Effects of Corner Set−Backs on Wind Loads and Wind Induced Responses of Rectangular Tall Buildings
Abstract
1. Introduction
2. Experiments
3. Analysis of Test Results
3.1. Wind Pressure Coefficients at the Height of 2/3H for Models
3.2. Local Wind Force
3.2.1. Local Wind Force Coefficients
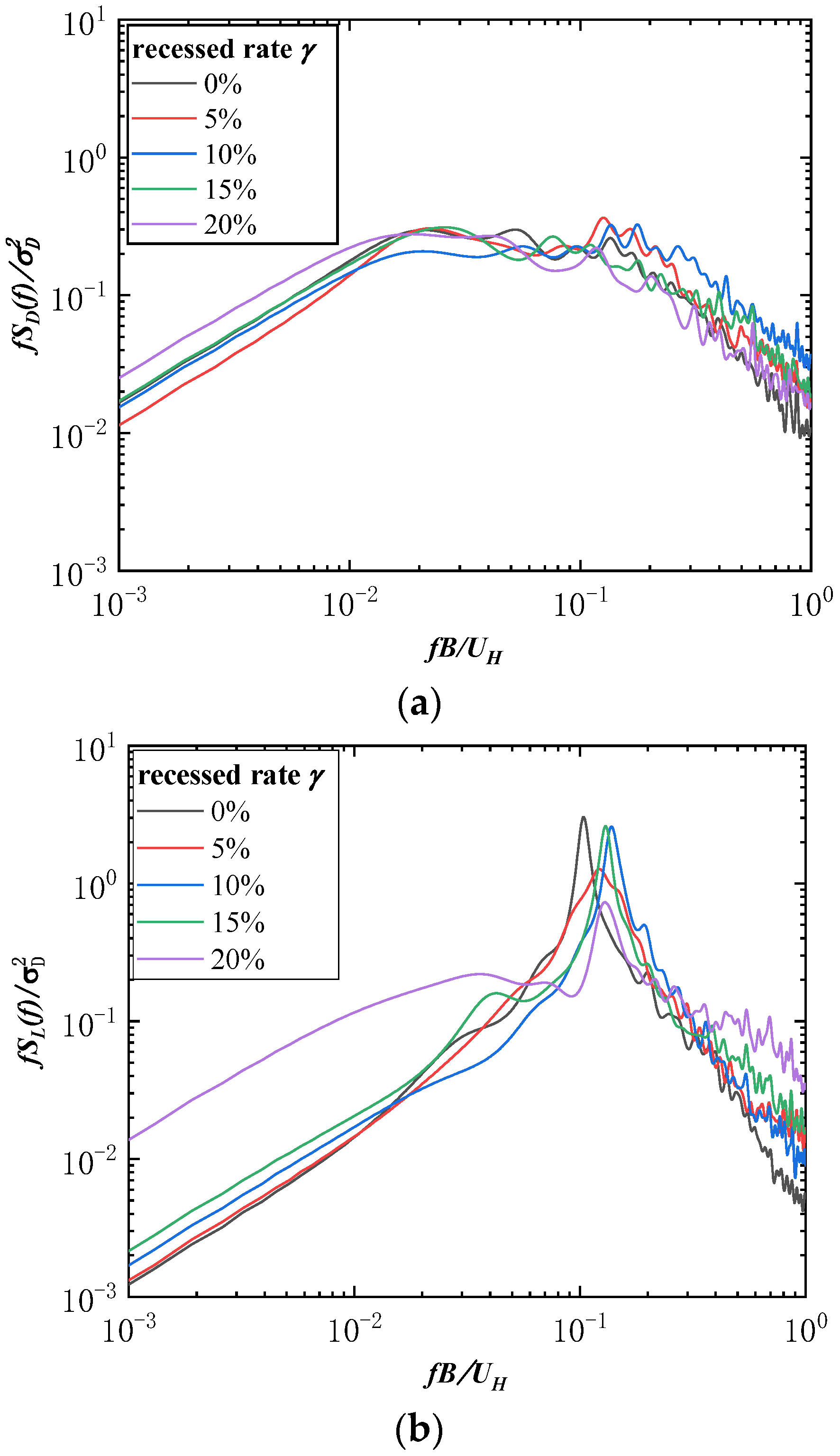
3.2.2. Power Spectral Densities of Local Wind Force Coefficients
3.3. Base Moment
3.3.1. Base Moment Coefficients
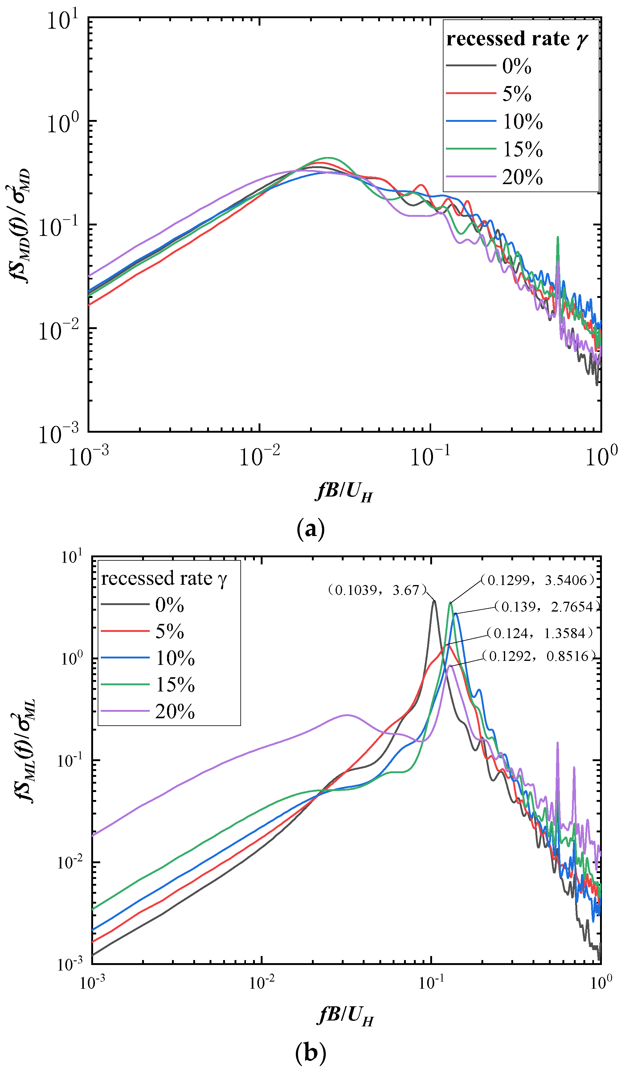
3.3.2. Power Spectral Densities of Base Moment Coefficients
4. Correlation Factors
4.1. Correlation Factors for Base Moment Coefficients
4.2. Correlation Factors for Power Spectral Densities of Base Moment Coefficients
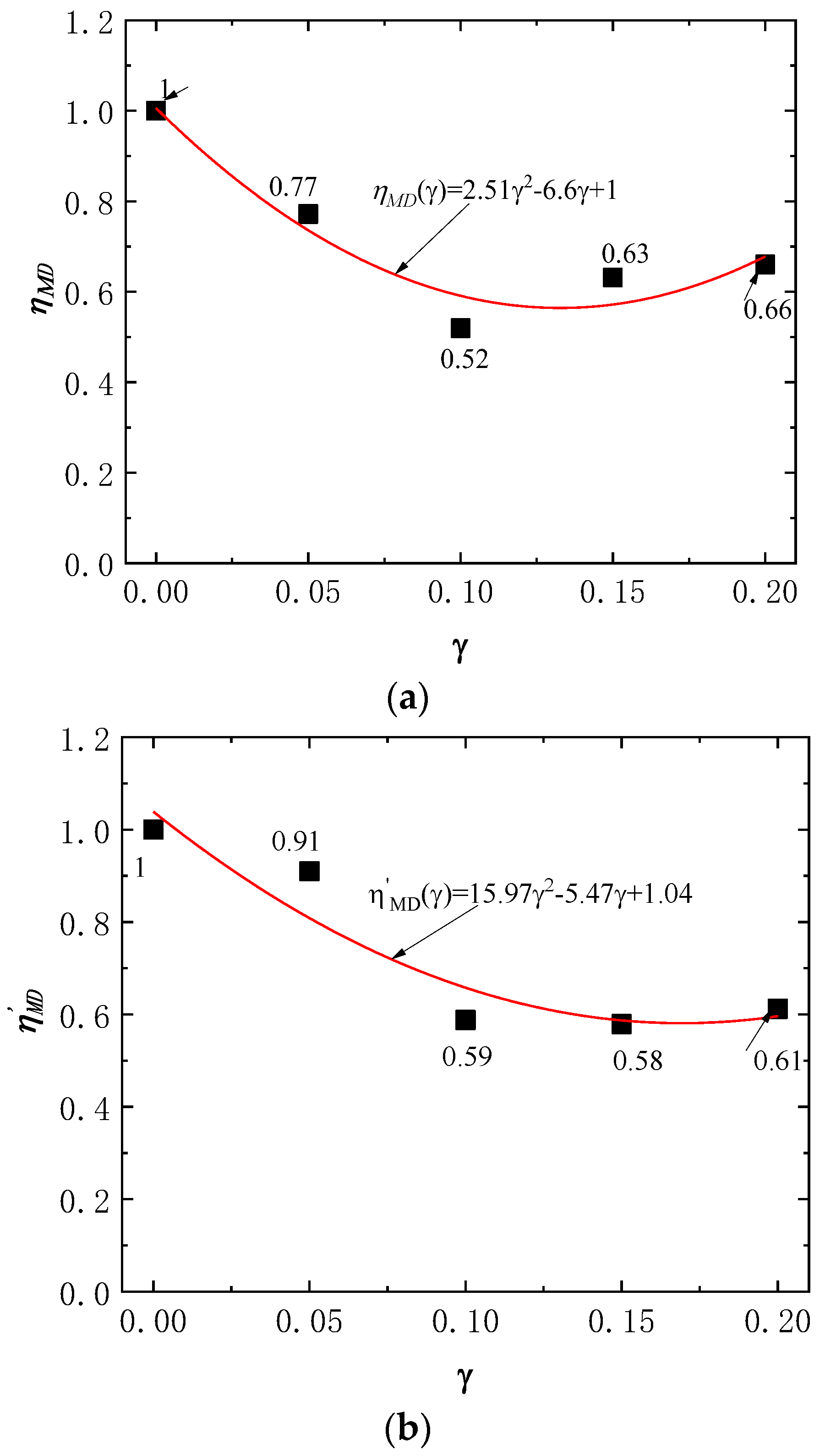
5. Case Study
6. Conclusions
- (1)
