Influence of Biosynthesized Nanoparticles Addition and Fibre Content on the Mechanical and Moisture Absorption Behaviour of Natural Fibre Composite
Abstract
1. Introduction
2. Investigational Works
2.1. Reinforcement Materials
2.2. Alkaline Treatment
2.3. Preparation of Aluminium Oxide Nanopowder
2.4. Hybrid Composite Preparations
2.5. Characterization of Hybrid Composites
2.6. Water Absorption Behaviour
2.7. XRD Analysis
2.8. HPLC (High-Performance Liquid Chromatography) Analysis
3. Result and Discussion
3.1. Characterizations of Al2O3 Nanoparticles
3.2. HPLC (High-Performance Liquid Chromatography) Analysis
3.3. Mechanical Properties
3.3.1. Consequence of Fibre Content
3.3.2. Consequence of Nano Filler Loading
3.3.3. Effect of NaOH Concentration
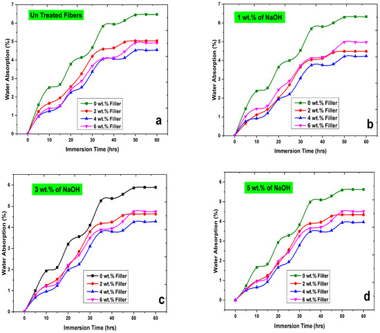
3.4. Water Absorption Behaviour
4. Conclusions
- The XRD characteristic of Al2O3-NPs exhibits three diffraction patterns (115, 119, and 215). Powder X software was used to identify these peaks, which were discovered to correlate with the composition of Al2O3 NPs. TEM images were also used to confirm the spherical structure of Al2O3 NPs.
- According to the HPLC results, the leaf’s overall concentrations of flavonoids (gallocatechin, carnosic acid, and camellia) are determined to be 0.250 mg/g, 0.264 mg/g, and 0.552 mg/g, respectively. The catechin concentration is higher than the phenolic and caffeic acid levels, which could have resulted in a faster rate of reduction. This contributes to the formation of Al2O3 NPs.
- Among many of the varying configurations, 4 wt.% nano Al2O3 NPs, 10 wt.% flax and sisal fibres, as well as 4 h of NaOH with a 5 wt.% concentration, produce the maximum mechanical properties (59.94 MPa tension, 149.52 MPa bending, and 37.9 KJ/m2 impact resistance).
- In comparison to 0, 2, 4 as well as 6 wt.% nano Al2O3 NPs, 4 wt.% nano Al2O3 NPs incorporation has the maximum mechanical properties owing to the Al2O3 particles being well combined in the epoxy matrix and exhibiting good interfacial adhesion strength.
- Compared to plain epoxy, the maximum moisture uptake of aluminium-loaded epoxy nanomaterials is reduced by 12.1, 19.4, and 22.4%, respectively, with the inclusion of 2, 4, and 6 wt.% aluminium oxide. This is because the resistance characteristics of natural composites loaded with aluminium oxide outperform those of other unfilled biocomposites.
Author Contributions
Funding
Institutional Review Board Statement
Informed Consent Statement
Data Availability Statement
Acknowledgments
Conflicts of Interest
References
- Ramesh, M.; Palanikumar, K.; Reddy, K.H. Mechanical Property Evaluation of Sisal-Jute-Glass Fiber Reinforced Polyester Composites. Compos. B Eng. 2013, 48, 1–9. [Google Scholar] [CrossRef]
- Yasir, M.; Al, A.; Ullah, Z.; Ahmed, W.; Arshad, H.; Ali, A. Results in Engineering Natural Fiber Reinforced Composites: Sustainable Materials for Emerging Applications. Results Eng. 2021, 11, 100263. [Google Scholar] [CrossRef]
- Velmurugan, G.; Natrayan, L.; Rao, Y.S.; Gaur, P.; Sekar, S.; Chebolu, R.; Patil, P.P.; Paramasivam, P. Influence of Epoxy / Nanosilica on Mechanical Performance of Hemp / Kevlar Fiber Reinforced Hybrid Composite with an Ultrasonic Frequency. Adsorpt. Sci. Technol. 2022, 2022, 7233255. [Google Scholar] [CrossRef]
