Next Article in Journal
Ensemble Learning of Multiple Deep CNNs Using Accuracy-Based Weighted Voting for ASL Recognition
Next Article in Special Issue
Correction: Swiatla-Wojcik, D. A Numerical Simulation of Radiation Chemistry for Controlling the Oxidising Environment in Water-Cooled Nuclear Power Reactors. Appl. Sci. 2022, 12, 947
Previous Article in Journal
DACSR: Decoupled-Aggregated End-to-End Calibrated Sequential Recommendation
Previous Article in Special Issue
Cationic Curing of Epoxy–Aromatic Matrices for Advanced Composites: The Assets of Radiation Processing
 
 
Font Type:
Arial Georgia Verdana
Font Size:
Aa Aa Aa
Line Spacing:
Column Width:
Background:
Article

Dual Stimuli-Responsive Polysaccharide Hydrogels Manufactured by Radiation Technique

1
Institute of Applied Radiation Chemistry, Faculty of Chemistry, Lodz University of Technology, 93-590 Lodz, Poland
2
Dipartimento di Ingegneria, Università degli Studi di Palermo, 90128 Palermo, Italy
*
Author to whom correspondence should be addressed.
Appl. Sci. 2022, 12(22), 11764; https://doi.org/10.3390/app122211764
Submission received: 11 October 2022 / Revised: 14 November 2022 / Accepted: 16 November 2022 / Published: 19 November 2022
(This article belongs to the Special Issue Applied Radiation Chemistry: Theory, Methods and Applications)

Abstract

Featured Application

Stimuli-responsive hydrogels encompassing biobased polymers are anticipated for utilization in various fields, starting from drug delivery systems through temporal actuators and water reservoirs to biodegradable microelements and nutrient delivery depots.

Abstract

This paper describes the results of the radiation-induced crosslinking of polysaccharides modified with hydroxypropyl and carboxymethyl functional groups, hydroxypropylcellulose (HPC) and carboxymethylcellulose (CMC), respectively, without and with poly(ethylene glycol) diacrylate (PEGDA) as a crosslinking agent, to obtain dual stimuli-responsive hydrogels. The gels were characterized in terms of water uptake and gel fraction, parameters that mainly depend on the HPC–CMC compositions, but also on the macromer crosslinker content and the absorbed dose. The swelling of hydrogels is controlled by both the temperature, due to the amphiphilic character of HPC and pH, due to the anionic functional groups of CMC. In spite of a similar degree of substitution in both cellulose derivatives, 1.4 for HPC and 1.2 for CMC, the pH response of hydrogels with an equal content of both polysaccharides is considerably higher—a reduction in swelling of up to 95% with a decrease in the pH to 2 was recorded—than the response to thermal-stimulus—wherein a reduction in swelling of less than 70% with an increasing in temperature to 55 °C was found. These biopolymers-based hydrogels of specific, stimuli-responsive swelling properties are anticipated in applications where a combination of two stimuli is essential and biodegradation may be required.

1. Introduction

Hydrogels are the three-dimensional structures of crosslinked polymer(s) and water, where both components form interpenetrating continuous phases. The polymer network is responsible for maintaining dimensional integrity and mechanical properties, whereas the liquid phase provides a medium for diffusion and greatly contributes to the biological compatibility of hydrogels [1,2]. Originally, hydrogels have been formed from hydrophilic synthetic polymers, but nowadays, nature-originated macromolecules are often involved.
The formation and stabilization of the network may be of two kinds, i.e., physical interaction, such as ionic or hydrophobic, or chemical covalent bonding, e.g., the most common carbon–carbon bonds. The gels driven by the former are reversible, i.e., they may change into solution, or sol, upon the alteration of physical factors, e.g., pH or temperature, whereas the latter ones may not transit into sol unless some covalent bonds are ruptured, which is why they are called chemical gels. Typically, chemical hydrogels are prepared by the crosslinking polymerization of suitable mono- and multifunctional monomers or by the crosslinking of hydrophilic polymers using chemical crosslinkers, photocrosslinkers, or ionizing radiation. Some other methods are infrequently employed and only for specific applications, e.g., using enzymes. Particularly, the synthesis of hydrogels for biomedical applications using radiation technology was successfully developed and commercialized. Undoubtedly, manufacturing hydrogels using radiation has a weighty advantage, since this technology may combine synthesis and sterilization in a single process [3].
With regard to the application of radiation technology for gels manufacturing, hydrophilic polymers, or alternatively monomers (principally avoided in biomedical applications) are irradiated, typically in aqueous solution, to form a network by crosslinking between chains or by simultaneous polymerization and crosslinking, respectively. Upon irradiation in solution, water radiolysis transient species, especially hydroxyl radicals, react with macromolecules by hydrogen atom abstraction, leading to the formation of polymer radicals. Radicals created at the mainchain or side-groups (if they are present) initiate further chemical reactions, e.g., crosslinking, disproportionation, chain scission, radical shift or addition to the double bonds of other molecules present in the investigated composition. The single-radical reaction of the scission of bonds in the main-chain results in degradation, that is, a reduction in molecular weight, whereas intermolecular crosslinking—involving the recombination of two radicals localized at different macromolecules—contributes to the increase in molecular weight and may eventually lead to the formation of macroscopic gel [4].
A variety of synthetic polymers are applicable for radiation processing, however, some successful trials and examples of gel formation with those of natural origin, particularly polysaccharides and their derivatives, have been reported [5,6]. Basic radiation-induced processes in polysaccharides are fairly well understood, and there is a common agreement that the degradation of the main chain mainly occurs as a consequence of glycosidic linkage scission. This can instantly proceed or be a consequence of the cyclic structure rupture caused by the transformations of radicals created at various locations [7,8,9]. Nevertheless, the application of specific conditions at radiation processing was also demonstrated to induce opposite reactions, leading to the formation of crosslinking bonds. The probability of two competing pathways, that is a shift in the balance between inherently present glycosidic bonds scission and crosslinking, is controlled by various factors chiefly related to the polymer used, the presence of additives, and irradiation conditions. At least five synthesis methods of hydrogels based on polysaccharides can be remarked. Those are: (a) using CCl4 crosslinker in a mixed water–alcohol solvent [10]; (b) using alkyne (gas) as a crosslinking mediator during the irradiation of polysaccharides in solid phase [11]; (c) the irradiation of modified polysaccharides in an aqueous environment, where those substituted moieties or side chains participate in crosslinking [12]; (d) the utilization of crosslinkers—multifunctional monomers or macromers to link the macromolecules [13,14,15]; and (e) the utilization of chemically modified polysaccharides with polymerizable side groups, i.e., having unsaturated bonds [16]. Characteristically, the macroscopic products of (a) and (b) are suspensions—due to a significant increase in polymer molecular weight, without achieving a continuous gel—whilst those of (c)–(e) are firm, continuous gels, typically maintaining spatial integrity.
Hydrogels are used or under development as biomaterials in various medical applications, such as, for instance, wound treatment, including chronic wounds, systems for the delivery of pharmaceuticals and biologically active compounds, scaffolds in tissue engineering and for soft tissue, as well as cartilage and bone defect treatment; the products more often include polysaccharide hydrogels [17,18,19]. The properties of hydrogels chiefly result from used polymers, whilst irradiation conditions and additives may be diverse, and should respond to the requirements of the anticipated application. An interesting feature of some polymers used to construct biomaterials is their stimuli-responsive character. The hydrogels made of such polymers are expected to retain this attribute. One typical example is that of a synthetic, temperature-responsive poly(N-isopropyl acryl amide) (PNIPAAm) with the earliest advanced application for cell-layer engineering [20,21]. Polysaccharides are used in medical applications, including hydrogels, due to their biocompatibility and sometimes unique bioactivity, e.g., the hemostatic and bacteriostatic properties of chitosan [22]. The reports indicate the stimuli-responsive characteristics of polysaccharide-based gels and materials. [23,24].
In this work, the formation and properties of hydrogels made of hydroxypropylcellulose and carboxymethylcellulose and the mixture of these two biopolymers in various compositions, with or without the addition of PEGDA as a crosslinker, were investigated. Hydrogels were produced by irradiating these solutions with accelerated electrons at various doses. The possibility of the crosslinking of various polysaccharides initiated by ionizing radiation has been demonstrated before [6], however, whether combinations of CMC and HPC with the crosslinking agent PEGDA can obtain hydrogels with dual responses to stimuli has not been studied to date. The swelling characteristics in pH and a temperature altering environment were explored.