- The absolute values of the mean wind pressure coefficients vary more significantly on the side walls with corner set-back rate. In addition, the RMS wind pressure coefficients on the side walls of the model with a corner set-back rate of 5% are greater than those of the benchmark model.
- (2)
- The local mean and RMS drag coefficient are reduced by corner set-back modification. The maximum reduction of the mean drag wind force is found when the rate of corner set-back is 10%. The RMS local lift coefficients for the 5% corner set-back model are greater than those of the benchmark model in the middle height.
- (3)
- The RMS across-wind base moment coefficients with various corner set-back rates are less than the values specified in the design codes.
- (4)
- The peak value for power spectral spectra of the lift force coefficients is reduced by corner set-back treatment and the 20% corner set-back model has a gentle curve of power spectra densities than other corner set-back models. However, the variation of the corner set-backs has little effect on the power spectra of drag force coefficients.
- (5)
- The correlation factors considering different rates of corner set-backs on the wind loads are proposed in accordance with the outcomes of wind tunnel test. The correlation factors in along-wind are mostly smaller within 1.0, while correlation factors in across-wind are greater than 1.0.
- (6)
- Based on the analysis of a case study, the peak of along-wind and across-wind acceleration is basically the same when the building with a corner set-back rate of 5% and without corner modification. The maximum reduction of along-wind mean wind loads is found when the corner set-back rate of 10%, and the overall along-wind mean wind loads is decrease by about 50%. The maximum reduction of across-wind inertial wind loads is found when the corner set-back rate of 20%, and the across-wind inertial wind loads of the top building is decrease by about 67%.