- Saba, N.; Paridah, M.T.; Abdan, K.; Ibrahim, N.A. Effect of Oil Palm Nano Filler on Mechanical and Morphological Properties of Kenaf Reinforced Epoxy Composites. Constr. Build. Mater. 2016, 123, 15–26. [Google Scholar] [CrossRef]
- Li, Y.; Mai, Y.; Ye, L. Sisal Fibre and Its Composites: A Review of Recent Developments IM PA US AS DO ME US EX ON AS. Compos. Sci. Technol. 2000, 60, 2037–2055. [Google Scholar] [CrossRef]
- Sathish, T.; Natrayan, L.; Christydass, S.P.J.; Sivananthan, S.; Kamalakannan, R.; Vijayan, V.; Paramasivam, P. Experimental Investigation on Tribological Behaviour of AA6066: HSS-Cu Hybrid Composite in Dry Sliding Condition. Adv. Mater. Sci. Eng. 2022, 2022, 9349847. [Google Scholar] [CrossRef]
- Yan, L.; Chouw, N.; Jayaraman, K. Flax Fibre and Its Composites—A Review. Compos. B Eng. 2014, 56, 296–317. [Google Scholar] [CrossRef]
- Charlet, K.; Baley, C.; Morvan, C.; Jernot, J.P.; Gomina, M.; Bréard, J. Characteristics of Hermès Flax Fibres as a Function of Their Location in the Stem and Properties of the Derived Unidirectional Composites. Compos. A Appl. Sci. Manuf. 2007, 38, 1912–1921. [Google Scholar] [CrossRef]
- Sabarinathan, P.; Annamalai, V.E.; Vishal, K.; Nitin, M.S.; Natrayan, L.; Veeeman, D.; Mammo, W.D. Experimental study on removal of phenol formaldehyde resin coating from the abrasive disc and preparation of abrasive disc for polishing application. Adv. Mater. Sci. Eng. 2022, 2022, 6123160. [Google Scholar] [CrossRef]
- Evtimova, M.; Vlahova, M.; Atanassov, A. Flax Improvement by Biotechnology Means. J. Nat. Fibers 2005, 2, 17–34. [Google Scholar] [CrossRef]
- Neto, J.S.S.; Lima, R.A.A.; Cavalcanti, D.K.K.; Souza, J.P.B.; Aguiar, R.A.A.; Banea, M.D. Effect of Chemical Treatment on the Thermal Properties of Hybrid Natural Fi Ber-Reinforced Composites. J. Appl. Polym. Sci. 2018, 136, 47154. [Google Scholar] [CrossRef]
- de Lima, R.A.A.; Cavalcanti, D.K.; Banea, M.D.; Neto, J.S.S.; Meneses, H. Effect of Surface Treatments on Interfacial Properties of Natural Intralaminar Hybrid Composites. Polym. Compos. 2019, 41, 314–325. [Google Scholar] [CrossRef]
- Safri, S.N.A.; Sultan, M.T.H.; Jawaid, M.; Jayakrishna, K. Impact behaviour of hybrid composites for structural applications: A review. Compos. B Eng. 2017, 133, 112–121. [Google Scholar] [CrossRef]
- Cavalcanti, D.K.K.; Banea, M.D.; Neto, J.S.S.; Lima, R.A.A.; Silva, L.F.M.; Carbas, R.J.C. Mechanical characterization of intralaminar natural fibre-reinforced hybrid composites. Compos. B Eng. 2019, 175, 107149. [Google Scholar] [CrossRef]
- Velmurugan, G.; Shankar, V.S.; Rahiman, M.K.; Prathiba, R.; Dhilipnithish, L.R.; Khan, F.A. Effectiveness of Silica Addition on the Mechanical Properties of Jute / Polyester Based Natural Composite. Mater. Today Proc. 2022. [Google Scholar] [CrossRef]
- Meikandan, M.; Karthick, M.; Natrayan, L.; Patil, P.P.; Sekar, S.; Rao, Y.S.; Bayu, M.B. Experimental Investigation on Tribological Behaviour of Various Processes of Anodized Coated Piston for Engine Application. J. Nanomater. 2022, 2022, 7983390. [Google Scholar] [CrossRef]
