Next Article in Journal
Improved Matching Algorithm with Anchor Argument for Rotate Target Detection
Next Article in Special Issue
Conscious Inhalation Sedation with Nitrous Oxide and Oxygen in Children: A Retrospective Study
Previous Article in Journal
A Simulation and Verification Platform for Avionics Systems Based on Future Airborne Capability Environment Architecture
Previous Article in Special Issue
Oral Appliances for Severe Positional Obstructive Sleep Apnea Syndrome: A Case Report
 
 
Font Type:
Arial Georgia Verdana
Font Size:
Aa Aa Aa
Line Spacing:
Column Width:
Background:
Article

Photobiomodulation to Reduce Orthodontic Treatment Time in Adults: A Historical Prospective Study

1
Department of Clinical Sciences and Stomatology, Polytechnic University of Marche, 60126 Ancona, Italy
2
Department of Clinical Sciences and Translational Medicine, University of Rome “Tor Vergata”, 00133 Rome, Italy
3
Postgraduate School of Oral Surgery, IRCCS Ospedale Galeazzi-Sant’Ambrogio, University of Milan, 20122 Milano, Italy
*
Author to whom correspondence should be addressed.
Appl. Sci. 2022, 12(22), 11532; https://doi.org/10.3390/app122211532
Submission received: 12 October 2022 / Revised: 1 November 2022 / Accepted: 9 November 2022 / Published: 13 November 2022
(This article belongs to the Special Issue Current Advances in Dentistry)

Abstract

Background: Orthodontic treatment in adult patients is hindered by several problems, such as little time for regular dental visits and financial costs. In recent years, photobiomodulation (PBM) has been shown to significantly reduce the duration of orthodontic treatment and significantly increase patient compliance. Objective: This study aimed to investigate the efficacy of PBM in shortening the orthodontic treatment duration in adult patients while ensuring optimal patient compliance. Methods: A total of 170 orthodontic patients with a Little’s irregularity index (LII) ≥ 3 mm treated with Invisalign clear aligners (Align Technology, Santa Clara, CA, USA) were included. The treatment group (PBM) (n = 90 patients) was trained in the use of the OrthopulseTM device (Biolux Research, Vancouver, Canada) according to an application protocol of 5 min per day. The control group (n = 80 patients) was treated with transparent Invisalign® without PBM applications. The LII was measured at a baseline and each aligner change until the end of the treatment when the LII was less than 1 mm. The crowding resolution rate (CRR), expressed in mm/week, and the total treatment time were measured. Results: The alignment rate of the PBM group was significantly higher than that of the control group (0.33 mm/week vs. 0.21 mm/week) with a reduction in the treatment time of 57.5 weeks in the PBM group compared with the control group. Conclusion: The PBM performed with the Orthopulse™ is shown to be an effective and noninvasive technique for accelerating teeth movements and can contribute in a relevant way to increase access to orthodontic treatment by the adult population as well as increase its compliance.