Author Contributions
Funding
Institutional Review Board Statement
Informed Consent Statement
Data Availability Statement
References
- Kareem, A. Mitigation of wind induced motion of tall buildings. J. Wind Eng. Ind. Aerodyn. 1983, 11, 273–284. [Google Scholar] [CrossRef]
- Dutton, R.; Isyumov, N. Reduction of tall building motion by aerodynamic treatments. J. Wind Eng. Ind. Aerodyn. 1990, 36, 739–774. [Google Scholar] [CrossRef]
- Li, Y.; Tian, X.; Tee, K.F.; Li, Q.S.; Li, Y.G. Aerodynamic treatments for reduction of wind loads on high-rise buildings. J. Wind Eng. Ind. Aerodyn. 2018, 172, 107–115. [Google Scholar] [CrossRef]
- Sharma, A.; Mittal, H.; Gairola, A. Mitigation of wind load on tall buildings through aerodynamic modifications: Review. J. Build. Eng. 2018, 18, 180–194. [Google Scholar] [CrossRef]
- Xie, J.M. Aerodynamic optimization of super-tall buildings and its effectiveness assessment. J. Wind. Eng. Ind. Aerodyn. 2014, 130, 88–98. [Google Scholar] [CrossRef]
- Elshaer, A.; Bitsuamlak, G.; Damatty, A.E. Enhancing wind performance of tall buildings using corner aerodynamic optimization. Eng. Struct. 2017, 136, 133–148. [Google Scholar] [CrossRef]
- Kawai, H. Effect of corner modifications on aeroelastic instabilities of tall buildings. J. Wind Eng. Ind. Aerodyn. 1998, 74, 719–729. [Google Scholar] [CrossRef]
- Gu, M.; Quan, Y. Across-wind loads of typical tall buildings. J. Wind Eng. Ind. Aerodyn. 2004, 92, 1147–1165. [Google Scholar] [CrossRef]
- Irwin, P.A. Bluff body aerodynamics in wind engineering. J. Wind Eng. Ind. Aerodyn. 2008, 96, 701–712. [Google Scholar] [CrossRef]
- Tse, K.T.; Hitchcock, P.A.; Kwok, K.C.S.; Thepmongkorn, S.; Chan, C.M. Economic perspective of aerodynamic treatments of square tall buildings. J. Wind Eng. Ind. Aerodyn. 2009, 97, 455–467. [Google Scholar] [CrossRef]
- Zhang, Z.W.; Quan, Y.; Gu, M. Research on the influence of concave corners on the aerodynamic coefficient of the base of high-rise buildings with square section. China Civ. Eng. J. 2013, 46, 58–65. (In Chinese) [Google Scholar]
- Yan, Y.L.; Tang, Y.; Jing, X.Y. Research on aerodynamic shape on wind load of high-rise buildings. J. Build. Struct. 2014, 35, 297–303. (In Chinese) [Google Scholar]
- Alminhana, G.W.; Braun, A.L.; Loredo-Souza, A.M. A numerical-experimental investigation on the aerodynamic performance of CAARC building models with geometric modifications. J. Wind Eng. Ind. Aerodyn. 2018, 180, 34–48. [Google Scholar] [CrossRef]
- Gaur, N.; Raj, R. Aerodynamic mitigation by corner modification on square model under wind loads employing CFD and wind tunnel. Ain Shams Eng. J. 2021, 13, 101521. [Google Scholar] [CrossRef]
- Li, Y.; Li, C.; Li, Q.S.; Song, Q.; Huang, X.; Li, Y.G. Aerodynamic performance of CAARC standard tall building model by various corner chamfers. J. Wind Eng. Ind. Aerodyn. 2020, 202, 104197. [Google Scholar] [CrossRef]
- GB50009-2012; Load Code for the Design of Building Structures. China Architecture and Building Press: Beijing, China, 2012.
- He, Y.C.; Liang, Q.S.; Li, Z.; Fu, J.Y.; Wu, J.R.; Deng, T. Accurate estimation of tube-induced distortion effects on wind pressure measurements. J. Wind Eng. Ind. Aerodyn. 2019, 188, 260–268. [Google Scholar] [CrossRef]
- Lin, N.; Letchford, C.; Tamura, Y.; Liang, B.; Nakamura, O. Characteristics of wind forces acting on tall buildings. J. Wind. Eng. Ind. Aerodyn. 2005, 93, 217–242. [Google Scholar] [CrossRef]
- Tang, Y. Research on the Wind-Excited Vibrations and Static-Equivalent Wind Loads of Torsionally Coupled High-Rise Buildings. Ph.D. Thesis, Tongji University, Shanghai, China, 2006. [Google Scholar]