2. Materials and Methods

The modified polysaccharides used in this research were carboxymethylcellulose (CMC) of Mw = 250 kDa and a degree of substitution 1.2; hydroxypropylcellulose (HPC), Mw = 100 kDa, and a degree of substitution 1.4; the macromer of poly(ethylene glycol) diacrylate (PEGDA) was of Mn = 700 g/mol; all three components were purchased from Sigma-Aldrich (Germany); 1 M hydrochloric acid, 1 M perchloric acid, and 1 M sodium hydroxide were obtained from POCH (Poland). All compounds were used as received.
The hydrogels of HPC and/or CMC were manufactured by radiation method. In order to obtain highly concentrated aqueous solutions of polysaccharides, the weighed amount of the polymer/s was mixed with water, or with PEGDA aqueous solution of a predetermined concentration and left for dissolution and homogenization for two days, with occasional mixing. Alternatively, viscous solutions, which were polysaccharide/s of lower concentrations (2.5 or 5% wt/vol) after mixing with water or PEGDA aqueous solution, were conditioned overnight. If the low pH of the polymeric solution was required, it was prepared by the dissolution of polysaccharide/s in an aqueous solution of perchloric acid of a predetermined concentration to end up with pH 2 of the resulting mixture. The samples for irradiation were heat-sealed in polyethylene bags, impermeable to air, and assured a uniform specimen thickness of ca. 1 mm, which was essential for swelling experiments.
The specimens were exposed to an electron beam (EB) from the ELU-6 linear accelerator of 6 MeV energy. The actual absorbed dose was monitored by B3 WINdose film type dosimeter (GEX Corporation, USA). Applied doses were in the range of 5–100 kGy, and the dose rate was 5 kGy·min−1 ± 10%.
As the polymers irradiated in aqueous solution undergo simultaneous crosslinking and degradation, the polymers comprising the resulting network do not constitute 100% of the polymers used for the preparation of the initial mixture that was subjected for irradiation. A part of the polymer is soluble (sol) and subsequently removed upon extraction. Therefore, the classical method of sol–gel analysis [3] was employed to assess (a) the gel fraction (GF (%)—the crosslinked part, Equation (1)) defined as a dry mass of the sample part that is insoluble upon autoclaving (mg) divided per mass of polymer/s (and PEGDA if used) in the initial mixture (mp); and (b) the equilibrium degree of swelling (EDS (gj/gdry gel), Equation (2)), defined as a ratio of the mass of absorbed water (mw) over the dried mass of the insoluble part (the aforementioned gel mass, mg).
GF = mg/mp × 100%
EDS = mw/mg
The extraction of sol was accomplished by immersing the sample in water (which was regularly exchanged) for a prolonged amount of time—typically up to 7 days, until the hydrogel attained its EDS—and subsequent autoclaving (121 °C, 2 atm, 15 min).
The HPC–CMC hydrogels were investigated in terms of thermo- and pH-responsive swelling. Initially, the gel was swollen for one week in water to remove all soluble parts—non-crosslinked and degraded chains (sol)—and attained EDS, a routine which was applied for all experiments. Then, its response to the temperature was examined—the gel was placed in a water bath at a particular temperature. It was subsequently weighed after 10 min of conditioning and transferred to water with a 5 degree higher temperature, etc. After reaching the highest temperature of 55 °C, the gel was placed in the room-temperature water and conditioned there with occasional weighing, up to 7 days, to record the reswelling. Similarly, the pH response experiment involved the media of various pH, adjusted with HCl and NaOH, to which the gel was consecutively transferred and conditioned 10 min prior to weighing. After the lowest pH of 1.5, the gel was placed in excess water, assuming pH about 7 (water was exchanged occasionally) and the gel was weighed to record the reswelling. The degree of swelling (DS, Equation (1) applies) at each condition was determined as a ratio of water mass to the mass of the dried insoluble part (gel).
The data accompanied with error bars representing the standard deviation resulted from three independent measurements; the data without error bars were produced as the average of two individual measurements.