1. Introduction

In recent years, the interest in orthodontic treatment has increased among adults, bringing increasing requests for rapid, effective, safe, noninvasive, and aesthetic acceptable treatments. Among these requests, the duration of orthodontic treatment, which averages between 19 and 28 months [1], is still a major obstacle to the orthodontic approach in adulthood so that it negatively affects treatment compliance, thereby reducing treatment effectiveness. Furthermore, in the last three years, the recent COVID-19 pandemic has severely limited the ability to commute to the dental clinic and undergo regular orthodontic treatment and exacerbated the financial problems associated with dental treatment [2,3,4,5,6]. Therefore, the clinician is often forced to accept the trade-off of shortening orthodontic treatment times at the expense of the long-term stability of the achieved result [7]. According to Huang et al., shortening the treatment duration would result in reducing or even preventing treatment-related side effects, such as gingivitis, caries, and root resorption [8]. Therefore, to consistently shorten the treatment duration, it is necessary to accelerate tooth movement by increasing the movement speed without the risk of reducing the effectiveness of the treatment.
To date, various systems have been tested to achieve this goal, with some being more invasive than others. Surgical approaches have gained acceptance over the years and have had a positive effect on shortening the time. According to a 2014 review by Hoogeveen, these surgical approaches achieve time savings of 30 to 70% compared with conventional techniques without increasing the risk of loss of periodontal support, pulp necrosis, and periodontal resorption compared with these techniques. However, considering the appointments scheduled for the procedure and the healing time required, as well as the invasiveness, patient discomfort, and low compliance due to the procedure, some doubts remain about the actual time savings. In addition, the need for frequent and repeated dental appointments, as well as appropriate surgical instruments and trained personnel, make surgical orthodontic treatment unattractive to patients and therefore perceived as lengthy, difficult, and painful, requiring constant visits to the dental office [9]. Nonsurgical approaches such as the use of drugs by local injection to accelerate the orthodontic treatment have been studied mainly in animals, with unsatisfactory results, as these substances also have long-term systemic side effects [10]. The use of numerous substances has been proposed, such as epidermal growth factor (EGF) [11,12], parathyroid hormone (PTH) [13,14], vitamin D3 [15], L-thyroxine [16], osteocalcin [17], relaxin [18,19], prostaglandins [20], and autologous platelet-rich plasma (PRP) [21]. However, studies are limited, protocols are unclear, and given the side effects these agents cause, they are difficult to translate to humans; therefore, their systematic use in orthodontics aimed only at reducing the treatment duration cannot be justified [15]. In the last decade, physical systems have been studied for the application of orthodontic forces that cause bending of the bone and consequently the development of a bioelectric potential [15]. Promising histological results were shown by Nishimura et al. (2008), who tested resonant vibration stimulation (60 Hz, 1.0 m/s2) on the first molars of 6-week-old male Wistar rats using a stress loading vibration system for 8 min on days 0, 7, and 14 during orthodontic tooth movement, compared with a control group exposed to an expansion spring alone for 21 days [22]. Ultrasonic vibration, routinely used in muscle physiology to increase blood flow, has been proposed for orthodontic therapy [23] to accelerate the orthodontic movement and prevent root resorption, but Almpani et al. emphasize that in some cases the incidence of thermal pulpal damage increases [10]. The research has therefore focused on simple, easy-to-use-at-home, and noninvasive or painful systems that the patient could use simultaneously with aligners in complete autonomy, without having to visit the dentist (even considering the current global pandemic), for a few minutes a day, without contraindications, without pain, and with remote control by the professional.
Photobiomodulation (PBM), also called low-level light therapy (LLLT), is a physical system that uses laser or LED technology to emit electromagnetic radiation in the range of red to near-infrared (wavelengths between 600 and 1000 nm), which stimulates the proliferation of osteoclasts, osteoblasts, and fibroblasts of the dentoalveolar complex, improving the extent of bone remodeling and consequently accelerating tooth movement [15,21]. In fact, at reduced doses, these photonic radiations cause cellular stimulation through molecular and chemical mechanisms by which the photons are absorbed in the mitochondria and, in particular, by the cytochrome C oxidase of the respiratory chain. This leads to an increase in the amount of synthesized ATP, the main energy reserve of the cell; to the increased production of superoxide anions O2−/− and other species of ROS, or reactive oxygen species, capable of activating numerous intracellular signaling pathways involving nucleic acid and protein synthesis, enzyme activation, and cell cycle progression; and finally to the hyperproduction of NO (nitric oxide), a vasodilator that leads to improved blood flow in the affected areas, with a greater amount of oxygen and nucleic acids available [24]. PBM also appears to be able to control the perception of the painful stimulus associated with orthodontic treatment by inhibiting the depolarization of nerves and decreasing the concentration of serum prostaglandins [25], although the knowledge about its effectiveness on pain is still unknown [26]. In a preliminary study conducted on 19 orthodontic subjects (age range: 11–18 years) with Class I and Class II malocclusions and a Little’s irregularity index (LII) ≥3 mm for a total of 28 arches, Shaughenessy et al. (2016) showed that intraoral PBM with OrthopulseTM resulted in statistically significant changes in the tooth movement rate during the alignment phase of orthodontics and significantly reduced the total treatment time compared to the control group [27].
Furthermore, the current panorama related to the therapeutic options for the alignment of the teeth in an adult patient is wide, but the systems that are most successful today are those that involve the use of transparent aligners to be worn all day and to be replaced on a weekly and sometimes even fortnightly basis. Among these, the Invisalign System (Align Technology, Santa Clara, CA, USA) that enjoys a wide diffusion provides for the replacement of the aligner every 7 days, defining from the beginning of the therapy an estimate of the time necessary to achieve dental alignment.
This historical prospective study aimed to improve the knowledge about the effectiveness of PBM in reducing the orthodontic treatment time in adults when OrtopulseTM and the Invisalign System are simultaneously applied. Orthopulse™, a photobiomodulation device that generates continuous beams of near-infrared light (NIR—near-infrared) with a wavelength of 850 nm and a power of 42 mW/cm2 to produce an average energy density on the surface of the silicone impression of 9.3 J/cm2, was used for patients with PBM. The null hypothesis was that there is no difference between the PBM and control groups in the time for achieving an LII <1 mm.

