Next Article in Journal
A Hybrid Artificial Intelligence Model for Detecting Keratoconus
Previous Article in Journal
Attenuation and Frequency Characteristics of Acoustic Waves in Steel and Synthetic Fiber-Reinforced Concrete: 3D-PCT and Unsupervised Pattern Recognition
 
 
Font Type:
Arial Georgia Verdana
Font Size:
Aa Aa Aa
Line Spacing:
Column Width:
Background:
Article

Displacement and Extinction of Jet Diffusion Flame Exposed to Speaker-Generated Traveling Sound Waves

1
School of Energy and Power Engineering, Xi’an Jiaotong University, Xi’an 710049, China
2
State Key Laboratory of Mechanical Strength and Vibration, School of Aerospace, Xi’an Jiaotong University, Xi’an 710049, China
*
Author to whom correspondence should be addressed.
Appl. Sci. 2022, 12(24), 12978; https://doi.org/10.3390/app122412978
Submission received: 23 November 2022 / Revised: 8 December 2022 / Accepted: 14 December 2022 / Published: 17 December 2022

Abstract

Acoustic flame suppression is a potential technology which does away with the need to carry fire-extinguishing media and does not cause secondary pollution. We herein reported an experimental study on the displacement and extinction of jet diffusion flames exposed to speaker-generated traveling sound waves with a frequency of 110–150 Hz and local sound pressure of 2–16 Pa. The simultaneous movement of the flame and fuel was captured using a high-speed camera and schlieren techniques. Results showed that the flame oscillation was dominated by induced wind produced by membrane vibrations instead of sound pressure, and this induced wind’s frequency was the same as that of sound waves. Moreover, the movement of unburned fuel and flame was not synchronous, which resulted in an interrupted fuel–flame cycle. Consequently, the flame was gradually suppressed and completely extinguished after several oscillation cycles. Finally, we determined the extinction criterion that when the dimensionless gap between the flame and the unburned fuel was greater than or equal to 7, the flame would be extinguished. Results clearly revealed the mechanism of acoustic fire extinguishing, which provided reference for the feasibility of acoustic fire-extinguishing applications.

1. Introduction

The development of fire suppression technology plays an important role in significantly reducing fire hazards. Interestingly, sound waves, which are essentially traveling waves, seem to be a potential new fire extinguisher. Compared with traditional chemical fire extinguishers such as foam, carbon dioxide, and dry powder, acoustic fire suppression technology does not require carrying fire-extinguishing media and does cause secondary pollution during the fire-extinguishing process.
In fact, coupled interaction between acoustics and flame has always been an important research topic [1,2,3,4]. Recently, research about traveling wave fire suppression has gradually appeared.
In an earlier work, McKinney and Dunn-Rankin [5] studied acoustically driven extinction in a droplet stream flame and revealed that the gas displacement was the key parameter of flame extinction and the extinction sound pressure increased with increasing sound frequency. They explained that the positive correlation between the extinction sound pressure and frequency was a result of the increase in frequency enhancing the mixing between the fuel and oxidizer. The above conclusion was also confirmed by DARPA [6] through comprehensive research. Beisner et al. [7] carried out acoustic fire-extinguishing research in microgravity. Fortunately, the authors found that it was more effective to extinguish the flame in microgravity than in a normal-gravity environment. In addition, it was also observed that fire was extinguished more quickly at lower frequencies. Certainly, the mechanism behind acoustic extinction has been an active research topic. Whiteside [8] stated that the most likely cause of flame extinction was a blow-off. The phenomenon of sound wave extinguishing was indeed very similar to that of wind-blowing extinguishing as in previous studies; this could be explained by extinction strain-rate theory, essentially, a competitive relationship between chemical reactions driving combustion and the mixing rate of reactants [9]. Recently, Friedman and Stoliarov [10,11] found that flame stretch was not the cause of extinction in laminar, near-planar, and diffusion flames using acoustic waves. They argued that acoustically driven extinction was caused by the cooling effect of acoustic flow which was so great that the evaporated fuel dropped below the critical value needed to sustain a flame. They further proposed a criterion for acoustically driven extinction: whether the rate of a modified Nusselt number to the Spalding B number of the fuel was greater than the critical constant. However, for the acoustic extinction of most diffusion flames, extinction strain-rate theory was still applicable. Bennewitz et al. [12] studied the extinction mechanism for a single droplet flame in acoustic standing waves and found that extinction was caused by the temporal increase in the local rate of normal flame strain. This extinction mechanism was also supported by Xiong et al. [13,14,15,16]; they further modified the Damköhler number (Da), suitable for acoustic extinction, and the flaming firebrand. Furthermore, droplets can be extinguished when the value of Da drops below 1.0. Flame displacement is the most important factor for extinction. However, the cause of flame displacement in the sound field seemed to be controversial. Niegodajew [17] thought that flame displacement was caused by the cumulative effect of acoustic mean flow and oscillatory perturbations. In his study, the gas burner flame was exposed to the sound field with a frequency of 30–50 Hz, and it is easier to extinguish the flame with lower-frequency sound waves as shown in previous works in the literature. The studies of Xiong et al. [18] showed that there was a good agreement between the displacements of the flame and membrane; thus, macroscopic movement of the flame was likely caused by the motion of the speaker membrane rather than the acoustic pressure.
Significant progress has been made in the study of acoustic fire suppression. However, studies on the effect of sound waves on jet diffusion flames are insufficient, especially since the extinction mechanism has not been discussed in detail. In this work, an experimental investigation of acoustic extinction of a jet diffusion flame produced by a Bunsen burner with butane as fuel was performed. The study was focused on the cause of flame displacement and the extinguishing mechanism. The results are significant for understanding the acoustic fire-extinguishing mechanism, application scenarios, and the development direction of fire-extinguishing technology.