3. Results

3.1. Hydrogels Formation and Swelling

The formation of HPC and CMC gels can be accomplished by the irradiation of their solutions at high concentration. It was anticipated that the addition of a crosslinker would reduce a dose necessary to create gels and increase the insoluble fraction or gel. Thus, aqueous solutions of two water-soluble polysaccharides at concentrations of 2.5% (only CMC), 5, 10, and 20% (only HPC) were irradiated, also with the addition of the crosslinker. A high dose rate, as provided by electron beam (EB), is advantageous for the creation of HPC gel, whereas CMC gels can be efficiently formed at high or low (1 kGy per hour or less, as delivered by a typical gamma source) dose rate [25,26]. Therefore, in this study, EB was employed as a means of radiation.
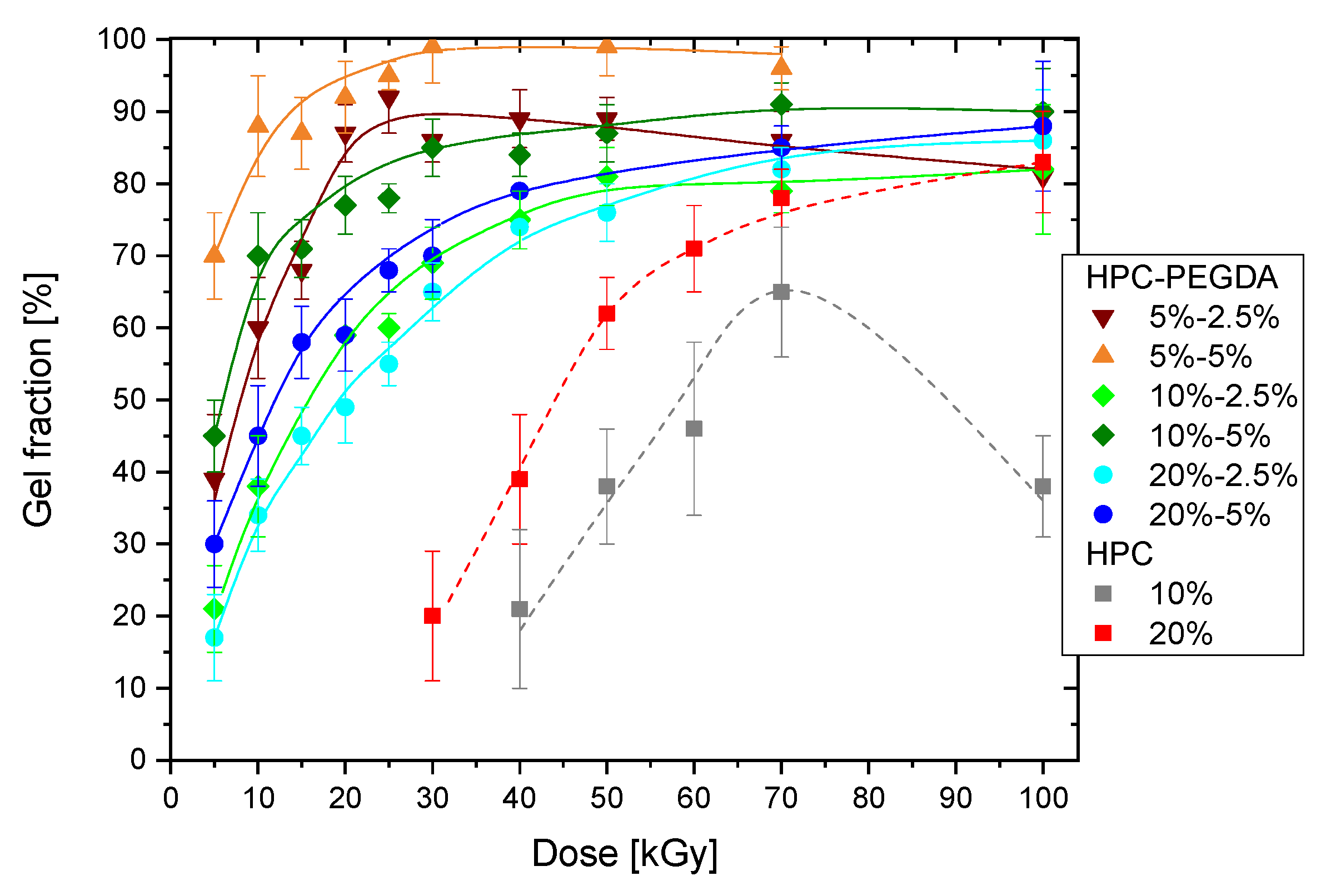
The two bottommost lines in Figure 1 represent the gel fraction (GF) of hydrogels manufactured by the irradiation of HPC aqueous solutions at two concentrations of 10 and 20%. The 10% HPC hydrogels formed with lower doses presented a consistency of soft, shapeless gel; on the contrary, the 20% HPC hydrogels formed with high doses appeared as a single piece or several pieces because of their brittleness, but after immersion in water and swelling, the gels did not maintain their shape and became more like a slurry or mucous. The gel fraction depends on the concentration and absorbed dose factors, and for irradiated solutions of 10 and 20%, it increases with the increasing dose up to maxima of ca. 65 and 80%, respectively. For the solutions of low HPC concentration, the radiation dose at which the first part of a gel can be obtained is higher in comparison to the dose necessary for it to be delivered to highly concentrated solutions to obtain the gel. Moreover, the GF decreases at the highest applied dose of 100 kGy. It is known that HPC may undergo radiation-induced crosslinking, for instance, HPC with a degree of substitution 3.0 forms gels efficiently—up to 90% GF—when irradiated with a high dose rate at a high concentration, with 20% and over. In such a concentrated system, water acts like a plasticizer allowing for chain mobility [26]. A much lower GF was reported for that material processed with gamma rays—with a lower dose rate, ca. 10 kGy/h. Obviously, a lower degree of substitution of HPC (1.4) in this study generally results in lower GF and its decrease at higher doses, despite the fact that the energy for the initiation of reactions was delivered at a high rate.
The mechanism of the crosslinking of polysaccharide derivatives in water, without chemical crosslinkers, is generally known. Upon the radiolysis of water, transient reactive species are formed, namely hydrated electron (eaq), hydrogen atom (H), and hydroxyl radical (HO), along with molecular products which are mainly those of hydrogen peroxide and the hydrogen molecule. These species, mainly hydroxyl radical but also hydrogen atom (produced with lower yield and reacting with the polymer at lower reaction rate), abstract hydrogen atoms from the polymer to form carbon-centered radicals, i.e., macroradical; other reactions also occur. Macroradicals can also be created by the direct action of ionizing radiation, and the ratio of the direct and indirect formation of macroradicals depends on the concentration of the polymer in water, with irradiation conditions, etc. Consecutive one-radical and bi-radical reactions take place resulting, among others, in the two most important macroscopic effects of degradation, namely scission and crosslinking. Scission causes a reduction in molecular weight but its increase is a consequence of crosslinking reactions. Under specific irradiation conditions, intermolecular crosslinking may outweigh the cleavage of glycosidic linkages in the main chain of polysaccharide derivatives. Higher irradiation dose rates are beneficial for the crosslinking of polymers because recombination requires the presence of two radicals at the same time—simultaneously at neighboring chains—and bi-radical reactions are likely possible. This increases the probability that they can recombine to form a crosslink. Conversely, if the radical creation rate is low (and/or their decay is fast), i.e., the temporal number of radicals is low, they rather tend to react by breaking bonds, and then the degradation of polymer chains occurs. In some polymers, the dose rate is a critical factor for crosslinking [5].
The handling and mechanical properties of polysaccharide-based hydrogels may be an issue with regard to applications. The performance of the product could be improved by several approaches, for instance, selecting a proper composition of the admixture of a plasticizer, typically synthetic polymer, and the manufacturing of interpenetrating polymer networks, where one of the components is the polysaccharide and the other is a synthetic polymer, by using the internal (polymerizable side groups) or external crosslinker and/or an application of the most advantageous dose. Moreover, the crosslinking reactions in polysaccharide derivatives are driven by the recombination of side group radicals; therefore, a higher degree of substitution causing an increase in the probability of radical creation at the side groups is advantageous. HPC hydrogels formed from the polysaccharide of the degree of substitution 1.4 change their appearance from their previous shapeless form, through very weak consistency to brittle in the order of an increasing absorbed dose. Therefore, the improvement was proposed by the employment of a crosslinker. It is known that crosslinking agents—typically bi- or multi-functional monomers or macromers, inevitable in chemical methods of crosslinking—may be used in radiation processing in order to reduce the necessary dose or enhance the properties of the resulting modified materials, which are also hydrogels. Nevertheless, one should be aware that some doubts and inconsistencies exist in the literature on the rather of polysaccharides [27].
Poly(ethylene glycol) diacrylate is a water-soluble prepolymer or macromer that undergoes instant polymerization and crosslinking when irradiated in aqueous solution [28]. Upon the consumption of all the double bonds of acrylate, the formed polymer or network lose its toxicity which is characteristic of the PEGDA macromer. Therefore, PEGDA may be used in biomedical applications [29,30,31]. This is in line with the anticipated applications of polysaccharides that are biocompatible and biodegradable. The solutions of HPC and of CMC and subsequently of both polysaccharides were irradiated in the presence of PEGDA to form hydrogels. The GF of HPC-PEGDA gels increases with an increase in the absorbed dose, as depicted in Figure 1. A general feature can be remarked, which is that the more PEGDA there is in the composition, the higher the GF is, e.g., as is evident in a comparison of 2.5% and 5% PEGDA gels for every concentration of HPC. On the other hand, an increase in HPC concentration from 5%, through 10%, and up to 20% reduces the GF. Gels formed in the middle range of the absorbed dose, 20–50 kGy, are relatively strong, easy to handle, and not brittle. The crosslinking of HPC is less efficient than the polymerization and crosslinking of PEGDA, however, HPC undoubtedly contributed to the gel formation—GF is over the minimum of 50 and 20%, respectively, for the HPC/PEGDA initial percentage compositions of 5/5 and 20/5, which are required to confirm the participation of the polysaccharide in the network. This was further demonstrated in thermo-responsive swelling experiments.
Similarly to HPC, concentrated aqueous solutions of carboxymethylcellulose form gels with a yield depending on the concentration and the degree of substitution. This polysaccharide derivative undergoes crosslinking initiated by either the electron beam or gamma rays—with two orders of magnitude difference in the dose rate—with a comparable outcome [25]. According to the available data on the radiation-induced crosslinking of CMC, the polysaccharide with the degree of substitution of 1.32 may form a gel at a concentration of 5% or more [32]. This was also observed in the current study (Figure 2)—the GF of under 35% could be isolated from the gels formed at a relatively high dose, namely 60 kGy and above. However, in an acidic environment, the gel is created from the CMC solution of the respective concentration at a much lower dose (the so-called gelation dose), 20 kGy, and with a relatively high GF. The same characteristic was found for 10% CMC. It is apparent that, for the radical recombination reaction to occur, a high concentration of this polyion is indispensable. Then, the chains interleave or overlap and their physical proximity circumvent the electrostatic repulsion of ionized carboxylate groups. The recombination of CMC macroradicals at a neutral pH is restricted; hence, it is less efficient in competition with the single-radical-initiated scission of glycosidic bonds. This is demonstrated at a low polymer concentration in an irradiated solution [33]. The protonation of carboxylate moieties—which occurs at a low pH—removes the electrostatic barrier, and thus two macroradical reactions are not constrained, and the CMC may intra-molecularly crosslink at an even low concentration. Moreover, when exploring the reasons for more effective macroradical recombination, one may refer to the water radiolysis products dependent on the pH. At a low pH, the eaq reacts with hydronium ions to produce hydrogen atoms (H) [34]. A hydrated electron barely reacts with simple poly-carbohydrates, whereas the hydrogen atom reacts with the polymer in the same manner as the HO, i.e., abstracting the hydrogen to create a macroradical. Consequently, at a low pH, there may be more radicals formed on the polymer chains—as a lower irradiation dose is necessary to attain a similar outcome to that at neutral pH. What is more, due to the abovementioned phenomenon, the temporal concentration of macroradicals may be higher, and this favors biradical reactions, as the crosslinking is. It was reported that for CMC with a high degree of substitution, 2.3, the gel was formed from solutions of concentrations as low as 0.5 and 1% at the dose of <5 kGy [35]. The data in Figure 2 demonstrate that the extent of gel formation from CMC of 1.2 degree of substitution also depends on the pH of the solution.
