Effects of Blasting Vibrations on an Arch in the Jiaohuayu Tunnel Described by Energy Response Spectrum Analysis
Abstract
1. Introduction
2. Engineering Background
3. Vibration in the Tunnel Arch
3.1. Blasting Vibration Monitoring Scheme
3.2. Attenuation Law of the Blasting Vibration Velocity
3.3. Dominant Frequency Analysis of Vibration
4. Structural Energy Response Spectrum of the Tunnel Blasting Vibration
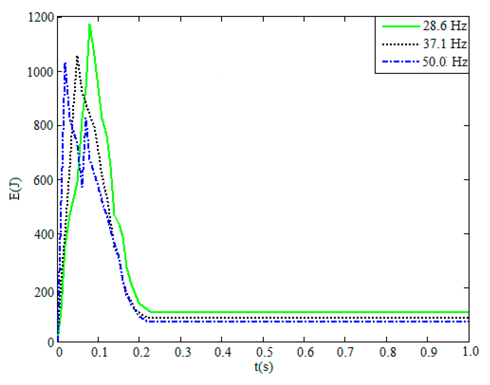
4.1. Influence of Blasting Vibration Characteristics on the Input Energy Spectrum
4.2. Influence of Blasting Vibration Characteristics on the Hysteretic Energy Consumption Spectrum
4.3. Influence of Structural Parameters and Restoring Force Model Parameters on the Hysteretic Energy Consumption Spectrum
4.4. Influence of Blasting Seismic Waves on the Hysteretic Energy Consumption Spectrum under Different Blasting Conditions
5. Evaluation and Control of Blasting Vibration Hazards in Tunnel
6. Conclusions
- (1)
 - The PPV at the vault was always larger than at the arch waist and was greater than at the sidewall regardless of direction (i.e., horizontal tangential, horizontal radial, and vertical). The vertical vibration velocity was the largest; the PPV at the vault decayed faster than the other two; the attenuation of the three-direction PPV at the same measuring point tends to be stable with increasing propagation distance.
 - (2)
 - The arch waist was where the greatest risk of structural damage occurred at each position of the tunnel based on the dominant frequency. The millisecond delay detonator blasting vibration signal was widely distributed in the frequency domain, but the energy was primarily concentrated at 200 Hz.
 - (3)
 - When the engineering structure entered the elastic-plastic stage under the action of blasting vibration, the energy dissipation mode began to change, primarily based on damping energy dissipation and hysteretic energy dissipation. This mode is of practical importance to evaluate the safety of cumulative damage of engineering structures and measure the cumulative damage of structures by hysteretic energy.
 - (4)
 - Existing safety criteria can be supplemented and improved using the maximum instantaneous input energy to measure the first passage damage, the hysteretic energy consumption to measure the cumulative damage, and the input-hysteretic energy criterion to judge the structural failure. The energy threshold of the first passage failure of the test section was 200 J, and the plastic cumulative damage was 3000 J.
 
Author Contributions
Funding
Institutional Review Board Statement
Informed Consent Statement
Data Availability Statement
Conflicts of Interest
References
- Xu, P.; Yang, R.; Zuo, J.; Ding, C.; Chen, C.; Guo, Y.; Fang, S.; Zhang, Y. Research progress of the fundamental theory and technology of rock blasting. Int. J. Miner. Metall. Mater. 2022, 29, 705–716. [Google Scholar] [CrossRef]
 - Krebes, E.S. Seismic Wave Theory; Cambridge University Press: Cambridge, UK, 2019. [Google Scholar]
 - Yang, J.; Cai, J.; Yao, C.; Li, P.; Jiang, Q.; Zhou, C. Comparative Study of Tunnel Blast-Induced Vibration on Tunnel Surfaces and Inside Surrounding Rock. Rock Mech. Rock Eng. 2019, 52, 4747–4761. [Google Scholar] [CrossRef]
 - Jia, B.; Zhou, L.; Cui, J.; Chen, H. Attenuation model of tunnel blast vibration velocity based on the influence of free surface. Sci. Rep. 2021, 11, 21077. [Google Scholar] [CrossRef] [PubMed]