2. Materials and Methods

2.1. Study Design

A historical prospective study was conducted on a sample of patients who required orthodontic treatment from January 2019 to December 2021. All patients included in the present study were treated in an Italian private dental practice and in accordance with good clinical practice guidelines, following the recommendations of the ethical principles of the World Medical Association Declaration of Helsinki for Medical Research Involving Human Subjects, as revised at Fortaleza (2013).
Patients were selected according to the following inclusion criteria: (1) age greater than or equal to 18 years, (2) permanent dentition, suitability for full mouth treatment with transparent Invisalign® aligners (Align Technology, Santa Clara, CA, USA), (3) Class I or II malocclusion, (4) good oral hygiene, (5) good expected compliance, and (6) LII measured from canine to canine greater than or equal to 3 mm. Smokers, patients who required extraction, patients with incomplete arches, patients with severe local or systemic disease or who were taking bisphosphonates, and pregnant and lactating women were excluded. All patients included in the study provided written informed consent.
For each patient included in the study, only anterior crowding limited to the lower dental arch was considered; therefore, the number of dental arches examined was equal to the number of subjects. Invisalign® aligners were used both in treatment and control groups. The treatment group (PBM) was instructed in the proper use of the OrthopulseTM device (Biolux Research, Vancouver, BC, Canada) (Figure 1a,b) according to an application protocol of 5 min per day and to report any adverse events immediately to the examining orthodontist. The control group (CTL) received the same orthodontic treatment given to the PBM patients but without PBM. Compliance—the percentage of use—of both groups was monitored online through the Invisalign app.
Intraoral photos and PBM compliance were collected at every follow-up appointment, scheduled every 10 days. All patients involved in the study were documented at baseline (T0) and at the end of treatment (T1) with extraoral and intraoral photographs, orthopantomograms, lateral cephalometric radiographs, and digital scans (Figure 2a,b).
Personalized treatment plans were created with the Invisalign® transparent aligner system by uploading the digital scans to the appropriate software. All cases were treated with the number of aligners needed to correct the existing orthodontic problems. When a patient’s LII was visually estimated to be ≤1 mm, T1 was recorded and a T1 model was cast. A qualified technician, blinded to the group, assessed the LII at T1. These measurements were taken with the iTero intraoral scanner (Align Technology, Santa Clara, CA, USA) using OrthoCAD (Cadent Inc., Align Technology, Santa Clara, CA, USA), dedicated digital model review software, and all scans were always evaluated from an occlusal perspective. The number of aligners used was then recorded for each patient, starting from the clinical situation at the beginning of treatment until its end. The control group changed aligners every 7 days (according to the Invisalign® protocol), while the patients in the study group were instructed to change each aligner every 3.5, 4, or 5 days, depending on the complexity of the malocclusion, which was assessed on a case-by-case basis.

2.2. Outcome

Lower anterior dental crowding (LII) was assessed for each patient using the index of irregularity described by Little in 1975 [28] and validated by Barnabè and Flores-Mir as an accurate and valid method for measuring length deviation in the anterior region [29]. The LII is the sum of the 5 linear distances between an anatomical contact point and the adjacent contact point of the 6 anterior teeth. LII measurements were performed on initial models (T0) and on aligned models (T1).
Primary outcome, the weekly crowding resolution rate (CRR), was determined for each patient, calculated according to the following formula [27]:
CRR = ( mm week ) = LII 1 LII 0 T · 7
In the formula, the difference between the two measurements of the LII index was inserted in the numerator, each determined at the beginning and the end of therapy to calculate the improvement in tooth position achieved by treatment; the denominator of the fraction corresponds to the time T1 required to complete treatment (LII <1 mm), defined as the time in days from the beginning to the end of orthodontic therapy; then, the quotient of this division was multiplied by 7, i.e., the number of days per week, multiplied to convert the previous result, indicating the daily displacement rate to a weekly displacement rate expressed in mm/week.

2.3. Statistical Analysis

Sample size was not a priori determined. All patients treated with PBM in the observation period were included in the study. Patients in the control group were selected according to who was treated with standard care without PBM during the same period.
Descriptive statistics are reported as the median and interquartile range (IQR) in both control (CTL) and PBM (PBM) groups. The comparison between the distributions of age, CRR, and LII value at the time of treatment beginning in the two groups was performed with the Mann–Whitney U test, whereas the distributions of sex were compared with the Fisher exact test. Effect size for CRR was reported as Hedges’s g to evaluate achieved statistical power (post hoc).
Because the event of crowding resolution (LII <1 mm, the event of interest) and the time T1 at which it occurred were determined for each patient, the time-to-event data were analyzed through the Kaplan–Maier product limit estimator to assess the probability of crowding resolution as a function of time in both the control and PBM groups. The probability of crowding resolution at a given point in time was compared between the two groups using the log-rank test. Finally, the possible effects of demographic and clinical covariates on the time required for the resolution of crowding were examined using the Cox proportional hazard model. A final multivariate model was performed after checking univariate models’ significance of each included factor. Factors which reported a significant level lower than 0.1 were included in the final multivariate model. The proportional hazard assumption of the CoxPH model was checked. A subgroup analysis at different ages (<30 years vs. ≥30 years) was also performed.
Statistical analyses were performed with the statistical software R (R Core Team (2022); R: A language and environment for statistical computing; R Foundation for Statistical Computing, Vienna, Austria), while power analysis was conducted with G*Power (Heinrich Heine University of Düsseldorf, Düsseldorf, Germany). A statistical significance level at 5% (p < 0.05) was set.