The radiation processing of CMC aqueous solution in the presence of the crosslinker greatly increases the gel content. The application of the 25 kGy dose results in the GF of over 70% for all samples. A tendency similar to that of HPC is noted, which is that the solutions of a certain concentration of CMC (2.5, 5, or 10%) produces gels with an increasing GF when the PEGDA content increases. If the PEGDA amount is constant, the GF is reduced upon an increase in the polysaccharide content. The explanation is the same as for HPC–PEGDA systems. The decrease in GF at higher doses for lower-PEGDA concentration gels is evidence of the prevailing degradation, which was small but noticeable but also observed in the 5%–2.5% HPC–PEGDA system. The maximum irradiation doses in the experiments did not exceed 100 kGy, however, it is known that for most polymers undergoing radiation-induced simultaneous degradation and crosslinking, the GF does not increase infinitely and eventually decreases at high doses [36]. The possible crosslinking sites are exhausted, or restricted segmental mobility in the network prevents bi-radicals reactions (e.g., recombination); therefore, the insoluble fraction decreases. It is possible that all double bonds of the crosslinker added in 2.5% were used—which was not observed at 10% CMC content—and this may have a positive implication, which is essentially the absence of cytotoxicity. Moreover, a high GF and its stability at doses of 25–40 kGy (such a dose range may be used for simultaneous sterilization) make the hydrogels suitable for prospective biomedical applications.
The exemplary results of the manufacturing of the gels comprising both subject polysaccharides, without the crosslinker, are shown in Figure 3. Hydrogels of 5/5 HPC/CMC are shapeless, with minor GF, which is even smaller than that of 5% CMC gels. This might suggest the better crosslinking ability of CM-substituted cellulose than HPC. Surprisingly, a lower pH does not improve gel forming—the experiment performed with only HPC in acidic solutions resulted in a reduction in the crosslinking ability of this polysaccharide (not shown here). The reasons for these are indeterminate, however, it might be related to the higher hydrophilicity of the ionic polymer than of the iso-propyl oxide pendant groups of HPC. The pH has a positive impact on the gel formation of a higher CMC content—10/10 HPC/CMC solution, when the polyion impact is strong. In general, these gels resemble those of CMC in texture, gel content, and their high swelling ability. Hydrogels with an HPC/CMC ratio of 2:1 possess a comparable, continuously increasing GF through the range of irradiation doses applied. However, making a consistent network with a high gel content requires doses of 100 kGy. As in the previous examples, to reduce the dose and obtain firm gels, the application of the crosslinker was experimented with.
The GF array of HPC–CMC–PEGDA hydrogels, with the same polysaccharide contents and two crosslinker concentrations, is presented in Figure 4. The employment of the lowest irradiation dose of 5 kGy resulted in a GF of up to ca. 25% when 2.5% PEGDA was used, and the GF at the minimum dose was generally higher for gels formed with 5% crosslinker. This tendency is also continued throughout the following irradiation doses, although the insoluble fraction (for instance, 50% indicated in the graphs) increases earlier (at lower doses) for solutions with a higher PEGDA content. Exploring the influence of CMC on the gels, one may compare 2.5 and 5% CMC in the gels formed with 5% HPC for both contents of PEGDA—a higher concentration of CMC results in a higher GF. However, this is exceptional, because in the case of a higher HPC content, especially with a 10/10 polysaccharides ratio, the tendency is not obvious. The general observation is that moderate concentrations of polysaccharides in the triple-component system may be advantageous for obtaining practical gels. At low polysaccharide concentrations, the gels are weak, even at the highest absorbed doses. On the other hand, high polysaccharide concentrations result in gels of satisfactory properties at relatively low doses; nevertheless, they become brittle at the highest ones. It must be noted that high doses are required for such systems, because the unsaturated carbon–carbon bonds present in the crosslinker have to react completely to avoid any toxicity to the resulting hydrogel. The other reason that moderate concentrations are preferred is also straightforward preparation, i.e., the uniform mixing and complete dissolution of the components within reasonable time of 24 h, which is difficult to achieve for systems with high concentrations of macromolecular components. Although there were no direct examinations of gel stability, it may be speculated that they are stable since the autoclaving treatment (for the extraction of sol to evaluate the GF) demonstrated their durability. Moreover, the known features of polysaccharides and gels manufactured with the same method (creating permanent, i.e., covalent bonds linking individual macromolecules) suggest stability [25]. The hydrolysis of polysaccharides proceeds relatively slowly, however, if the medium contains enzymes, particularly cellulases, the degradation is quick [6]. The incorporation of the crosslinker will not change this character, assuming that it is the network of polysaccharide chains connected with the crosslinker, but not the network of PEGDA itself. Nowadays, biodegradation in nature is a desired feature for materials, and hydrogels based on cellulose fulfill this requirement.
The swelling phenomenon is characteristic for hydrogels. This is distinct from the behavior of a linear (or branched) polymer that is not inter-connected and dissolves in water. The spatial distribution of macromolecules dissolved in a good solvent is the same in its whole volume. Whether they fill the volume uniformly at the molecular level depends on the concentration of the polymer, which occurs over the so-called critical concentration; below that, however, polymeric chains, typically free coils, fill the space irregularly, leaving substantial parts of the solvent free of polymer. With reference to hydrogels, swelling leads to an increase in volume uniformly occupied by the polymer, however, it is finite. In general, the chains in the gel relax by absorbing and interacting with the solvent and this process is restricted by the network elasticity or stiffness. The attained balanced state is referred to as the degree of swelling in equilibrium or the equilibrium degree of swelling (EDS) [17]. Therefore, the swollen gel does not uniformly fill the whole volume of the solvent being in excess.
The EDS of individual polysaccharide hydrogels, produced without and with the crosslinker, is shown in Figure 5. All samples display typical behavior for hydrogels produced by the irradiation of polymer solution (this refers to hydrophilic polymers that are of crosslinking types, or simultaneously undergoing crosslinking and scission with a predomination of the former process). The EDS is the highest at the lowest dose and it gradually decreases with an increase in the irradiation dose that the gel was formed with. Upon the formation of the gel, the part of the polymer comprising the network becomes insoluble and absorbs the solvent. At low irradiation doses, but over the gelation dose, the crosslinking density is the smallest, and therefore water uptake by scarcely connected macromolecules is the highest—and the network stretches broadly. [37]. The EDS is a few hundred for HPC hydrogels and in the case of CMC even several thousand grams of water per a gram of the polymer constituting the gel. The gel ability for water absorption is driven down as the network density increases due to the formation of more and more crosslinks at higher irradiation doses. Table 1 collates the EDS data of hydrogels manufactured with 25 kGy and with the highest applied dose. In general, CMC gels swell in water more extensively than gels made of non-ionic polysaccharides of the same concentration or rather of the same GF. The swelling of CMC hydrogels is imposed by high hydrophilicity and the electrostatic repulsion of this polyion. On the other hand, it is limited, as in HPC gels, by the crosslinking density and stiffness of the network. Moreover, as can be seen in Figure 5a,c and Figure 6a, the swelling of the gels formed with 100 kGy is higher than those formed with lower doses. This is often observed in polymers that partly degrade, in parallel to crosslink formation, as in polysaccharides. The network becomes looser as the interpolymer linking is already limited by either/or movement restrictions or the consumption of all sites able to crosslink, but the degradation occurs gradually. The HPC–CMC hydrogels with a high polymer content have the lowest swelling at 100 kGy (Figure 6a), however, a preliminary experiment with a high dose of 180 kGy (data not shown) proved the increase in EDS to reach a few hundred.
Typically, the hydrogels of neat HPC and/or CMC, both polysaccharides of medium degree of substitution used in this study, swell extensively without maintaining their original form and the gel fractures into weak pieces. The crosslinker present in the system during irradiation, in addition to inducing gelation at lower doses, greatly reduces EDS. The gels maintain their dimensions—the diameter of round slabs increases moderately but they become thicker—water absorption is essentially reflected in the thickness increase—Figure 6d. In general, the EDS of two polysaccharide gels is reduced as the concentration of PEGDA increases, the examples of which are shown in Figure 6b,c. As indicated in Table 1, a roughly 3-fold smaller EDS was recorded for gels formed with 5% PEGDA than for those formed with 2.5% of the crosslinker. Nevertheless, the high content of polysaccharides in the hydrogels with PEGDA induces higher swelling. This may indicate lower the crosslinking density of the network: polysaccharide scission causes the creation of larger voids as compared to the network of lower polymer content. Moreover, the involvement of a highly hydrophilic character due to the hydroxyls and carboxyls of cellulose itself and the substituent groups enhances the water uptake.
Using various compositions of the initial mixture to be irradiated, one can design the swelling extent of the resulting hydrogels. The absorbed dose is the other factor controlling EDS. Furthermore, the gels made of stimuli-responsive polymers displaying variation in chain conformation due to environment changes should preserve that feature when crosslinked.