 - Li, S.; Liang, S.; Lu, J. Study on Internal Vibration Law and Vibration Reduction of Xiaoxiku Tunnel Blasting. Geofluids 2022, 2022, 7650784. [Google Scholar] [CrossRef]
 - Heelan, P.A. Radiation from a cylindrical source of finite length. Geophysics 1953, 18, 685–696. [Google Scholar] [CrossRef]
 - White, J. Use of reciprocity theorem for computation of low-frequency radiation patterns. Geophysics 1960, 25, 613–624. [Google Scholar] [CrossRef]
 - Kong, D.; Meng, Q.; Zhang, W. Shock responses of a metro tunnel subjected to explosive loads. J. Vib. Shock. 2012, 31, 68–72. (In Chinese) [Google Scholar]
 - Li, N.; Chen, Y.; Han, X. Lab test on damage behavior of the tunnel lining under blasting load. Eng. Basting 1996, 2, 6–10. (In Chinese) [Google Scholar]
 - Xiong, L.; Jiang, N.; Zhou, C.; Li, H. Dynamic response characteristics of adjacent tunnel lining under blasting impact in subway connecting passage. Int. J. Prot. Struct. 2022, 20414196221083687. [Google Scholar] [CrossRef]
 - Lu, Z.; Liu, M. Analysis of Dynamic Response and Structure Damage of Yangtze River Tunnel Subjected to Different Explosion Loading. Blasting 2013, 30, 5–9+74. [Google Scholar]
 - GB6722-2014; Safety Regulations for Blasting. Standardization Administration of China & General Administration of Quality Supervision, Inspection and Quarantine of the People’s Republic of China: Beijing, China, 2014. (In Chinese)
 - Lou, J.; Long, Y.; Fang, X.; Zhou, X. Study on blasting vibration damage based on response spectrum. Explos. Shock. Waves 2003, 23, 41–46. (In Chinese) [Google Scholar]
 - Zhang, Y. HHT Analysis of Blasting Vibration and Its Application. Ph.D. Thesis, Central South University, Changsha, China, 2006. (In Chinese). [Google Scholar]
 - Li, H. Study on Effect of Blast-Induced Seismic Based on Energy Theory. Ph.D. Thesis, Wuhan University, Wuhan, China, 2007. (In Chinese). [Google Scholar]
 - Ling, T. Blast Vibration Effect and Initiative Control of Vibrational Damage. Ph.D. Thesis, Central South University, Changsha, China, 2004. (In Chinese). [Google Scholar]
 - Duffy, J.; Mindlin, R. Stress-strain relations and vibrations of a granular medium. J. Appl. Mech. 1957, 24, 585–593. [Google Scholar] [CrossRef]
 - Bisoyi, S.K.; Pal, B.K. Prediction of Ground Vibration Using Various Regression Analysis. J. Min. Sci. 2020, 56, 378–387. [Google Scholar] [CrossRef]
 - Zhang, Y. Research on the propagation characteristics of blasting seismic waves. Blasting 2000, 17, 6–11. (In Chinese) [Google Scholar]
 - Ivorra, S.; Giannoccaro, N.I.; Foti, D. Simple model for predicting the vibration transmission of a squat masonry tower by base forced vibrations. Struct. Control. Health Monit. 2019, 26, 1–21. [Google Scholar] [CrossRef]
 - Cao, C.; Yang, S.; Yang, J. EEMD noise reduction method for non-stationary vibration signals of large rotating machinery. Vib. Shock. 2009, 28, 33–39. (In Chinese) [Google Scholar]
 - Li, H.; Wang, C.; Xu, Y.; Wu, C. Time-frequency analysis of vertical dynamics of track-vehicle system based on EEMD. China Railw. Sci. 2007, 28, 24–30. (In Chinese) [Google Scholar]
 - Diaferio, M.; Foti, D.; Ivorra, S.; Vacca, V. Dynamic behavior of a historical tower subjected to bells’ forced vibrations [C]. In Proceedings of the 6th International Workshop on Design in Civil and Environmental Engineering (DCEE), Cagliari, Italy, 9–11 November 2017. [Google Scholar]