3. Results

A total of 170 patients (83 women and 87 men; median age: 31 years ranging from 18 to 61 years) were enrolled in the study: 90 patients were treated with PBM (the treatment group), and the remaining 80 patients did not receive PBM (the control group). At baseline, the patients’ LII index in the control group ranged from 3.3 to 13.2 mm (median 7.65 mm, IQR: 6.55 mm; 9.20 mm), whereas in the PBM group, it ranged from 3.5 to 13.2 mm (median 7.9 mm, IQR: 6.4 mm; 9.4 mm), with no statistically significant difference between the two groups. The complete demographic and clinical characteristics are reported in Table 1.
At T1, the median crowding resolution rate was significantly higher in the PBM group (median: 0.33 mm/week, IQR: 0.30; 0.38) than in the control group (median: 0.21 mm/week; IQR: 0.18; 0.23) (p < 0.001, effect size: 2.74) (Figure 3a). A subgroup analysis was also performed to evaluate the differences between the control and intervention groups at different ages. The statistically significant difference between the control and intervention group was confirmed in both comparisons (p < 0.001 for patients aged <30 years and for patients aged ≥30 years), while there was no statistically significant difference in the patients treated with PBM aged <30 and ≥30 years (Figure 3b).
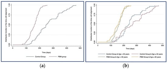
A statistically significant difference, that is, the log-rank test difference between the two curves: p < 0.001, emerged between the PBM (median: 160 days, 95% CI: 148; 172) and the CTL groups (median: 245; 95% CI: 217; 273) (Figure 4a). When the same analysis was repeated according to the age of the patients, the log-rank test confirmed the difference between the PBM and control groups, whereas there was no difference between the patients <30 and ≥30 years in either group.
The multivariate analysis showed that the hazard of success increased rapidly in the PBM treatment (HR: 25.69, SE: 6.90, p < 0.001), while the hazard decreased when the LII0 increased (Table 2).

4. Discussion

The orthodontic treatment that was the prerogative of the individual in the growth phase a few years ago has today captured the attention of the adult who is increasingly interested in smiling with white and well-aligned teeth. Sometimes the number of aligners is high, and the patient’s compliance tends to decrease over time; moreover, orthodontic calibration is a cause of pain and discomfort, especially in the early stages or in very complex treatments.
Laser irradiation can induce a photobiomodulatory (PBM) effect on cells and tissues, contributing to a directed modulation of cell behaviors and enhancing the processes of tissue repair. Photobiomodulation (PBM) can induce cell proliferation and enhance stem cell differentiation. Laser therapy is a noninvasive method that contributes to pain relief and reduces inflammation, parallel to the enhanced healing and tissue repair processes [30]. In fact, thanks to the low-energy laser beam production or LED lights, tissues receive a certain share of energy, stimulating the proliferation of osteoclasts, osteoblasts, and fibroblasts by amplifying the extent of bone remodeling and consequently accelerating dental movement. Although the specific mechanism of action of PBM is not yet fully known [31], some scientific studies have shown that a fair increase in the speed of dental displacement is evident in combination with the use of such PBM; however, a certain degree of uncertainty remains [32].
This work aims to demonstrate that the use of the PBM accelerates the dental alignment through a faster change in the aligners compared to the standard change that involves replacement every 7 days without the use of PBM.
Overall, the use of PBM speeds up the orthodontic movement, allowing a more rapid alignment. Compared to the standard treatment, in the PBM group, the probability of obtaining the alignment (LII < 1 mm) after 200 days of therapy was 90% (95% CI: 81%; 95%), while in the control group, the probability in the same period did just overcome 30% (31%, 95% CI: 20%; 41%). The crowding resolution rate in the PBM group was 0.33 mm/week (IQR: 0.30; 0.38), which, compared to the control group (median: 0.21 mm/week; IQR: 0.18; 0.23), was statistically and clinically significant in speeding up the orthodontic movement (p < 0.001).
Indeed, at reduced doses, such as those emitted in the PBM approach, photonic radiation causes cellular stimulation through molecular and chemical mechanisms by which photons are absorbed into the mitochondria and this leads to an increase in the production of cellular ATP and some reactive oxygen species (ROS). This anabolic effect increases the acceleration of dental movement because it stimulates the proliferation and differentiation of osteoblasts, osteoclasts, fibroblasts, and periodontal ligament cells, inducing a stimulating effect for bone remodeling, collagen synthesis, and revascularization. Numerous studies have also emphasized the effectiveness of photobiomodulating therapy in reducing the painful perception associated with orthodontic treatment [33]. In a recent meta-analysis by Al-Sharami et al. (2019), which included a total of 12 studies (226 patients), the photobiomodulation therapy was shown to have a better and significant effect on tooth acceleration (mean difference: 0.59 mm; 95% CI 0.24 to 0.97) [33]. The cell lines involved in dental remodeling are osteoblasts and osteoclasts that reshape the bone under the influence of cytokines, such as the nuclear factor kappa B ligand (RANKL), osteoprotegerin (OPG), transforming growth factor-beta (TGF-beta), and prostaglandin E2 (PGE2) [34]. The use of photobiomodulation [35] intervenes directly in the production of inflammatory mediators and in the greater recruitment of osteoblasts and osteoclasts [15,22,33].
Our results confirmed those that emerged in the pilot study conducted by Shaughnessy et al., who showed a significant increase in the speed of the tooth movement in the PBM (48 days) compared to the control group (104 days) [27]. Compared to other dental movement acceleration systems that require greater surgical invasiveness, excellent practical skills of the clinician, greater time in appointments at the chair with the consequent expenditure of economic resources by the doctor, and the need for movements by the patient with consequent discomfort, this device can be used at home and the doctor can remotely control its correct use. In our study, the combined use of transparent aligners and OrthopulseTM has been proved as a fast and discreet system, aimed especially at busy adults with little time available for dentist appointments and who need not show that they are wearing the dental alignment device.
This study included a total of 170 patients who received orthodontic treatments with and without PBM between January 2019 and December 2021. A possible limitation of this study is that patients’ data were extracted retrospectively and therefore without a randomization process for assignment to a group. Second, the study evaluated the effect of PBM on the speed of dental movement and, in particular, on the reduction in the time required to resolve cases of dental crowding. A further extension of the study could investigate a possible reduction in the incidence of external root resorption and the perception of a painful orthodontic sensation.
Several strengths of the study include a sufficiently large number of patients and their optimal compliance in following the dentist’s instructions. Furthermore, the period of observation coincided with the outbreak of the COVID-19 pandemic, which in Italy caused a prolonged lockdown from March to May 2020 and a series of negative repercussions on private dental offices. The possibility offered by Invisalign® in monitoring patients’ compliance through an app allowed the dentist to overcome problems related to the COVID-19 lockdown. The results of this study can be used to plan future or RCT studies to evaluate the effectiveness of PBM in accelerating time and improving the patients’ overall quality of life.