3.2. Stimuli-Responsive Swelling

Thermo-reversible swelling of HPC-containing hydrogels was investigated. Figure 7a,b show the dependence on the temperature, from 25 to 55 °C of the DS of hydrogels formed from 20% HPC solution. Typically, hydrogels manufactured with various radiation doses present different initial degree of swelling (here, EDS) at ambient temperature, which are approximately 85 and 21 g/g at 50 kGy and 100 kGy, respectively. The degree of swelling for both hydrogels decreases with an increase in temperature, to approximately 19 g/g (reduction of ca. 78%) and 6.6 g/g (ca. 69%) for the gels manufactured with lower and higher irradiation doses, respectively. When the temperature increases, the hydrophobic interactions between the hydrophobic moieties of a polymer displaying a lower critical solution temperature (LCST) prevail over the hydrophilic ones and consequently, the hydrogel will shrink or collapse [38]. The hydrogel manufactured with 100 kGy is fully reversible, and it returns back to the initial DS upon temperature decrease (compare red triangles here and afterwards). The hydrogel produced with 50 kGy returned back to its original mass, over 80 g/g, after 7 days at room temperature (not shown). This means that hydrophobic interaction becomes strong enough to expel free water out of the network within minutes upon increasing the temperature, however, relaxing the gel after returning to room temperature, when hydrophilic groups take control by binding water, requires a longer amount of time. Besides the polymer nature, the relaxation time depends on the network density, and is controlled by the maximum amount of water to be absorbed. However, the swollen/shrunk ratio is only a little less than that for the 100 kGy gel, however, what makes the difference is the amount of water to be absorbed—whilst the EDS factor for 50/100 kGy is 4. This and the following changes in swelling are collected in Table 2.
Hydrogels comprising 10 and 20% HPC and 2.5 and 5% PEGDA, respectively, manufactured at doses of 50 and at 100 kGy, were also examined. Figure 7c,d show the swelling dependence on the temperature of 20% HPC—PEGDA hydrogels. As previously noted, an increase in PEGDA concentration results in a reduction in water uptake, however, the thermal response does not differ significantly. At room temperature, the EDS is approximately 19 and 17 g/g—which changes to approximately 5.3 (72%) and 5.8 g/g (66%), respectively, at 55 °C. As mentioned above, the transition is slightly bigger for the gel without PEGDA (Figure 7a), obviously due to a significantly higher DS, resulting from the lower crosslinking density. As for the 20% HPC hydrogel manufactured with 50 kGy, the networks with PEGDA are fully reversible after 2 and 3 days. The EDS of 10% HPC hydrogels is approximately 140 g/g (data not shown), 26 and 14 g/g for the composition without and containing 2.5 and 5% PEGDA, respectively (Figure 7e,f). Consequently, the DS decreases with an increase in temperature, respectively, for PEGDA containing compositions of approximately 6.9 and 4.5 g/g (a reduction of ca. 70% for both). HPC gel without the crosslinker was somewhat difficult to evaluate in this experiment involving multiple weighting, which is due to very low gel fraction. The 10% HPC hydrogels with 2.5 and 5% PEGDA are fully reversible after a few days.
Although the swelling of HPC hydrogels is reduced upon the temperature increase in a continuous manner, in either case, the biggest change may be observed over 45 °C, which is higher than the LCST of this polymer between 35 and 40 °C. The LCST of HPC slightly depends on the degree of substitution [39]. The temperature of conformation change as a function of the substitution degree should also be reflected in the DS of the respective HPC hydrogels. For instance, hydrogels manufactured from HPC of a degree of molecular substitution of 3 (more than twice of the HPC used in this work) in 20% solution with 80 kGy displayed thermoreversible swelling from ca. 17 to ca. 2.5 g/g—representing a reduction of 85% [26]. This is higher than most of the DS changes of hydrogels in this work, particularly those formed with high irradiation dose, as in the abovementioned reference. The peak transition at a higher temperature might have resulted from the size of hydrogel specimens. They were circular slabs with an initial thickness of ca. 1 mm, which could be too big for instant diffusion towards the surface and gel shrinking within a short time of 10 min of incubation at each specific temperature. The swelling kinetics partially depends on the dimensions of the sample, so in these semi-stationary experiments, the gel size exerted its impact.
The hydrogels of HPC–CMC composition were expected to demonstrate dual thermo-responsive and pH swelling. Initially, the temperature response was investigated. At room temperature, the hydrogels of mixed composition present different swelling, which is controlled by the dose and by the presence of the crosslinker, as demonstrated earlier. The EDS of 5/5 HPC/HPC is approximately 210 and 50 g/g for gels produced by irradiation with 50 kGy of polysaccharides solution containing 2.5 and 5% PEGDA, respectively. The DS of the former decreases nearly constantly to approximately 133 g/g (33%) with an increase in temperature from 25 to 55 °C, as shown in Figure 8a. In order to induce higher thermo-responsiveness and reduce EDS, making the gels more firm (these are practical aspects), the hydrogels with a lower content of CMC (2.5%) and an increased PEGDA content of 5% produced with two doses were examined. As shown in Figure 8b,c, the initial EDS of approximately 56 and 42 g/g (gels formed with 25 and 50 kGy, respectively) decreased to ca. 32 and 25 g/g at 55 °C (reductions of over 40% for both). Additionally, in this case, there is a continuous decrease in DS in function of the temperature. The HPC containing hydrogels did not instantly increase their mass upon temperature decrease, however, because the large EDS observed at room temperature, they could nearly return to their initial DS in 7 days. There is an influence of the CMC co-component that combined with the PEGDA crosslinker to reduce the thermo-responsiveness driven by the HPC temperature-sensitive polymer.
Upon irradiation, aqueous carboxymethylcellulose solutions generate anionic hydrogels, which are pH-responsive. These deprotonate and swell extensively when the external pH is about and above the pKa of carboxyl groups. This somewhat depends on the substitution degree of CMC, but generally is above pH 4. However, at a pH below 3.5, a considerable number of carboxyls are ionized in their stationary state [40]. Therefore, investigations of the pH dependence of gels were conducted in a wide pH range from ca. 7 down to 1.5. The pH-sensitive swelling of—and an influence of the ionic strength on—CMC hydrogels synthesized by either classical chemical methods and with radiation technique has been reported [41,42]. Nevertheless, investigations have covered different CMCs in terms of molecular weight or degree of substitution, so in order to compare the swelling properties of mixed, i.e., two polysaccharide hydrogels, to those of the sole one, the actual CMC was examined. Additionally, the macromer crosslinker and the dose factors do influence the properties. The current examples in Figure 9a,c show the pH-driven changes in the DS of CMC gels formed with 2.5% crosslinker by irradiation with 25 kGy. The DS of 2.5, 5, and 10% CMC gels decreases, respectively, from ca. 52, 120, and 150 g/g of 67, 83, and 87% upon lowering the pH to below 2. Thus, as one might have expected, the pH responsivity of CMC hydrogels is large, and dependent on the CMC concentration. Additionally, the increase in the amount of crosslinker to 5% reduced the EDS to ca. 28 g/g (Figure 9d), but did not change the pH response compared to the aforementioned 2.5% CMC gels, which is unapparent in the view of the following findings. Accordingly, the effect of PEGDA crosslinker on 5% CMC hydrogels formed with 50 kGy is significant, as shown in Figure 10a,b. The DS changes from the initial EDS of ca. 207 and 52 g/g of ca. 78 and 67%, respectively, for 2.5 and 5% PEGDA. This is obviously due to the higher crosslinking density and lower initial EDS at pH 7. Additionally, despite the same amount of CMC in the starting mixture before irradiation, the number of carboxyl moieties in the gel might slightly differ as some uncrosslinked or degraded fragments of chains were extracted beforehand.
As demonstrated above, in the double polysaccharide gels, the EDS greatly depends on the HPC content, and the data in Figure 11 show that the HPC also influences the pH responsivity. For hydrogels of 5/5 CMC/PEGDA formed with 25 kGy, the initial EDS is ca. 63, 69, and 84 g/g, and the DS change is of approximately 76, 72, and 62%, dependently on the HPC concentration, and 0, 5, and 10% HPC, respectively. As the second polysaccharide concentration rises, in addition to the network being looser, the molar number of the carboxyl moieties is lower, and consequently, the pH responsivity is reduced. The general observation is that the gels collapsed at a low pH return approximately return to their initial EDS after several days at a neutral pH.
The summary of swelling variation as a function of either temperature or pH of HPC/CMC gels is presented in Table 2. Typically, the EDS at room temperature and in the neutral pH depends on the composition, foremost on the crosslinker content, and the absorbed dose. The hydrogels comprising the anionic CMC, formed with or without the crosslinking agent, significantly reduce their volume/mass upon the decrease in the pH of the swelling medium. The presence of HPC as a co-component somewhat alters the pH-responsive character of the gels, but renders the material temperature sensitive. Therefore, the hydrogels display double-stimuli responsive characteristics. Analogous systems were chemically synthesized using CMC and a synthetic polymer of PNIPAAm as interpenetrating polymer networks to be used for drug delivery [43]. Those gels responded to the temperature by 20–50% with the peak transition characteristic to PNIPAAm at 34–37 °C or at lower temperature that depended on the gel composition and the pH of the medium. In current studies, deswelling in response to decreasing pH is greater than that in response to the increasing temperature, assuming a similar molar content of side groups, carboxyl and 2-hydroxypropyl, which provide the polysaccharide with an ionic and amphiphilic character. For instance, for the gel of 10/2.5/5 HPC/CMC/PEGDA (Table 2) formed with 25 kGy, the DS change is ca. 32% and 51% as a response to the temperature and pH change, respectively. Note that this was observed despite a molar ratio of carboxyl groups in CMC of approximately one to four with respect to the side chain substituents in HPC. Equimolar amount of the side groups in gels formed with 5/5 HPC/CMC with 2.5% crosslinker, and resulted in a decrease in DS of ca. 36% and 78% upon increasing the temperature and lowering the pH, respectively, demonstrating the advantage of pH-responsive swelling.