2. Experimental Setup and Methodology

2.1. Experimental Apparatus

The experimental apparatus is schematically shown in Figure 1, and consisted of four main components: speaker system, burner system, camera system, and sound field measurement system. Sine wave signals of different frequencies (110–150 Hz) were generated by the signal generator, and then the sound waves were emitted by the speaker. The sound intensity was adjusted by the amplifier between the signal generator and the speaker. The jet diffusion flame was produced by a butane-fueled Bunsen burner with nozzle inner diameter of 0.39 mm, and the flame length was adjusted by the fuel flow controlled by a flow meter (produced by Sevenstar @0–100 mL/min) to avoid interference by differences in flame length on the experimental results. A high-speed camera (Phantom Miro eX4 @1800 frames per second) was used to capture the visual field, where the fuel visualization was realized by the schlieren system consisting of an LED and a concave mirror. In addition, the sound field measurement system consisted of an acoustic sensor (INV9202) and a dynamic signal acquisition instrument (DFT5204), and sound pressure was finally shown by the analysis software DFT6000. After the flame stabilized, the speaker was activated, and the flame was allowed to burn under acoustic excitation at a constant frequency and acoustic pressure until it self-extinguished or was quenched artificially after 1 s. Measurements of the sound pressure were then taken at the same position as the flame.

2.2. Image and Data Processing

All experimental images were processed by self-developed programs based on Python–OpenCV to ensure the consistency of the data obtained and to avoid the error of manual measurement. As illustrated in Figure 2, the experiments’ original color image (Figure 2a) was first converted to a grayscale image (Figure 2b), and then the grayscale image was converted to a binary map (Figure 2c). The shape and position parameters of the flame were obtained by multiplying the coordinates of the white pixel points in the binary map by a scale calibrated in advance (Figure 2d). Finally, the frequency and amplitude of flame oscillation were taken using Fast Fourier Transform in MATLAB. In this study, each experiment was repeated three times, then the average value of the three results was taken as the analysis object; its standard error is displayed in results in the form of error bars.

