Clin. Biomech. 2003, 18, 126–131. [Google Scholar] [CrossRef]
- Benoit, D.L.; Andersen, M.S.; Damsgaard, M.; Ramsey, D.K.; Rasmussen, J. A Model to Compensate for Soft Tissue Artifact during Gait. Gait Posture 2009, 30, S5. [Google Scholar] [CrossRef]
- Ferraresi, C.; De Benedictis, C.; Bono, L.; Del Gaudio, F.; Ferrara, L.; Masiello, F.; Franco, W.; Maffiodo, D.; Leardini, A. A Methodology for the Customization of Hinged Ankle-Foot Orthoses Based on in Vivo Helical Axis Calculation with 3D Printed Rigid Shells. Proc. Inst. Mech. Eng. H 2021, 235, 367–377. [Google Scholar] [CrossRef]
- Gastaldi, L.; Lisco, G.; Pastorelli, S. Evaluation of Functional Methods for Human Movement Modelling. Acta Bioeng. Biomech. 2015, 17, 31–38. [Google Scholar] [CrossRef]
- Monnet, T.; Desailly, E.; Begon, M.; Vallée, C.; Lacouture, P. Comparison of the SCoRE and HA Methods for Locating in Vivo the Glenohumeral Joint Centre. J. Biomech. 2007, 40, 3487–3492. [Google Scholar] [CrossRef] [PubMed]
- Galetto, M.; Gastaldi, L.; Lisco, G.; Mastrogiacomo, L.; Pastorelli, S. Accuracy Evaluation of a New Stereophotogrammetry-Based Functional Method for Joint Kinematic Analysis in Biomechanics. Proc. Inst. Mech. Eng. H 2014, 228, 1183–1192. [Google Scholar] [CrossRef] [PubMed]
- Woltring, H.J.; Huiskes, R.; de Lange, A.; Veldpaus, F.E. Finite Centroid and Helical Axis Estimation from Noisy Landmark Measurements in the Study of Human Joint Kinematics. J. Biomech. 1985, 18, 379–389. [Google Scholar] [CrossRef]
- Woltring, H.J. Estimation of the Trajectory of the Instantaneous Centre of Rotation in Planar Biokinematics. J. Biomech. 1990, 23, 1273–1274. [Google Scholar] [CrossRef]
- Chèze, L.; Fregly, B.J.; Dimnet, J. Determination of Joint Functional Axes from Noisy Marker Data Using the Finite Helical Axis. Hum. Mov. Sci. 1998, 17, 1–15. [Google Scholar] [CrossRef]
- Ehrig, R.M.; Taylor, W.R.; Duda, G.N.; Heller, M.O. A Survey of Formal Methods for Determining Functional Joint Axes. J. Biomech. 2007, 40, 2150–2157. [Google Scholar] [CrossRef]
- Leardini, A.; O’Connor, J.J.; Catani, F.; Giannini, S. Kinematics of the Human Ankle Complex in Passive Flexion; a Single Degree of Freedom System. J. Biomech. 1999, 32, 111–118. [Google Scholar] [CrossRef]
- Leardini, A.; Stagni, R.; O’Connor, J.J. Mobility of the Subtalar Joint in the Intact Ankle Complex. J. Biomech. 2001, 34, 805–809. [Google Scholar] [CrossRef]
- Lewis, G.S.; Sommer, H.J.; Piazza, S.J. In Vitro Assessment of a Motion-Based Optimization Method for Locating the Talocrural and Subtalar Joint Axes. J. Biomech. Eng. 2006, 128, 596–603. [Google Scholar] [CrossRef]
- Sheehan, F.T. The Instantaneous Helical Axis of the Subtalar and Talocrural Joints: A Non-Invasive in Vivo Dynamic Study. J. Foot Ankle Res. 2010, 3, 13. [Google Scholar] [CrossRef]
- Ehrig, R.M.; Taylor, W.R.; Duda, G.N.; Heller, M.O. A Survey of Formal Methods for Determining the Centre of Rotation of Ball Joints. J. Biomech. 2006, 39, 2798–2809. [Google Scholar] [CrossRef] [PubMed]
- Camomilla, V.; Cereatti, A.; Vannozzi, G.; Cappozzo, A. An Optimized Protocol for Hip Joint Centre Determination Using the Functional Method. J. Biomech. 2006, 39, 1096–1106. [Google Scholar] [CrossRef] [PubMed]