4. Conclusions

The formation of networks from natural or semi-synthetic polymers is not straightforward, particularly when chemical initiation may be unacceptable, e.g., due to restrictions in the use of initiators that may limit biomedical applications, or the use of high temperatures that may cause the decomposition of thermolabile drugs or, more generally, biologically active compounds to be incorporated in situ into the matrix. In this work, it was demonstrated that the use of ionizing radiation to induce crosslinking reactions in polysaccharide derivatives in order to produce functional materials is possible with some prerequisites. Since polysaccharide-only gels (alone) are weak with extensive swelling, the efficient compensation of polysaccharide degradation reactions and increased network density were achieved with a PEGDA crosslinker, the use of which is known to be acceptable in biomaterials.
The combination of temperature and pH-stimuli-responsive polymers resulted in hydrogels of dual-stimuli-responsive properties, the extent of which depends on the HPC/CMC ratio in the gel. In general, despite the almost equal degree of substitution in HPC and CMC, gels with the same content of both cellulose derivatives are significantly more sensitive to pH changes than to temperature changes. Electrostatic repulsion causes the ionized CMC to swell significantly, however, with the neutralization of the carboxylate groups, the elastic recoil of the chains is no longer counterbalanced and the network contracts. If temperature-responsiveness is also desired for the envisaged application, it is necessary to use a higher concentration of the temperature-sensitive component in the blend or to use HPC with a substantially higher degree of substitution than that of CMC to achieve the same level of responsiveness as to the change in pH. Last but not least, the radiation doses applicable for the synthesis of HPC/CMC with PEGDA are within the typical sterilization range of 20–40 kGy, which may be beneficial for the designing of a technological process in which network synthesis and sterilization are accomplished in one step.

Author Contributions

Conceptualization, R.A.W.; methodology, R.A.W.; investigation, G.P., A.A.-W., B.R., A.K.O. and R.A.W.; writing—original draft preparation, R.A.W.; writing—review and editing, R.A.W., A.A.-W., C.D. and P.U.; visualization, R.A.W. and A.A.-W.; supervision, R.A.W., C.D. and P.U.; funding acquisition, P.U. All authors have read and agreed to the published version of the manuscript.

Funding

This work was partially supported by the International Atomic Energy Agency (IAEA) CRP F23035, Radiation Effect on Polymer Materials Commonly Used in Medical Devices.

Data Availability Statement

The data presented in this study are available upon request from the corresponding author.

Conflicts of Interest

The authors declare no conflict of interest.