- Li, Y.; Guo, X.; Yang, J.; Li, M. Preparation of Nano-SiO 2 / Carbon Fiber-Reinforced Concrete and Its Influence on the Performance of Oil Well Cement. Int. J. Polym. Sci. 2019, 2019, 1–9. [Google Scholar]
- Paranthaman, V.; Sundaram, K.S.; Natrayan, L. Influence of SiC particles on mechanical and microstructural properties of modified interlock friction stir weld lap joint for automotive grade aluminium alloy. Silicon 2022, 14, 1617–1627. [Google Scholar] [CrossRef]
- Alharthi, N.S.; Aldakheel, F.M.; Binshaya, A.S. Inhibition of Glycogen Synthase Kinase and the Neuroprotective Function of Conjugated ZnO-Osthol Nanoparticles in Alzheimer’s Disease. Bioinorg. Chem. Appl. 2022, 2022, 1401995. [Google Scholar] [CrossRef]
- Wang, S.; Hu, Z.; Lu, S. Research on Microseismic Source Location Method Based on Waveform Characteristics Monitored by Nanomaterial Sensor under the Background of Metal Oxide Polluted Environment. Bioinorg. Chem. Appl. 2022, 2022, 5479007. [Google Scholar] [CrossRef]
- Li, C.; Xiang, Y.; Wang, Y.; Li, P. Study on Nano Drug Particles in the Diagnosis and Treatment of Alzheimer’s Disease in the Elderly. Bioinorg. Chem. Appl. 2022, 2022, 3335581. [Google Scholar] [CrossRef] [PubMed]
- Hlapisi, N.; Motaung, T.E.; Linganiso, L.Z.; Oluwafemi, O.S.; Songca, S.P. Encapsulation of Gold Nanorods with Porphyrins for the Potential Treatment of Cancer and Bacterial Diseases: A Critical Review. Bioinorg. Chem. Appl. 2019, 2019, 7147128. [Google Scholar] [CrossRef] [PubMed]
- Nasrollahzadeh, M.; Issaabadi, Z.; Sajadi, S.M. Green Synthesis of the Ag / Al 2 O 3 Nanoparticles Using Bryonia Alba Leaf Extract and Their Catalytic Application for the Degradation of Organic Pollutants. J. Mater. Sci. Mater. Electron. 2019, 30, 3847–3859. [Google Scholar] [CrossRef]
- Gao, H.; Fan, A. Green synthesis of 1,5-dideoxy-1,5-imino-ribitol and 1,5-dideoxy-1,5-imino-dl-arabinitol from natural d-sugars over Au/Al2O3 and SO42−/Al2O3 catalysts. Sci. Rep. 2021, 11, 16928. [Google Scholar] [CrossRef]
- Matheswaran, M.; Arjunan, T.; Muthusamy, S.; Natrayan, L.; Panchal, H.; Subramaniam, S.; Khedkar, N.; El-Shafay, A.S.; Sonawane, C. A case study on thermo-hydraulic performance of jet plate solar air heater using response surface methodology. Case Stud. Therm. Eng. 2022, 34, 101983. [Google Scholar] [CrossRef]
- Sánchez-Navarro, M.; Ruiz-torres, C.A.; Niño-Martinez, N.; Sánchez-Sánchez, R.; Martínez-Castañón, G.A.; DeAlba-Montero, I.; Ruiz, F. Cytotoxic and Bactericidal Effect of Silver Nanoparticles Obtained by Green Synthesis Method Using Annona Muricata Aqueous Extract and Functionalized with 5-Fluorouracil. Bioinorg. Chem. Appl. 2018, 2018, 6506381. [Google Scholar] [CrossRef]
- Uluçam, G.; Turkyilmaz, M. Synthesis, Structural Analysis, and Biological Activities of Some Imidazolium Salts. Bioinorg. Chem. Appl. 2018, 2018, 1439810. [Google Scholar] [CrossRef]
- Wali, L.A.; Hasan, K.; Alwan, A. An Investigation of Efficient Detection of Ultra-Low Concentration of Penicillins in Milk Using AuNPs / PSi Hybrid Structure. Plasmonics 2020, 15, 985–993. [Google Scholar] [CrossRef]
- Khan, R.A.; Aurel, T.; Ali, F.; Koo, B.H. Anticancer and Antimicrobial Properties of Inorganic Compounds / Nanomaterials. Bioinorg. Chem. Appl. 2019, 2019, 6019632. [Google Scholar] [CrossRef]