5. Conclusions

PBM is an effective physical system for accelerating tooth movement that offers a good compromise between treatment monitoring, noninvasiveness, a rapid response, and long-term results. In conclusion, we have shown in a larger sample how PBM can produce statistically significant changes in tooth movement with relevant time savings compared to the control group. Randomized controlled trials should be conducted, considering parameters other than the Little index and the demographic and clinical characteristics of the patients. This approach does not diminish the responsibility of the orthodontist but, on the contrary, strengthens the active role of the patient in the therapeutic process and may also prove to be a successful strategy in emergencies, as was observed during the recent pandemic.

Author Contributions

Conceptualization, L.M. and F.S.; methodology, G.G.; software, G.G.; validation, L.M., G.C. and E.S.; formal analysis, L.M.; investigation, F.B and G.C.; resources, F.B. and L.M.; data curation, L.M. and G.G.; writing—original draft preparation, L.M., G.G. and G.C.; writing—review and editing, E.S., F.B. and F.S.; visualization, F.S.; supervision, L.M. and F.B.; project administration, L.M.; funding acquisition, F.B. All authors have read and agreed to the published version of the manuscript.

Funding

This research received no external funding.

Institutional Review Board Statement

The study was conducted in accordance with the Declaration of Helsinki. In Italy, no ethical committee approval is necessary for studies conducted in a private setting.

Informed Consent Statement

Informed consent was obtained from all subjects involved in the study.

Data Availability Statement

The data that support the findings of this study are available from the corresponding author, F.S., upon reasonable request.

Conflicts of Interest

The authors declare no conflict of interest.