- Quan, Y. Across-Wind Loads and Responses on Super High-Rise Buildings. Ph.D. Thesis, Tongji University, Shanghai, China, 2002. [Google Scholar]
- Liang, S.G.; Zhang, L.L. Analytical model of cross-wind dynamic wind load for rectangular high-rise buildings. Acta Aerodyn. Sin. 2002, 20, 32–39. [Google Scholar]
- Architectural Institute of Japan. AIJ Recommendation for Loads on Buildings; Architectural Institute of Japan: Tokyo, Japan, 2004. [Google Scholar]
- Tamura, Y. Damping in buildings for wind resistant design. In International Symposium on Wind and Structure for 21st Century; Techno Press: Seoul, Republic of Korea, 1999; pp. 115–129. [Google Scholar]
- Huang, J.; Gu, M. Blockage effect on wind-induced response of single rectangular high-rise building in uniform flow. Build. Struct. 2015, 45, 63–69. (In Chinese) [Google Scholar]
- Li, Q.S.; Yang, K.; Wong, C.K.; Jeary, A.P. The effect of amplitude-dependent damping on wind-induced vibrations of a super tall building. J. Wind Eng. Ind. Aerodyn. 2003, 91, 1175–1198. [Google Scholar] [CrossRef]
- Li, Q.S.; Zhi, L.H.; Tuan, A.Y.; Kao, C.S.; Su, S.C.; Wu, C.F. Dynamic behavior of Taipei 101 tower: Field measurement and numerical analysis. J. Struct. Eng. 2011, 137, 143–155. [Google Scholar] [CrossRef]
- Li, Q.S.; Wu, J.R. Time-frequency analysis of typhoon effects on a 79-storey tall building. J. Wind Eng. Ind. Aerodyn. 2007, 95, 1648–1666. [Google Scholar] [CrossRef]
- Yi, J.; Zhang, J.W.; Li, Q.S. Dynamic characteristics and wind-induced responses of a super-tall building during typhoons. J. Wind Eng. Ind. Aerodyn. 2013, 121, 116–130. [Google Scholar] [CrossRef]
- JGJ3-2010; Technical Specification for Concrete Structures of Tall Building. China Architecture and Building Press: Beijing, China, 2010.






















| Wind Load Direction | ||||||||
|---|---|---|---|---|---|---|---|---|
| 0.100 | 0.125 | 0.150 | 0.175 | 0.200 | 0.225 | 0.250 | ||
| along-wind | 5% | 1.095 | 1.249 | 0.994 | 1.179 | 1.097 | 1.063 | 0.701 |
| 10% | 1.169 | 1.336 | 1.314 | 1.116 | 1.089 | 1.475 | 0.826 | |
| 15% | 0.941 | 1.005 | 0.644 | 0.955 | 0.753 | 0.953 | 0.519 | |
| 20% | 0.759 | 0.796 | 0.524 | 0.621 | 0.831 | 0.592 | 0.617 | |
| across-wind | 5% | 0.340 | 2.230 | 3.345 | 2.617 | 0.827 | 1.656 | 1.049 |
| 10% | 0.118 | 1.895 | 6.983 | 3.116 | 2.304 | 3.011 | 1.529 | |
| 15% | 0.126 | 4.105 | 3.522 | 2.728 | 1.452 | 2.508 | 1.559 | |
| 20% | 0.070 | 1.275 | 1.779 | 1.352 | 0.958 | 1.907 | 1.489 | |
Publisher’s Note: MDPI stays neutral with regard to jurisdictional claims in published maps and institutional affiliations. |
© 2022 by the authors. Licensee MDPI, Basel, Switzerland. This article is an open access article distributed under the terms and conditions of the Creative Commons Attribution (CC BY) license (https://creativecommons.org/licenses/by/4.0/).
Share and Cite
Li, Y.; Yin, J.; Zhang, Y. Effects of Corner Set−Backs on Wind Loads and Wind Induced Responses of Rectangular Tall Buildings. Appl. Sci. 2022, 12, 12742. https://doi.org/10.3390/app122412742
Li Y, Yin J, Zhang Y. Effects of Corner Set−Backs on Wind Loads and Wind Induced Responses of Rectangular Tall Buildings. Applied Sciences. 2022; 12(24):12742. https://doi.org/10.3390/app122412742
Chicago/Turabian StyleLi, Yi, Jieting Yin, and Yan Zhang. 2022. "Effects of Corner Set−Backs on Wind Loads and Wind Induced Responses of Rectangular Tall Buildings" Applied Sciences 12, no. 24: 12742. https://doi.org/10.3390/app122412742
APA StyleLi, Y., Yin, J., & Zhang, Y. (2022). Effects of Corner Set−Backs on Wind Loads and Wind Induced Responses of Rectangular Tall Buildings. Applied Sciences, 12(24), 12742. https://doi.org/10.3390/app122412742