- Wali, L.A.; Alwan, A.M.; Dheyab, A.B.; Hashim, D.A. Excellent fabrication of Pd-Ag NPs/PSi photocatalyst based on bimetallic nanoparticles for improving methylene blue photocatalytic degradation. Optik 2019, 179, 708–717. [Google Scholar] [CrossRef]
- Zhang, W. Nanoscale Iron Particles for Environmental Remediation: An Overview. J. Nanopart. Res. 2003, 5, 323–332. [Google Scholar] [CrossRef]
- Nishitani, E.; Sagesaka, Y.M. Simultaneous Determination of Catechins, Caffeine and Other Phenolic Compounds in Tea Using New HPLC Method. J. Food Compos. Anal. 2004, 17, 675–685. [Google Scholar] [CrossRef]
- Wang, T.; Lin, J.; Chen, Z.; Megharaj, M.; Naidu, R. Green Synthesized Iron Nanoparticles by Green Tea and Eucalyptus Leaves Extracts Used for Removal of Nitrate in Aqueous Solution. J. Clean. Prod. 2014, 83, 413–419. [Google Scholar] [CrossRef]
- Jabbar, A.A.; Alwan, A.M.; Zayer, M.Q.; Bohan, A.J. Efficient Single Cell Monitoring of Pathogenic Bacteria Using Bimetallic Nanostructures Embedded in Gradient Porous Silicon. Mater. Chem. Phys. 2020, 241, 122359. [Google Scholar] [CrossRef]
- Bandeira, M.; Possan, A.L.; Pavin, S.S.; Raota, C.S.; Vebber, M.C.; Giovanela, M.; Roesch-ely, M.; Devine, D.M. Nano-Structures & Nano-Objects Mechanism of Formation, Characterization and Cytotoxicity of Green Synthesized Zinc Oxide Nanoparticles Obtained from Ilex Paraguariensis Leaves Extract. Nano-Struct. Nano-Objects 2020, 24, 100532. [Google Scholar] [CrossRef]
- Purkait, P.; Bhattacharyya, A.; Roy, S.; Maitra, S.; Das, G.C.; Chaudhuri, M.G. Green Synthesis of TiO2 Nanoparticle: Its Characterization and Potential Application in Zoxamide Photodegradation. J. Water Environ. Nanotechnol. 2020, 5, 191–203. [Google Scholar] [CrossRef]
- Rangappa, S.M.; Parameswaranpillai, J.; Siengchin, S. Bioepoxy Based Hybrid Composites from Nano—Fillers of Chicken Feather and Lignocellulose Ceiba Pentandra. Sci. Rep. 2022, 12, 1–18. [Google Scholar] [CrossRef]
- Bitire, S.; Jen, T.-C. South African Journal of Chemical Engineering The Role of a Novel Green Synthesized Nanoparticles Added Parsley Biodiesel Blend on the Performance-Emission Characteristics of a Diesel Engine. S. Afr. J. Chem. Eng. 2022, 41, 161–175. [Google Scholar] [CrossRef]
- Okonkwo, E.C.; Abid, M.; Ratlamwala, T.A.H.; Abbasoglu, S.; Dagbasi, M. Optimal Analysis of Entropy Generation and Heat Transfer in Parabolic Trough Collector Using Green-Synthesized TiO2/Water Nanofluids. J. Sol. Energy Eng. 2018, 141, 031011. [Google Scholar] [CrossRef]
- Velmurugan, G.; Babu, K. Statistical Analysis of Mechanical Properties of Wood Dust Filled Jute Fiber Based Hybrid Composites under Cryogenic Atmosphere Using Grey-Taguchi Method. Mater. Res. Express 2020, 7, 065310. [Google Scholar] [CrossRef]
- Balasubramani, V. Effect of Surface Treatment on Natural Fibers Composite Effect of Surface Treatment on Natural Fibers Composite. IOP Conf. Ser. Mater. Sci. Eng. 2018, 376, 012053. [Google Scholar] [CrossRef]
- Koopi, H.; Buazar, F. A novel one-pot biosynthesis of pure alpha aluminum oxide nanoparticles using the macroalgae Sargassum ilicifolium: A green marine approach. Ceram. Int. 2018, 44, 8940–8945. [Google Scholar] [CrossRef]