References

  1. Fink, D.F.; Smith, R.J. The duration of orthodontic treatment. Am. J. Orthod. Dentofac. Orthop. 1992, 102, 45–51. [Google Scholar] [CrossRef]
  2. Arqub, S.A.; Voldman, R.; Ahmida, A.; Kuo, C.L.; Godoy, L.D.C.; Nasrawi, Y.; Al-Khateeb, S.N.; Uribe, F. Patients’ perceptions of orthodontic treatment experiences during COVID-19: A cross-sectional study. Prog. Orthod. 2021, 22, 17. [Google Scholar] [CrossRef] [PubMed]
  3. Cotrin, P.; Peloso, R.M.; Oliveira, R.C.; de Oliveira, R.C.G.; Pini, N.I.P.; Valarelli, F.P.; Freitas, K.M.S. Impact of coronavirus pandemic in appointments and anxiety/concerns of patients regarding orthodontic treatment. Orthod. Craniofac. Res. 2020, 23, 455–461. [Google Scholar] [CrossRef] [PubMed]
  4. Martina, S.; Amato, A.; Faccioni, P.; Iandolo, A.; Amato, M.; Rongo, R. The perception of COVID-19 among Italian dental patients: An orthodontic point of view. Prog. Orthod. 2021, 22, 11. [Google Scholar] [CrossRef]
  5. Peloso, R.M.; Pini, N.I.P.; Sundfeld Neto, D.; Mori, A.A.; Oliveira, R.C.G.; Valarelli, F.P.; Freitas, K.M.S. How does the quarantine resulting from COVID-19 impact dental appointments and patient anxiety levels? Braz. Oral Res. 2020, 34, e84. [Google Scholar] [CrossRef]
  6. Umeh, O.D.; Utomi, I.L.; Isiekwe, I.G.; Aladenika, E.T. Impact of the coronavirus disease 2019 pandemic on orthodontic patients and their attitude to orthodontic treatment. Am. J. Orthod. Dentofac. Orthop. 2021, 159, e399–e409. [Google Scholar] [CrossRef]
  7. Uribe, F.; Padala, S.; Allareddy, V.; Nanda, R. Patients’, parents’, and orthodontists’ perceptions of the need for and costs of additional procedures to reduce treatment time. Am. J. Orthod. Dentofac. Orthop. 2014, 145, S65–S73. [Google Scholar] [CrossRef]
  8. Huang, H.; Williams, R.C.; Kyrkanides, S. Accelerated orthodontic tooth movement: Molecular mechanisms. Am. J. Orthod. Dentofac. Orthop. 2014, 146, 620–632. [Google Scholar] [CrossRef]
  9. Hoogeveen, E.J.; Jansma, J.; Ren, Y. Surgically facilitated orthodontic treatment: A systematic review. Am. J. Orthod. Dentofac. Orthop. 2014, 145, S51–S64. [Google Scholar] [CrossRef]
  10. Almpani, K.; Kantarci, A. Nonsurgical Methods for the Acceleration of the Orthodontic Tooth Movement. Front. Oral Biol. 2016, 18, 80–91. [Google Scholar] [CrossRef]
  11. Saddi, K.R.; Alves, G.D.; Paulino, T.P.; Ciancaglini, P.; Alves, J.B. Epidermal growth factor in liposomes may enhance osteoclast recruitment during tooth movement in rats. Angle Orthod. 2008, 78, 604–609. [Google Scholar] [CrossRef]
  12. Kimura, H.; Okubo, N.; Chosa, N.; Kyakumoto, S.; Kamo, M.; Miura, H.; Ishisaki, A. EGF positively regulates the proliferation and migration, and negatively regulates the myofibroblast differentiation of periodontal ligament-derived endothelial progenitor cells through MEK/ERK- and JNK-dependent signals. Cell Physiol. Biochem. 2013, 32, 899–914. [Google Scholar] [CrossRef] [PubMed]
  13. Rodan, G.A.; Martin, T.J. Therapeutic approaches to bone diseases. Science 2000, 289, 1508–1514. [Google Scholar] [CrossRef] [PubMed]
  14. Soma, S.; Matsumoto, S.; Higuchi, Y.; Takano-Yamamoto, T.; Yamashita, K.; Kurisu, K.; Iwamoto, M. Local and chronic application of PTH accelerates tooth movement in rats. J. Dent. Res. 2000, 79, 1717–1724. [Google Scholar] [CrossRef] [PubMed]
  15. Nimeri, G.; Kau, C.H.; Abou-Kheir, N.S.; Corona, R. Acceleration of tooth movement during orthodontic treatment--a frontier in orthodontics. Prog. Orthod. 2013, 14, 42. [Google Scholar] [CrossRef] [PubMed]
  16. Shirazi, M.; Dehpour, A.R.; Jafari, F. The effect of thyroid hormone on orthodontic tooth movement in rats. J. Clin. Pediatr. Dent. 1999, 23, 259–264. [Google Scholar]
  17. Hashimoto, F.; Kobayashi, Y.; Mataki, S.; Kobayashi, K.; Kato, Y.; Sakai, H. Administration of osteocalcin accelerates orthodontic tooth movement induced by a closed coil spring in rats. Eur. J. Orthod. 2001, 23, 535–545. [Google Scholar] [CrossRef]
  18. Liu, Z.J.; King, G.J.; Gu, G.M.; Shin, J.Y.; Stewart, D.R. Does human relaxin accelerate orthodontic tooth movement in rats? Ann. N. Y. Acad. Sci. 2005, 1041, 388–394. [Google Scholar] [CrossRef]
  19. Madan, M.S.; Liu, Z.J.; Gu, G.M.; King, G.J. Effects of human relaxin on orthodontic tooth movement and periodontal ligaments in rats. Am. J. Orthod. Dentofac. Orthop. 2007, 131, 8.e1–8.e10. [Google Scholar] [CrossRef]
  20. Sekhavat, A.R.; Mousavizadeh, K.; Pakshir, H.R.; Aslani, F.S. Effect of misoprostol, a prostaglandin E1 analog, on orthodontic tooth movement in rats. Am. J. Orthod. Dentofac. Orthop. 2002, 122, 542–547. [Google Scholar] [CrossRef]
  21. Miles, P. Accelerated orthodontic treatment—What’s the evidence? Aust. Dent. J. 2017, 62 (Suppl. S1), 63–70. [Google Scholar] [CrossRef] [PubMed]
  22. Nishimura, M.; Chiba, M.; Ohashi, T.; Sato, M.; Shimizu, Y.; Igarashi, K.; Mitani, H. Periodontal tissue activation by vibration: Intermittent stimulation by resonance vibration accelerates experimental tooth movement in rats. Am. J. Orthod. Dentofac. Orthop. 2008, 133, 572–583. [Google Scholar] [CrossRef] [PubMed]
  23. Proffit, W.R.; Field, H.W., Jr.; Sarver, D.M. Ortodonzia Moderna; Edra, Ed.; Edra: Milano, Italy, 2021. [Google Scholar]