3. Results and Discussion

Upon the activation of the loudspeaker (120 Hz), the flame then started a periodic oscillation centered on the original position (Figure 3a). The flame envelope basically maintained the original shape at a sound pressure of 8 Pa. With an increase in the speaker power, taking pe = 13 Pa, for instance, the vibration amplitude ( ξ f ) was increased, and the conical flame structure was destroyed (Figure 3b). Niegodajew et al. [17] attributed this phenomenon to the effect of the acoustic mean flow (also described as acoustic streaming). However, the acoustic mean flow could not explain why the deviation direction was sometimes opposite to the direction of the sound wave. There must be something unnoticed awaiting disclosure.
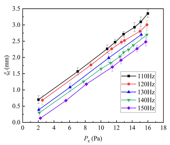
To quantitatively evaluate the vibration, we measured the position of the flame’s right edge (xmax) under the same sound power, as defined in Figure 3a, at t = 3.9 ms, and the results are listed in Figure 4a. The vibration frequency was equal to that of the sound wave (Figure 4), which is consistent with the previous study [19]. The vibrational amplitude ( ξ f ) of the flame decreased with the increase in sound frequency but increased linearly with sound pressure ( p e ), as shown in Figure 5.
The coherence of the frequencies of the sound and the flame indicated that it is reasonable for the sound waves to produce flame oscillation. However, although qualitatively possible, the flame amplitude ξ f was quantitatively overlarge compared to that of the sound particle ( ξ a ), i.e., air molecule, which could be estimated by the following formula:
ξ a = p 2 π f z
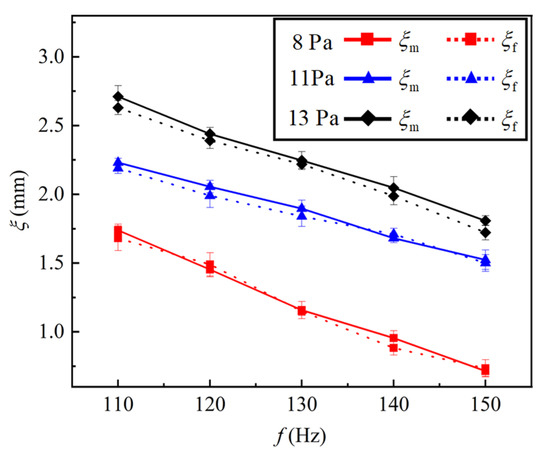
where ξ a is the amplitude of the sound particle, p = 2 p e is the averaged sound pressure, and z = 233   Pa s is the specific acoustic impedance of hot gas at 1000 K [20] (estimated temperature of butane flame). As shown in Figure 6, the corresponding theoretical amplitude of the air molecule was very small, about one thirtieth of the amplitude of flame fluctuation, which was difficult to observe in experiments; this proved that the sound pressure was not the reason for flame fluctuation. As shown in Figure 7, the amplitude of the speaker membrane ξ m m was almost equal to ξ f . This indicates that the oscillation of the flame here was driven by the vibrating membrane of the speaker via the effect of macroscopic flow which, usually named “induced wind”, was of the same frequency as the sound wave.
As shown previously in Figure 3b, when the induced wind was strong enough, the flame would be quenched. Although this kind of extinction was caused by the induced wind, it was still called acoustic extinction here as the induced wind was closely related to the acoustic membrane, which was similar to the descriptions in other previous studies [5,7,11,15,21]. It does not mean that this description is reasonable and accurate. It is noted that the acoustic extinction mechanism of diffusion flames has not been unrevealed.
In the case of diffusion flames of liquid fuel, a convection cooling effect would be produced on the fuel bed by the acoustic flow, which made the fuel evaporation rate drop below the critical value needed to sustain a flame; thus, acoustic extinction was achieved [11]. Although it was also a diffusion flame, the fuel here was gaseous and there was no evaporation process. Consequently, an alternate explanation was needed.
As shown in Figure 3b, as the flame displacement increased, there was a gap between the flame root and the burner outlet, meaning that the new fuel from the burner would exist in an unburned state instead of being ignited immediately, which can be observed in the schlieren image in Figure 8c. The motion parameters of three points were further extracted, representing the flame, unburned fuel, and membrane (probe) (Figure 8). The time dependence results in Figure 8a were fitted in Figure 8b. After dimensionless treatment, the three lines can be expressed as two sine functions as follows:
x F * = 0.391 sin ( ω t 2.844 ) ,   R 2 = 0.95
x m , f * = 2.611 sin ( ω t + 0.8644 ) ,   R 2 = 0.98
where x F * representing the position of unburned fuel is equal to x F / d i , x m , f * representing the position of the flame and membrane is equal to x m , f / d i ,   d i is the nozzle inner diameter, and ω = 2 π f . As illustrated in Figure 8c, the oscillation frequencies of the flame, unburned fuel, and membrane were the same, but the displacement amplitude of unburned fuel was less than 15% of that of the flame and membrane. In fact, the newly ejected fuel would exist in an unburned state only when the flame was far away from the burner outlet. However, due to the attributes of the periodic oscillation movement, the speed of the whole flow field first increases to the peak value and then decreases to zero in half a period. Therefore, when the flame was far away, it corresponded to the deceleration phase, and oscillation amplitude of the unburned fuel at the end of the deviation stroke was, consequently, very small. In addition, an abnormal phenomenon was noted in Figure 8b: the temporal characteristics of unburned fuel were not synchronous with that of macroscopic oscillation of the whole flow field, and there was a dislocation equal to about 1/4 period. It should be pointed out that the oscillation of the flame and induced wind was completely consistent, and the frequency and amplitude were equal to the excitation source (membrane); thus, the speed was no longer distinguished and was uniformly expressed by u * , which was calculated per Equation (4).
u * = d x m , f * d t
When x F * , x m , f * , and u * were compared together in Figure 8d, an interesting case could be seen wherein the nonidentity in time (mentioned above) between x F * and x m , f * always started when u * reached its peak and ended when u * = 0 , i.e., the flame and unburned fuel moved in opposite directions during the deceleration period of induced wind (marked by pink stripes in figures).
As illustrated in Figure 9a, the velocity of unburned fuel U F was actually the vector sum of u and ejection velocity v F . Thus, the horizontal component of U F decreased continuously during the deceleration period of induced wind. As a result, the horizontal movement direction of the unburned fuel was opposite to the flame, and it should be emphasized that in this process, the observed fuel was constantly updated. Thus, the unburned fuel oscillation phase should be approximately consistent with that of the flame oscillation acceleration a, which was confirmed in Figure 9b. In the non-synchronous oscillation stage, there was a gap between the flame and the new unburned fuel, of which the range was defined as δ . However, the growth of δ did not cease with the end of the opposite movement process, but continuously increased in a short time after the induced wind turned (Figure 10), and then gradually decreased. This phenomenon meant that the gap between the flame and the new unburned fuel was the area where fuel was too lean to be ignited or form luminous flame at high temperature. As a result, the flame was gradually suppressed and finally completely extinguished after several oscillation cycles.
In this extinguishing process, the gap played a dominant role. The changes in δ with time were quantized in Figure 11a, and the dimensionless amplitude was further obtained by δ max / d i and is shown in Figure 11b. It was indicated that under the action of sound waves of different frequencies, or more accurately, under the action of induced wind of different frequencies, the critical δ ¯ ex for extinguishing the flame was the same, about equal to 7. When δ ¯ ex > 7 , the flame would be extinguished; otherwise, it would not be extinguished. If the flame displacement was larger, the δ would be larger. Therefore, the following relationship existed:
δ ξ p f
If the critical value δ ¯ ex was to be reached, higher frequencies required higher sound pressure, i.e., the speaker needed to output more power. From this point of view, low-frequency sound waves are indeed easier to achieve fire suppression with.