References

  1. Hoffman, A.S. Hydrogels for biomedical applications. Adv. Drug Deliv. Rev. 2002, 54, 3–12. [Google Scholar] [CrossRef]
  2. Peppas, N.A.; Bures, P.; Leobandung, W.; Ichikawa, H. Hydrogels in pharmaceutical formulations. Eur. J. Pharm. Biopharm. 2000, 50, 27–46. [Google Scholar] [CrossRef]
  3. Rosiak, J.M.; Ulanski, P. Synthesis of hydrogels by irradiation of polymers in aqueous solution. Radiat. Phys. Chem. 1999, 55, 139–151. [Google Scholar] [CrossRef]
  4. Coqueret, S.; Sabharwal, H.M.D.; Zaman, K.; Czechowska-Biskup, R.; Wach, R.A.; Rosiak, J.M.; Ulanski, P.; Gulrez, S.K.H.; Al-Assaf, S. Introduction to the Radiation Chemistry of Polymers. In The Radiation Chemistry of Polysaccharides; Al-Assaf, S., Coqueret, X., Dahlan, K.M., Sen, M., Ulanski, P., Eds.; International Atomic Energy Agency: Vienna, Austria, 2016; pp. 25–76. ISBN 978-92-0-101516-7. [Google Scholar]
  5. Al-Assaf, S.; Gulrez, S.K.H.; Czechowska-Biskup, R.; Wach, R.A.; Rosiak, J.M.; Ulanski, P. Radiation modification of polysaccharides. In The Radiation Chemistry of Polysaccharides; Al-Assaf, S., Coqueret, X., Dahlan, K.M., Sen, M., Ulanski, P., Eds.; International Atomic Energy Agency: Vienna, Austria, 2016; pp. 77–116. ISBN 978-92-0-101516-7. [Google Scholar]
  6. Yoshii, F.; Zhao, L.; Wach, R.A.; Nagasawa, N.; Mitomo, H.; Kume, T. Hydrogels of polysaccharide derivatives crosslinked with irradiation at paste-like condition. Nucl. Instr. Meth. B 2003, 208, 320–324. [Google Scholar] [CrossRef]
  7. von Sonntag, C. The Chemical Basis of Radiation Biology; Taylor and Francis: London, UK, 1987. [Google Scholar]
  8. Ershov, B.G. Radiation-chemical degradation of cellulose and other polysaccharides. Russ. Chem. Rev. 1998, 67, 315–334. [Google Scholar] [CrossRef]
  9. Huang, L.; Zhai, M.; Peng, J.; Li, J.; Wei, G. Radiation-induced degradation of carboxymethylated chitosan in aqueous solution. Carbohydr. Polym. 2007, 67, 305–312. [Google Scholar] [CrossRef]
  10. Ramnami, S.P.; Chaudhari, C.V.; Patil, N.D.; Sabhawal, S. Synthesis and characterization of crosslinked chitosan formed by gamma irradiation in the presence of carbon-tetrachloride as a sensitizer. J. Polym. Sci. Pol. Chem. 2004, 42, 3897–3909. [Google Scholar] [CrossRef]
  11. Phillips, G.O.; Plessis, T.A.D.; AL-Assaf, S.; Williams, P.A. Biopolymers Obtained by Solid State Irradiation in an Unsaturated Gaseous Atmosphere. U.S. Patent 6,610,810, 26 August 2003. [Google Scholar]
  12. Wach, R.A.; Kudoh, H.; Zhai, M.; Nagasawa, N.; Muroya, Y.; Yoshii, F.; Katsumura, Y. Rate constants of reactions of carboxymethylcellulose with hydroxyl radical, hydrated electron and the decay of CMC macroradicals. A Pulse radiolysis study. Polymer 2004, 45, 8165–8171. [Google Scholar] [CrossRef]
  13. Paparella, A.; Park, K. Synthesis of polysaccharide chemical gels by gamma-ray irradiation. ACS Symp. Ser. 1996, 620, 180–187. [Google Scholar]
  14. Czechowska-Biskup, R.; Wach, R.A.; Stojek, P.; Kamińska, M.; Rosiak, J.M.; Ulański, P. Synthesis of chitosan and carboxymethyl chitosan hydrogels by electron beam irradiation. Prog. Chem. Appl. Chitin Deriv. 2016, 21, 27–45. [Google Scholar] [CrossRef]
  15. Fekete, T.; Borsa, J.; Takács, E.; Wojnárovits, L. Synthesis of cellulose-based superabsorbent hydrogels by high-energy irradiation in the presence of crosslinking agent. Radiat. Phys. Chem. 2016, 118, 114–119. [Google Scholar] [CrossRef]
  16. Szafulera, K.; Wach, R.A.; Olejnik, A.K.; Rosiak, J.M.; Ulanski, P. Radiation synthesis of biocompatible hydrogels of dextran methacrylate. Radiat. Phys. Chem. 2018, 142, 115–120. [Google Scholar] [CrossRef]
  17. Peppas, N.A. Hydrogels in Medicine and Pharmacy; CRC Press: Boca Raton, FL, USA, 1987. [Google Scholar]
  18. Kopecek, J. Hydrogel biomaterials: A smart future? Biomaterials 2007, 28, 5185–5192. [Google Scholar] [CrossRef] [PubMed]
  19. Chang, C.; Zhang, L. Cellulose-based hydrogels: Present status and application prospects. Carbohydr. Polym. 2011, 84, 40–53. [Google Scholar] [CrossRef]
  20. Komasa, J.; Miłek, A.; Ulański, P.; Rosiak, J.M. Radiation grafting of oligo(ethylene glycol) ethyl ether methacrylate on polypropylene. Radiat. Phys. Chem. 2014, 94, 137–140. [Google Scholar] [CrossRef]
  21. Akiyama, Y.; Kikuchi, A.; Yamato, M.; Okano, T. Ultrathin poly(N-isopropylacrylamide) grafted layer on polystyrene surfaces for cell adhesion/detachment control. Langmuir 2004, 20, 5506–5511. [Google Scholar] [CrossRef]
  22. Mozalewska, W.; Czechowska-Biskup, R.; Olejnik, A.K.; Wach, R.A.; Ulański, P.; Rosiak, J.M. Chitosan-containing hydrogel wound dressings prepared by radiation technique. Radiat. Phys. Chem. 2017, 134, 1–7. [Google Scholar] [CrossRef]
  23. Zhao, L.; Mitomo, H.; Nagasawa, N.; Yoshii, F.; Kume, T. Radiation synthesis and characteristic of the hydrogels based on carboxymethylated chitin derivatives. Carbohydr. Polym. 2003, 51, 169–175. [Google Scholar] [CrossRef]
  24. Yang, Y.-S.; Zhou, Y.; Chiang, F.B.Y.; Long, Y. Temperature-responsive hydroxypropylcellulose based thermochromic material and its smart window application. RCS Adv. 2016, 6, 61449–61453. [Google Scholar] [CrossRef]
  25. Wach, R.A.; Mitomo, H.; Yoshii, F.; Kume, T. Hydrogel of biodegradable cellulose derivatives. II. Effect of some factors on radiation-induced crosslinking of CMC. J. Appl. Polym. Sci. 2001, 81, 3030–3037. [Google Scholar] [CrossRef]
  26. Wach, R.A.; Mitomo, H.; Yoshii, F.; Kume, T. Hydrogel of radiation-induced cross-linked hydroxypropylcellulose. Macromol. Mater. Eng. 2002, 287, 285–295. [Google Scholar] [CrossRef]
  27. Makuuchi, K. Critical review of radiation processing of hydrogel and polysaccharide. Radiat. Phys. Chem. 2010, 79, 267–271. [Google Scholar] [CrossRef]
  28. Kozicki, M.; Kujawa, P.; Rosiak, J.M. Pulse radiolysis study of diacrylate macromonomer in aqueous solution. Radiat. Phys. Chem. 2002, 65, 133–139. [Google Scholar] [CrossRef]
  29. Mazzoccoli, J.P.; Feke, D.L.; Baskaran, H.; Pintauro, P.N. Mechanical and cell viability properties of crosslinked low- and high-molecular weight poly(ethylene glycol) diacrylate blends. J. Biomed. Mater. Res. A 2009, 93, 558–566. [Google Scholar] [CrossRef] [PubMed]
  30. Klosinski, K.K.; Girek, M.; Wach, R.A.; Czechowska-Biskup, R.; Arkuszewski, P.T.; Szymanski, P.B.; Pasieka, Z. Synthesis and potential cytotoxicity evaluation of carboxymethyl chitosan hydrogels. Prog. Chem. Appl. Chitin Deriv. 2017, 22, 82–96. [Google Scholar]
  31. McAvoy, K.; Jones, D.; Thakur, R.R.S. Synthesis and characterisation of photocrosslinked poly(ethylene glycol) diacrylate implants for sustained ocular drug delivery. Pharm. Res. 2018, 35, 36. [Google Scholar] [CrossRef]
  32. Bin, F.; Wach, R.A.; Mitomo, H.; Yoshii, F.; Kume, T. Hydrogel of biodegradable cellulose derivatives. I. Radiation-induced crosslinking of CMC. J. Appl. Polym. Sci. 2000, 78, 278–283. [Google Scholar]
  33. Saiki, S.; Nagasawa, N.; Hiroki, A.; Morishita, N.; Tamada, M.; Kudo, H.; Katsumura, Y. ESR study on radiation-induced radicals in carboxymethylcellulose aqueous solution. Radiat. Phys. Chem. 2011, 80, 149–152. [Google Scholar] [CrossRef]
  34. Hatano, Y.; Katsumura, Y.; Mozumder, A. Charged Particle and Photon Interactions with Matter: Recent Advances, Applications and Interfaces; CRC Press: Boca Raton, Austria, 2010. [Google Scholar]
  35. Wach, R.A.; Rokita, B.; Bartoszek, N.; Katsumura, Y.; Ulanski, P.; Rosiak, J.M. Hydroxyl radical-induced crosslinking and radiation-initiated hydrogel formation in dilute aqueous solutions of carboxymethylcellulose. Carbohydr. Polym. 2014, 112, 412–415. [Google Scholar] [CrossRef]
  36. Wach, R.A.; Mitomo, H.; Nagasawa, N.; Yoshii, F. Radiation cross-linking of methylcellulose and hydroxyethylcellulose in concentrated aqueous solutions. Nucl. Instr. Meth. B 2003, 211, 533–544. [Google Scholar] [CrossRef]
  37. Rosiak, J.M. Hydrogel dressings. In Radiation Effects on Polymers; Clough, R.L., Shalaby, S.W., Eds.; ACS Symp., American Chemical Society: Washington, DC, USA, 1991; pp. 271–299. [Google Scholar]
  38. Onaciu, A.; Munteanu, R.A.; Moldovan, A.I.; Moldovan, C.S.; Berindan-Neagoe, I. Hydrogels based drug delivery synthesis, characterization and administration. Pharmaceutics 2019, 11, 432. [Google Scholar] [CrossRef]
  39. Weißenborn, E.; Braunschweig, B. Hydroxypropyl cellulose as a green polymer for thermo-responsive aqueous foams. Soft Matter 2019, 15, 2876–2883. [Google Scholar] [CrossRef] [PubMed]
  40. Hoogendam, C.W.; de Kreizer, A.; Cohen Stuart, M.A.; Bijsterbosch, B.H.; Smit, J.A.M.; van Dijk, J.A.P.P.; van der Horst, P.M.; Batelaan, J.G. Persistence length of carboxymethyl cellulose as evaluated from size exclusion chromatography and potentiometric titrations. Macromolecules 1998, 31, 6297–6307. [Google Scholar] [CrossRef]
  41. Barbucci, R.; Magnani, A.; Consumi, M. Swelling behavior of carboxymethylcellulose hydrogels in relation to cross-linking, pH, and charge density. Macromolecules 2000, 33, 7475–7480. [Google Scholar] [CrossRef]
  42. Wach, R.A.; Mitomo, H.; Nagasawa, N.; Yoshii, F. Radiation crosslinking of carboxymethylcellulose of various degree of substitution at high concentration in aqueous solutions of natural pH. Radiat. Phys. Chem. 2003, 68, 771–779. [Google Scholar] [CrossRef]
  43. Liu, Z.; Zhang, S.; Gao, C.; Meng, X.; Wang, S.; Kong, F. Temperature/pH-responsive carboxymethyl cellulose/poly (N-isopropyl acrylamide) interpenetrating polymer network aerogels for drug delivery systems. Polymers 2022, 14, 1578. [Google Scholar] [CrossRef] [PubMed]
Figure 1. The gel fraction of hydrogels manufactured by the irradiation of HPC and HPC–PEGDA in aqueous solutions.
Figure 1. The gel fraction of hydrogels manufactured by the irradiation of HPC and HPC–PEGDA in aqueous solutions.
Applsci 12 11764 g001
Figure 2. Gel fraction of hydrogels manufactured by the irradiation of CMC and CMC–PEGDA in aqueous solutions.
Figure 2. Gel fraction of hydrogels manufactured by the irradiation of CMC and CMC–PEGDA in aqueous solutions.
Applsci 12 11764 g002
Figure 3. Gel fraction of hydrogels manufactured by irradiation of CMC–HPC in aqueous solutions.
Figure 3. Gel fraction of hydrogels manufactured by irradiation of CMC–HPC in aqueous solutions.
Applsci 12 11764 g003
Figure 4. Gel fraction of hydrogels manufactured by irradiation of CMC-HPC-PEGDA in aqueous solutions, with a PEGDA concentration of (a) 2.5% and (b) 5%.
Figure 4. Gel fraction of hydrogels manufactured by irradiation of CMC-HPC-PEGDA in aqueous solutions, with a PEGDA concentration of (a) 2.5% and (b) 5%.
Applsci 12 11764 g004
Figure 5. EDS in water of hydrogels manufactured by the irradiation of aqueous solutions of (a) HPC; (b) HPC–PEGDA; (c) CMC formed at two pH; and (d) CMC–PEGDA.
Figure 5. EDS in water of hydrogels manufactured by the irradiation of aqueous solutions of (a) HPC; (b) HPC–PEGDA; (c) CMC formed at two pH; and (d) CMC–PEGDA.
Applsci 12 11764 g005
Figure 6. EDS in the water of hydrogels manufactured by the irradiation of CMC–HPC aqueous solutions (a) without PEGDA and with the crosslinker of (b) 2.5% and (c) 5% concentration, and (d) photographs of CMC hydrogels formed with 50 kGy: swollen without PEGDA and initial and swollen with the crosslinker (the same tray in all pictures).
Figure 6. EDS in the water of hydrogels manufactured by the irradiation of CMC–HPC aqueous solutions (a) without PEGDA and with the crosslinker of (b) 2.5% and (c) 5% concentration, and (d) photographs of CMC hydrogels formed with 50 kGy: swollen without PEGDA and initial and swollen with the crosslinker (the same tray in all pictures).
Applsci 12 11764 g006
Figure 7. Temperature-dependent swelling of HPC hydrogels containing PEGDA; HPC%/PEGDA% composition: (a,b) 20/0; (c) 20/2.5, (d) 20/5, (e) 10/2.5, and (f) 10/5. Gels produced with 50 kGy, except (b): 100 kGy.
Figure 7. Temperature-dependent swelling of HPC hydrogels containing PEGDA; HPC%/PEGDA% composition: (a,b) 20/0; (c) 20/2.5, (d) 20/5, (e) 10/2.5, and (f) 10/5. Gels produced with 50 kGy, except (b): 100 kGy.
Applsci 12 11764 g007
Figure 8. Temperature-depending swelling of 5% HPC hydrogels, containing CMC and the crosslinker; CMC%/PEGDA% composition and dose: (a) 5/2.5, 50 kGy; (b) 2.5/5, 25 kGy; (c) 2.5/5, 50 kGy.
Figure 8. Temperature-depending swelling of 5% HPC hydrogels, containing CMC and the crosslinker; CMC%/PEGDA% composition and dose: (a) 5/2.5, 50 kGy; (b) 2.5/5, 25 kGy; (c) 2.5/5, 50 kGy.
Applsci 12 11764 g008
Figure 9. pH-dependent swelling of CMC hydrogels formed with 25 kGy in the presence of PEGDA; CMC%/PEGDA% content: (a) 2.5/2.5, (b) 5/2.5, (c) 10/2.5, and (d) 2.5/5.
Figure 9. pH-dependent swelling of CMC hydrogels formed with 25 kGy in the presence of PEGDA; CMC%/PEGDA% content: (a) 2.5/2.5, (b) 5/2.5, (c) 10/2.5, and (d) 2.5/5.
Applsci 12 11764 g009
Figure 10. pH-dependent swelling of CMC%/HPC% 5/5 formed with 50 kGy; with PEGDA of (a) 2.5% and (b) 5%.
Figure 10. pH-dependent swelling of CMC%/HPC% 5/5 formed with 50 kGy; with PEGDA of (a) 2.5% and (b) 5%.
Applsci 12 11764 g010
Figure 11. pH-dependent swelling of 5% CMC hydrogels formed with 5% PEGDA, 25 kGy; HPC% content: (a) 0, (b) 5, and (c) 10.
Figure 11. pH-dependent swelling of 5% CMC hydrogels formed with 5% PEGDA, 25 kGy; HPC% content: (a) 0, (b) 5, and (c) 10.
Applsci 12 11764 g011
Table 1. EDS of hydrogels manufactured at two doses of 25 and 100 kGy (pH 2 denotes the acidic character of polymeric solution subjected to irradiation).
Table 1. EDS of hydrogels manufactured at two doses of 25 and 100 kGy (pH 2 denotes the acidic character of polymeric solution subjected to irradiation).
CompositionDoseCompositionDose
2510025100
CMC5%-1100CMC–HPC5%–5%-140
5% pH 2>35004505%–5% pH 2-120
10%>200050010%–10%>2500900
10% pH 2>150025010%–10% pH 21700125
HPC10%-1005%–10%-81
20%3002510%–20%-72
CMC–PEGDA2.5%–2.5%5030CMC–HPC
+ 2.5% PEGDA
2.5%–5%185152
5%–2.5%120802.5%–10%180156
10%–2.5%150805%–5%195148
2.5%–5%28265%–10%205150
5%–5%634010%–5%350220
10%–5%605010%–10%410250
HPC–PEGDA5%–2.5%3214CMC–HPC
+ 5% PEGDA
2.5%–5%4025
10%–2.5%30152.5%–10%5335
20%–2.5%17125%–5%6939
5%–5%19135%–10%8450
10%–5%161210%–5%17595
20%–5%351210%–10%280200
Table 2. Change in DS of the HPC and CMC hydrogels formed with or without PEGDA in response to an increase in temperature (room temperature to 55 °C) or a decrease in pH (7 to 1.5).
Table 2. Change in DS of the HPC and CMC hydrogels formed with or without PEGDA in response to an increase in temperature (room temperature to 55 °C) or a decrease in pH (7 to 1.5).
Hydrogel Composition, %Dose (kGy)DS % Decrease
in Response to Change in
HPCCMCPEGDATemperature pH
02.52.525 67.3
02.5525 71.4
052.525 82.5
05525 76.2
010 *0100 93.2
0102.525 87.3
0102.550 77.5
502.55073.8
5055065.8
52.52.55048.661.0
52.552541.857.9
52.555040.553.8
552.55035.778.3
55525 72.5
55550 67.3
5102.525 89.3
5102.550 86.8
510525 80.0
510550 76.8
1002.55073.8
10055066.9
102.52.55043.661.9
102.552531.650.9
1052.525 84.7
1052.550 65.8
105525 60.7
105550 52.5
1010 *010030.795.2
10102.525 93.0
10102.550 88.8
1010525 88.1
1010550 80.0
20005077.6
200010068.6
2002.55073.7
20055064.7
201009071.082.4
* gels formed at pH 2.
Publisher’s Note: MDPI stays neutral with regard to jurisdictional claims in published maps and institutional affiliations.