- Asadi Nikooyan, A.; van der Helm, F.C.T.; Westerhoff, P.; Graichen, F.; Bergmann, G.; (Dirkjan) Veeger, H.E.J. Comparison of Two Methods for In Vivo Estimation of the Glenohumeral Joint Rotation Center (GH-JRC) of the Patients with Shoulder Hemiarthroplasty. PLoS ONE 2011, 6, e18488. [Google Scholar] [CrossRef] [PubMed]
- Ehrig, R.M.; Heller, M.O. On Intrinsic Equivalences of the Finite Helical Axis, the Instantaneous Helical Axis, and the SARA Approach. A Mathematical Perspective. J. Biomech. 2019, 84, 4–10. [Google Scholar] [CrossRef] [PubMed]
- Reichl, I.; Ongaro, M. Finite Helical Axis versus Symmetrical Axis of Rotation Approach for the Human Knee Joint: Squats, Rowing and Cycling. Comput. Methods Biomech. Biomed. Eng. 2013, 16, 109–111. [Google Scholar] [CrossRef] [PubMed]
- Colle, F.; Lopomo, N.; Visani, A.; Zaffagnini, S.; Marcacci, M. Comparison of Three Formal Methods Used to Estimate the Functional Axis of Rotation: An Extensive in-Vivo Analysis Performed on the Knee Joint. Comput. Methods Biomech. Biomed. Eng. 2016, 19, 484–492. [Google Scholar] [CrossRef]
- Cappello, A.; La Palombara, P.F.; Leardini, A. Optimization and Smoothing Techniques in Movement Analysis. Int. J. Bio-Med. Comput. 1996, 41, 137–151. [Google Scholar] [CrossRef]
- Berme, N.; Cappozzo, A. Biomechanics of Human Movement: Applications in Rehabilitation, Sports and Ergonomics; Bertec Corporation: Worthington, OH, USA, 1990; pp. 203–231. [Google Scholar]
- Stokdijk, M.; Meskers, C.G.M.; Veeger, H.E.J.; de Boer, Y.A.; Rozing, P.M. Determination of the Optimal Elbow Axis for Evaluation of Placement of Prostheses. Clin. Biomech. 1999, 14, 177–184. [Google Scholar] [CrossRef]
- Reichl, I.; Auzinger, W. Identifying Tibio-Femoral Joint Kinematics: Individual Adjustment versus Numerical Robustness. IFAC Proc. Vol. 2012, 45, 819–824. [Google Scholar] [CrossRef]











| Dimension | Value (cm) |
|---|---|
| Shank length | 40 |
| Foot length | 24 |
| Shank width * | 10 |
| Foot width | 9 |
| Foot thickness | 6 |
Publisher’s Note: MDPI stays neutral with regard to jurisdictional claims in published maps and institutional affiliations. |
© 2022 by the author. Licensee MDPI, Basel, Switzerland. This article is an open access article distributed under the terms and conditions of the Creative Commons Attribution (CC BY) license (https://creativecommons.org/licenses/by/4.0/).
Share and Cite
De Benedictis, C. Comparison between Helical Axis and SARA Approaches for the Estimation of Functional Joint Axes on Multi-Body Modeling Data. Appl. Sci. 2022, 12, 1274. https://doi.org/10.3390/app12031274
De Benedictis C. Comparison between Helical Axis and SARA Approaches for the Estimation of Functional Joint Axes on Multi-Body Modeling Data. Applied Sciences. 2022; 12(3):1274. https://doi.org/10.3390/app12031274
Chicago/Turabian StyleDe Benedictis, Carlo. 2022. "Comparison between Helical Axis and SARA Approaches for the Estimation of Functional Joint Axes on Multi-Body Modeling Data" Applied Sciences 12, no. 3: 1274. https://doi.org/10.3390/app12031274
APA StyleDe Benedictis, C. (2022). Comparison between Helical Axis and SARA Approaches for the Estimation of Functional Joint Axes on Multi-Body Modeling Data. Applied Sciences, 12(3), 1274. https://doi.org/10.3390/app12031274