4. Conclusions

An experimental setup was constructed to study the acoustic extinction of jet diffusion flames burning in air. The sound wave frequency and local sound pressure varied from 110 Hz to 150 Hz and 2 Pa to 16 Pa. There was no evaporation process because the fuel used here was butane, which is gaseous at room temperature, so the quenching mechanism is different from the previous study [11].
The results showed that the most direct cause of flame extinction was the deviation of flame away from the fuel supply outlet during oscillation. Moreover, such oscillation was driven by induced wind produced by membrane vibration instead of sound pressure. Due to the nature of periodic oscillation, during the deviation of the flame, the movement of fuel was not synchronized with the flame in time and amplitude. As a result, there was a gap between the flame and new unburned fuel, where the fuel was so scarce that the flame could not be recovered in time after the synchronous movement started and the fuel–flame cycle was consequently interrupted. After this effect was accumulated for several cycles, the flame was completely extinguished. It was the most fundamental mechanism of flame extinction.
The frequency of induced wind was the same as that of sound waves, and there was a positive correlation between the oscillation amplitude of induced wind and sound pressure. However, the induced wind could make the flame oscillate at millimeter scale only near the membrane and decreased rapidly as the distance from the speaker increased, implying that this fire-extinguishing method is infeasible for long-distance fire extinguishing. In addition, large-scale use of acoustic fire extinguishing is not recommended, and may cause damage to hearing.

Author Contributions

Y.-J.Z.: conceptualization, data curation, writing—original draft, writing—review and editing. H.J.: writing—review and editing. Y.-J.W.: funding acquisition, conceptualization, writing—review and editing. Y.-J.Y.: writing—review and editing. All authors have read and agreed to the published version of the manuscript.

Funding

This research was funded by [the National Natural Science Foundation of China] grant number [52176128] and [the Shaanxi Provincial Key R&D Program] grant number [2019ZDLGY15-10]. And The APC was funded by [the National Natural Science Foundation of China (Grant Nos. 52176128)].

Institutional Review Board Statement

Not applicable.

Informed Consent Statement

Not applicable.

Data Availability Statement

The data presented in this study are available on request from the corresponding author.

Acknowledgments

The work in Xi’an Jiaotong University was supported by the National Natural Science Foundation of China (Grant No. 52176128) and the Shaanxi Provincial Key R&D Program (Grant No. 2019ZDLGY15-10).

Conflicts of Interest

The authors declare no conflict of interest.