  24. Hamblin, M.D.; Demidova, T.N. Mechanism of Low Level Light Therapy. Mech. Low Level Light Ther. 2006, 6140, 614001. [Google Scholar]
  25. Sfondrini, M.F.; Vitale, M.; Pinheiro, A.L.B.; Gandini, P.; Sorrentino, L.; Iarussi, U.M.; Scribante, A. Photobiomodulation and Pain Reduction in Patients Requiring Orthodontic Band Application: Randomized Clinical Trial. BioMed Res. Int. 2020, 2020, 7460938. [Google Scholar] [CrossRef] [PubMed]
  26. Cronshaw, M.; Parker, S.; Anagnostaki, E.; Lynch, E. Systematic Review of Orthodontic Treatment Management with Photobiomodulation Therapy. Photobiomodul. Photomed. Laser Surg. 2019, 37, 862–868. [Google Scholar] [CrossRef]
  27. Shaughnessy, T.; Kantarci, A.; Kau, C.H.; Skrenes, D.; Skrenes, S.; Ma, D. Intraoral photobiomodulation-induced orthodontic tooth alignment: A preliminary study. BMC Oral Health 2016, 16, 3. [Google Scholar] [CrossRef]
  28. Little, R.M. The irregularity index: A quantitative score of mandibular anterior alignment. Am. J. Orthod. 1975, 68, 554–563. [Google Scholar] [CrossRef]
  29. Bernabe, E.; Flores-Mir, C. Estimating arch length discrepancy through Little’s Irregularity Index for epidemiological use. Eur. J. Orthod. 2006, 28, 269–273. [Google Scholar] [CrossRef]
  30. Dompe, C.; Moncrieff, L.; Matys, J.; Grzech-Lesniak, K.; Kocherova, I.; Bryja, A.; Bruska, M.; Dominiak, M.; Mozdziak, P.; Skiba, T.H.I.; et al. Photobiomodulation-Underlying Mechanism and Clinical Applications. J. Clin. Med. 2020, 9, 1724. [Google Scholar] [CrossRef]
  31. Kacprzak, A.; Strzecki, A. Methods of accelerating orthodontic tooth movement: A review of contemporary literature. Dent. Med. Probl. 2018, 55, 197–206. [Google Scholar] [CrossRef]
  32. Carvalho-Lobato, P.; Garcia, V.J.; Kasem, K.; Ustrell-Torrent, J.M.; Tallon-Walton, V.; Manzanares-Cespedes, M.C. Tooth movement in orthodontic treatment with low-level laser therapy: A systematic review of human and animal studies. Photomed. Laser Surg. 2014, 32, 302–309. [Google Scholar] [CrossRef] [PubMed]
  33. AlShahrani, I.; Togoo, R.A.; Hosmani, J.; Alhaizaey, A. Photobiomodulation in acceleration of orthodontic tooth movement: A systematic review and meta analysis. Complement. Ther. Med. 2019, 47, 102220. [Google Scholar] [CrossRef] [PubMed]
  34. Bilello, G.; Fazio, M.; Curro, G.; Scardina, G.A.; Pizzo, G. The Effects of Low-frequency Vibration on Aligner Treatment Duration: A Clinical Trial. J. Int. Soc. Prev. Commun. Dent. 2022, 12, 345–352. [Google Scholar] [CrossRef]
  35. Kau, C.H.; Kantarci, A.; Shaughnessy, T.; Vachiramon, A.; Santiwong, P.; de la Fuente, A.; Skrenes, D.; Ma, D.; Brawn, P. Photobiomodulation accelerates orthodontic alignment in the early phase of treatment. Prog. Orthod. 2013, 14, 30. [Google Scholar] [CrossRef]
Figure 1. OrthopulseTM Device.
Figure 1. OrthopulseTM Device.
Applsci 12 11532 g001
Figure 2. (a) Lower arch at T0, (b) lower arch at T1.
Figure 2. (a) Lower arch at T0, (b) lower arch at T1.
Applsci 12 11532 g002
Figure 3. Box Plot. (a) The alignment rate in control and PBM groups; (b) subgroup analysis by age range: the alignment rate in control and PBM groups related to age (age <30 years, age ≥30 years).
Figure 3. Box Plot. (a) The alignment rate in control and PBM groups; (b) subgroup analysis by age range: the alignment rate in control and PBM groups related to age (age <30 years, age ≥30 years).
Applsci 12 11532 g003
Figure 4. Kaplan–Meier Failure Function. (a) Median PBM: 160 days (95% CI: 148; 172), Median Control: 245 (95% CI: 217; 273); (b) Median PBM (age <30 years): 168 (95% CI: 148; 172), Median PBM (age ≥30 years: 158 (95% CI: 133; 172), Median Control (age <30 years): 245 (95% CI: 210; 259), Median Control: 273 (95% CI: 210; 329).
Figure 4. Kaplan–Meier Failure Function. (a) Median PBM: 160 days (95% CI: 148; 172), Median Control: 245 (95% CI: 217; 273); (b) Median PBM (age <30 years): 168 (95% CI: 148; 172), Median PBM (age ≥30 years: 158 (95% CI: 133; 172), Median Control (age <30 years): 245 (95% CI: 210; 259), Median Control: 273 (95% CI: 210; 329).
Applsci 12 11532 g004
Table 1. Basic demographic and clinical characteristics of the sample.
Table 1. Basic demographic and clinical characteristics of the sample.
TotalControlPBMp-Value *
No. of patients17080 (47.1%)90 (52.9%)
Age (year), median (IQR)31 (25; 38)31 (24.5; 37)33 (25; 38)0.475
Age range
<30 years73 (42.9%)35 (43.7%)38 (42.2%)0.877
≥30 years97 (57.1%)45 (56.3%)52 (57.8%)
Gender, n (%)
Female83 (48.8%)41 (51.3%)42 (46.7%)0.645
Male87 (51.2%)39 (48.7%)48 (53.3%)
LII0 (mm), median (IQR)7.8 (6.5; 9.4)7.65 (6.55; 9.20)7.9 (6.4; 9.4)0.677
LII1 (mm), median (IQR)0.21 (0.14; 0.40)0.20 (0.15; 0.38)0.23 (0.12; 0.4)0.955
* p-value for comparison of group median by Mann–Whitney U test or difference in proportion by Fisher exact test as appropriate; IQR: (25th percentile; 75th percentile).
Table 2. Cox Proportional Hazard Models.
Table 2. Cox Proportional Hazard Models.
Univariate
HR (SE)
Multivariate
HR (SE)
Age (Years)1.01 (0.01)
Males1.09 (0.17)
Treatment PBM6.24 *** (1.32) 25.69 *** (6.90)
LII Baseline (mm)0.58 *** (0.03)0.40 *** (0.03)
*** p < 0.001.
Publisher’s Note: MDPI stays neutral with regard to jurisdictional claims in published maps and institutional affiliations.