- Manikandan, V.; Jayanthi, P.; Priyadharsan, A.; Vijayaprathap, E.; Anbarasan, P.M.; Velmurugan, P. Green synthesis of pH-responsive Al2O3 nanoparticles: Application to rapid removal of nitrate ions with enhanced antibacterial activity. J. Photochem. Photobiol. A Chem. 2019, 371, 205–215. [Google Scholar] [CrossRef]
- Subramanian, B.; Lakshmaiya, N.; Ramasamy, D.; Devarajan, Y. Detailed analysis on engine operating in dual fuel mode with different energy fractions of sustainable HHO gas. Environ. Prog. Sustain. Energy 2022, 41, e13850. [Google Scholar] [CrossRef]
- Rasheed, T.; Bilal, M.; Iqbal, H.M.N.; Li, C. Green Biosynthesis of Silver Nanoparticles Using Leaves Extract of Artemisia Vulgaris and Their Potential Biomedical Applications. Colloids Surf. B Biointerfaces 2017, 158, 408–415. [Google Scholar] [CrossRef]
















| Sl.No | Constraints | Stages | |||
|---|---|---|---|---|---|
| S1 | S2 | S3 | S4 | ||
| 1 | Sisal Fibre (wt.%) | 0 | 5 | 10 | 15 |
| 2 | Flax Fibre (wt.%) | 0 | 5 | 10 | 15 |
| 3 | Nano Al2O3 Filler (wt.%) | 0 | 2 | 4 | 6 |
| 4 | NaOH concentration (wt.%) | 0 | 1 | 3 | 5 |
| Sl.No | Sisal Fibre (wt.%) | Flax Fibre (wt.%) | Nano Filler (wt.%) | NaOH (wt.%) |
|---|---|---|---|---|
| 1 | 0 | 0 | 0 | 0 |
| 2 | 0 | 5 | 2 | 1 |
| 3 | 0 | 10 | 4 | 3 |
| 4 | 0 | 15 | 6 | 5 |
| 5 | 5 | 0 | 2 | 3 |
| 6 | 5 | 5 | 0 | 5 |
| 7 | 5 | 10 | 6 | 0 |
| 8 | 5 | 15 | 4 | 1 |
| 9 | 10 | 0 | 4 | 5 |
| 10 | 10 | 5 | 6 | 3 |
| 11 | 10 | 10 | 0 | 1 |
| 12 | 10 | 15 | 2 | 0 |
| 13 | 15 | 0 | 6 | 1 |
| 14 | 15 | 5 | 4 | 0 |
| 15 | 15 | 10 | 2 | 5 |
| 16 | 15 | 15 | 0 | 3 |
Publisher’s Note: MDPI stays neutral with regard to jurisdictional claims in published maps and institutional affiliations. |
© 2022 by the authors. Licensee MDPI, Basel, Switzerland. This article is an open access article distributed under the terms and conditions of the Creative Commons Attribution (CC BY) license (https://creativecommons.org/licenses/by/4.0/).
Share and Cite
Lakshmaiya, N.; Ganesan, V.; Paramasivam, P.; Dhanasekaran, S. Influence of Biosynthesized Nanoparticles Addition and Fibre Content on the Mechanical and Moisture Absorption Behaviour of Natural Fibre Composite. Appl. Sci. 2022, 12, 13030. https://doi.org/10.3390/app122413030
Lakshmaiya N, Ganesan V, Paramasivam P, Dhanasekaran S. Influence of Biosynthesized Nanoparticles Addition and Fibre Content on the Mechanical and Moisture Absorption Behaviour of Natural Fibre Composite. Applied Sciences. 2022; 12(24):13030. https://doi.org/10.3390/app122413030
Chicago/Turabian StyleLakshmaiya, Natrayan, Velmurugan Ganesan, Prabhu Paramasivam, and Seshathiri Dhanasekaran. 2022. "Influence of Biosynthesized Nanoparticles Addition and Fibre Content on the Mechanical and Moisture Absorption Behaviour of Natural Fibre Composite" Applied Sciences 12, no. 24: 13030. https://doi.org/10.3390/app122413030
APA StyleLakshmaiya, N., Ganesan, V., Paramasivam, P., & Dhanasekaran, S. (2022). Influence of Biosynthesized Nanoparticles Addition and Fibre Content on the Mechanical and Moisture Absorption Behaviour of Natural Fibre Composite. Applied Sciences, 12(24), 13030. https://doi.org/10.3390/app122413030