References

  1. Chakravarthy, S.R.; Sampath, R.; Ramanan, V. Dynamics and Diagnostics of Flame-Acoustic Interactions. Combust. Sci. Technol. 2017, 189, 395–437. [Google Scholar] [CrossRef]
  2. Kasthuri, P.; Pawar, S.A.; Gejji, R.; Anderson, W.; Sujith, R.I. Coupled interaction between acoustics and unsteady flame dynamics during the transition to thermoacoustic instability in a multi-element rocket combustor. Combust. Flame 2022, 240, 112047. [Google Scholar] [CrossRef]
  3. Lieuwen, T. Modeling premixed combustion-acoustic wave interactions: A review. J. Propuls. Power 2003, 19, 765–781. [Google Scholar] [CrossRef]
  4. Williams, A. Combustion Theory, SEcond Edition: By Forman A. Williams. Benjamin-Cummings, 680 pp., f 49.95. Chem. Eng. Sci. 1987, 42, 2223. [Google Scholar] [CrossRef]
  5. Mckinney, D.J.; Dunn-Rankin, D. Acoustically Driven Extinction in a Droplet Stream Flame. Combust. Sci. Technol. 2000, 161, 27–48. [Google Scholar] [CrossRef]
  6. Harvard University. DARPA Instant Flame Suppression Phase II. Final Report; Harvard University: Cambridge, MA, USA, 2008. [Google Scholar]
  7. Eryn, B.; Wiggins, N.D.; Yue, K.B.; Rosales, M.; Penny, J.; Lockridge, J.; Page, R.; Smith, A.; Guerrero, L. Acoustic Flame Suppression Mechanics in a Microgravity Environment. Microgravity Sci. Technol. 2015, 27, 141–144. [Google Scholar] [CrossRef]
  8. Whiteside, G. Instant Flame Suppresion; Phase II—Final Report; U.S. Department of Defense: Arlington County, VA, USA, 2013. [Google Scholar] [CrossRef]
  9. Raghavan, V.; Rangwala, A.S.; Torero, J.L. Laminar flame propagation on a horizontal fuel surface: Verification of classical Emmons solution. Combust. Theory Model. 2009, 13, 121–141. [Google Scholar] [CrossRef]
  10. Friedman, A.N.; Danis, P.I.; Fiola, G.J.; Barnes, C.A.; Stoliarov, S.I. Acoustically Enhanced Water Mist Suppression of Heptane Fueled Flames. Fire Technol. 2018, 54, 1829–1840. [Google Scholar] [CrossRef]
  11. Friedman, A.N.; Stoliarov, S.I. Acoustic extinction of laminar line-flames. Fire Saf. J. 2017, 93, 102–113. [Google Scholar] [CrossRef]
  12. Bennewitz, J.W.; Valentini, D.; Plascencia, M.A.; Vargas, A.; Sim, H.S.; Lopez, B.; Smith, O.I.; Karagozian, A.R. Periodic partial extinction in acoustically coupled fuel droplet combustion. Combust. Flame 2018, 189, 46–61. [Google Scholar] [CrossRef] [PubMed]
  13. Xiong, C.; Liu, Y.; Fan, H.; Huang, X.; Nakamura, Y. Fluctuation and extinction of laminar diffusion flame induced by external acoustic wave and source. Sci. Rep. 2021, 11, 14402. [Google Scholar] [CrossRef] [PubMed]
  14. Xiong, C.; Liu, Y.; Xu, C.; Huang, X. Extinguishing the dripping flame by acoustic wave. Fire Saf. J. 2021, 120, 103109. [Google Scholar] [CrossRef]
  15. Xiong, C.; Liu, Y.; Xu, C.; Huang, X. Acoustical Extinction of Flame on Moving Firebrand for the Fire Protection in Wildland–Urban Interface. Fire Technol. 2021, 57, 1365–1380. [Google Scholar] [CrossRef]
  16. Ma, K.; Yu, X.; Zhao, X.; Li, X.; Li, S.; Zhao, D.; Shi, B. Response of lean premixed swirl tubular flame to acoustic perturbations. Exp. Therm. Fluid Sci. 2020, 119, 110199. [Google Scholar] [CrossRef]
  17. Niegodajew, P.; Łukasiak, K.; Radomiak, H.; Musiał, D.; Zajemska, M.; Poskart, A.; Gruszka, K. Application of acoustic oscillations in quenching of gas burner flame. Combust. Flame 2018, 194, 245–249. [Google Scholar] [CrossRef]
  18. Xiong, C.; Wang, Z.; Huang, X. Acoustic flame extinction by the sound wave or speaker-induced wind? Fire Saf. J. 2021, 126, 103479. [Google Scholar] [CrossRef]
  19. Shi, X.; Zhang, Y.; Chen, X.; Zhang, Y.; Lin, G. The response of an ethanol pool fire to transverse acoustic waves. Fire Saf. J. 2021, 125, 103416. [Google Scholar] [CrossRef]