Share and Cite

MDPI and ACS Style

Meme’, L.; Gallusi, G.; Coli, G.; Strappa, E.; Bambini, F.; Sampalmieri, F. Photobiomodulation to Reduce Orthodontic Treatment Time in Adults: A Historical Prospective Study. Appl. Sci. 2022, 12, 11532. https://doi.org/10.3390/app122211532

AMA Style

Meme’ L, Gallusi G, Coli G, Strappa E, Bambini F, Sampalmieri F. Photobiomodulation to Reduce Orthodontic Treatment Time in Adults: A Historical Prospective Study. Applied Sciences. 2022; 12(22):11532. https://doi.org/10.3390/app122211532

Chicago/Turabian Style

Meme’, Lucia, Gianni Gallusi, Giulia Coli, Enrico Strappa, Fabrizio Bambini, and Francesco Sampalmieri. 2022. "Photobiomodulation to Reduce Orthodontic Treatment Time in Adults: A Historical Prospective Study" Applied Sciences 12, no. 22: 11532. https://doi.org/10.3390/app122211532

APA Style

Meme’, L., Gallusi, G., Coli, G., Strappa, E., Bambini, F., & Sampalmieri, F. (2022). Photobiomodulation to Reduce Orthodontic Treatment Time in Adults: A Historical Prospective Study. Applied Sciences, 12(22), 11532. https://doi.org/10.3390/app122211532

Note that from the first issue of 2016, this journal uses article numbers instead of page numbers. See further details here.

Article Metrics

Back to TopTop