Share and Cite

MDPI and ACS Style

Wach, R.A.; Palmeri, G.; Adamus-Wlodarczyk, A.; Rokita, B.; Olejnik, A.K.; Dispenza, C.; Ulanski, P. Dual Stimuli-Responsive Polysaccharide Hydrogels Manufactured by Radiation Technique. Appl. Sci. 2022, 12, 11764. https://doi.org/10.3390/app122211764

AMA Style

Wach RA, Palmeri G, Adamus-Wlodarczyk A, Rokita B, Olejnik AK, Dispenza C, Ulanski P. Dual Stimuli-Responsive Polysaccharide Hydrogels Manufactured by Radiation Technique. Applied Sciences. 2022; 12(22):11764. https://doi.org/10.3390/app122211764

Chicago/Turabian Style

Wach, Radoslaw A., Giorgia Palmeri, Agnieszka Adamus-Wlodarczyk, Bozena Rokita, Alicja K. Olejnik, Clelia Dispenza, and Piotr Ulanski. 2022. "Dual Stimuli-Responsive Polysaccharide Hydrogels Manufactured by Radiation Technique" Applied Sciences 12, no. 22: 11764. https://doi.org/10.3390/app122211764

APA Style

Wach, R. A., Palmeri, G., Adamus-Wlodarczyk, A., Rokita, B., Olejnik, A. K., Dispenza, C., & Ulanski, P. (2022). Dual Stimuli-Responsive Polysaccharide Hydrogels Manufactured by Radiation Technique. Applied Sciences, 12(22), 11764. https://doi.org/10.3390/app122211764

Note that from the first issue of 2016, this journal uses article numbers instead of page numbers. See further details here.

Article Metrics

Back to TopTop