  20. Ramakrishna, B.S.; Beranek, L.L. Sabine and Acoustics. Phys. Today 1986, 39, 13. [Google Scholar] [CrossRef]
  21. Kim, B.Y. A Study on a Suitability of Sound Fire Extinguisher in Duct Environment. Int. J. Appl. Eng. Res. 2017, 12, 15796–15800. [Google Scholar] [CrossRef]
Figure 1. Scheme of experimental setup.
Figure 1. Scheme of experimental setup.
Applsci 12 12978 g001
Figure 2. Procedures of the image processing to track the instantaneous flame: (a) single-frame image; (b) grayscale image; (c) binary map; (d) binary map.
Figure 2. Procedures of the image processing to track the instantaneous flame: (a) single-frame image; (b) grayscale image; (c) binary map; (d) binary map.
Applsci 12 12978 g002
Figure 3. Periodic oscillation of the flame aroused by the speaker with local sound (120 Hz) pressure: (a) pe = 8 Pa and (b) pe = 13 Pa.
Figure 3. Periodic oscillation of the flame aroused by the speaker with local sound (120 Hz) pressure: (a) pe = 8 Pa and (b) pe = 13 Pa.
Applsci 12 12978 g003
Figure 4. Frequency ff of flame oscillation induced by acoustic disturbance of different frequencies fs.
Figure 4. Frequency ff of flame oscillation induced by acoustic disturbance of different frequencies fs.
Applsci 12 12978 g004
Figure 5. Flame displacement amplitude ξ f in sound fields of different frequencies and intensities.
Figure 5. Flame displacement amplitude ξ f in sound fields of different frequencies and intensities.
Applsci 12 12978 g005
Figure 6. Comparison of ξ f and ξ a under the same sound pressure, and the reduction trend with increasing distance d.
Figure 6. Comparison of ξ f and ξ a under the same sound pressure, and the reduction trend with increasing distance d.
Applsci 12 12978 g006
Figure 7. Comparison of ξ f and ξ m under the same sound pressure, and the reduction trend with increasing frequency f.
Figure 7. Comparison of ξ f and ξ m under the same sound pressure, and the reduction trend with increasing frequency f.
Applsci 12 12978 g007
Figure 8. The oscillation characteristics of the membrane, flame, and unburned fuel were compared together (the acoustic frequency f = 130 Hz): (a) time dependence data; (b) fitting lines; (c) the oscillation frequencies and amplitudes; (d) the flame and unburned fuel moved in opposite directions during the deceleration period of macro.
Figure 8. The oscillation characteristics of the membrane, flame, and unburned fuel were compared together (the acoustic frequency f = 130 Hz): (a) time dependence data; (b) fitting lines; (c) the oscillation frequencies and amplitudes; (d) the flame and unburned fuel moved in opposite directions during the deceleration period of macro.
Applsci 12 12978 g008
Figure 9. (a) Schematic diagram of fuel velocity U F ; (b) x F * of the experiment and the curve of the flame oscillation acceleration a.
Figure 9. (a) Schematic diagram of fuel velocity U F ; (b) x F * of the experiment and the curve of the flame oscillation acceleration a.
Applsci 12 12978 g009
Figure 10. Changes in the gap between the flame and the new unburned fuel.
Figure 10. Changes in the gap between the flame and the new unburned fuel.
Applsci 12 12978 g010
Figure 11. (a) Changes in the gap between the flame and the new unburned fuel; (b) the critical δ ¯ ex was a constant with different sound frequencies.
Figure 11. (a) Changes in the gap between the flame and the new unburned fuel; (b) the critical δ ¯ ex was a constant with different sound frequencies.
Applsci 12 12978 g011
Publisher’s Note: MDPI stays neutral with regard to jurisdictional claims in published maps and institutional affiliations.

Share and Cite

MDPI and ACS Style

Zhang, Y.-J.; Jamil, H.; Wei, Y.-J.; Yang, Y.-J. Displacement and Extinction of Jet Diffusion Flame Exposed to Speaker-Generated Traveling Sound Waves. Appl. Sci. 2022, 12, 12978. https://doi.org/10.3390/app122412978

AMA Style

Zhang Y-J, Jamil H, Wei Y-J, Yang Y-J. Displacement and Extinction of Jet Diffusion Flame Exposed to Speaker-Generated Traveling Sound Waves. Applied Sciences. 2022; 12(24):12978. https://doi.org/10.3390/app122412978

Chicago/Turabian Style

Zhang, Ya-Jie, Huzaifa Jamil, Yan-Ju Wei, and Ya-Jing Yang. 2022. "Displacement and Extinction of Jet Diffusion Flame Exposed to Speaker-Generated Traveling Sound Waves" Applied Sciences 12, no. 24: 12978. https://doi.org/10.3390/app122412978

APA Style

Zhang, Y.-J., Jamil, H., Wei, Y.-J., & Yang, Y.-J. (2022). Displacement and Extinction of Jet Diffusion Flame Exposed to Speaker-Generated Traveling Sound Waves. Applied Sciences, 12(24), 12978. https://doi.org/10.3390/app122412978

Note that from the first issue of 2016, this journal uses article numbers instead of page numbers. See further details here.

Article Metrics

Back to TopTop