 - Lu, W.; Lai, S.; Shu, D.; Zhu, C. Discussion on the Equivalence of Blasting Vibration Velocity and Acceleration. Blasting 2000, 17, 11–14. (In Chinese) [Google Scholar]
 - Song, G.; Zeng, X.; Chen, S. Influence of propagation medium characteristics on time-frequency characteristics of wavelet packets in blasting vibration signal analysis. Eng. Blasting 2003, 9, 64–68. (In Chinese) [Google Scholar]
 - Wen, L.; Liu, Z.; Ge, Y. Several methods of wavelet denoising. J. Hefei Univ. Technol. 2002, 25, 167–172. (In Chinese) [Google Scholar]
 - Liu, Z.; Shen, P. Research on the input energy spectrum of ground motion. Eng. Seism. Resist. Reinf. 2006, 28, 1–5. [Google Scholar]
 - Ding, Y.; Zhu, X. Discussion on Input Energy in Earthquakes. J. Beijing Jiaotong Univ. 2007, 31, 49–51. (In Chinese) [Google Scholar]
 - Tian, Q. Research on Structural Energy Response under Ground Motion and Preliminary Application of Energy Method. Ph.D. Thesis, Institute of Engineering Mechanics, China Earthquake Administration, Harbin, China, 2010. (In Chinese). [Google Scholar]
 - Xu, T.; Zhou, Y.; He, M. Research on energy response spectrum and its influencing factors. Earthq. Eng. Eng. Vib. 2000, 20, 198–203. [Google Scholar]
 - Cheng, G.; Ye, L. Seismic input energy spectrum of elastic SDOF system. Eng. Seism. Reinf. 2006, 28, 1–8. (In Chinese) [Google Scholar]
 - Manfredi, G. Evaluation of seismic energy demand. Earthq. Eng. Struct. Dyn. 2001, 30, 485–499. [Google Scholar] [CrossRef]
 - Zhai, C.; Xie, L.; Wu, Z. Analysis of the influence of structural hysteretic energy dissipation based on the Taiwan Jiji earthquake. J. Harbin Inst. Technol. 2006, 38, 59–62. (In Chinese) [Google Scholar]
 - Zhao, M. Research on Vibration Effect of Step Blasting in Medium and Deep Holes Based on Energy Principle. Ph.D. Thesis, Wuhan University of Technology, Wuhan, China, 2012. (In Chinese). [Google Scholar]
 - Decanini, L.D.; Mollaioli, F. Formulation of elastic earthquake input energy spectra. Earthq. Eng. Struct. Dyn. 1998, 27, 1503–1522. [Google Scholar] [CrossRef]
 - Gong, M.; Zhai, C.; Xie, L.; Zhang, W. Study on the Attenuation Law of Earthquake Hysteresis Energy Spectrum. Earthq. Eng. Eng. Vib. 2004, 24, 8–16. (In Chinese) [Google Scholar]
 - Wu, B.; Li, H.; Ou, J. Design of energy dissipation and shock absorption reinforcement for damaged structures after earthquake. World Earthq. Eng. 1995, 2, 1–7. (In Chinese) [Google Scholar]
 - Lin, W.H.; Chopra, A.K. Earthquake response of elastic SDF systems with non-linear fluid viscous dampers. Earthq. Eng. Struct. Dyn. 2002, 31, 1623–1642. [Google Scholar] [CrossRef]
 



























| Measuring Point Location | K | α | ||||
|---|---|---|---|---|---|---|
| Vertical | Horizontal Tangential | Horizontal Radial | Vertical | Horizontal Tangential | Horizontal Radial | |
| Vault | 296.2 | 126.7 | 204.3 | 1.95 | 1.91 | 1.92 | 
| Arch waist | 235.1 | 123.2 | 194.2 | 1.86 | 1.83 | 1.85 | 
| Sidewall | 183.7 | 96.4 | 108.3 | 1.71 | 1.69 | 1.70 | 
| No. | Natural Period (s) | Maximum Instantaneous Input Energy (J) | Hysteretic Energy Consumption (J) | Initial Lining State | 
|---|---|---|---|---|
| 1 | 0.1428 | 226.99 | 2245.44 | cracked | 
| 2 | 0.1462 | 173.57 | 1854.35 | intact | 
| 3 | 0.1394 | 127.73 | 1355.32 | intact | 
| 4 | 0.1428 | 210.3 | 2678.21 | intact | 
| 5 | 0.1378 | 153.84 | 1677.93 | intact | 
| 6 | 0.1394 | 154.61 | 1768.86 | intact | 
| 7 | 0.1445 | 193.06 | 1459.19 | intact | 
| 8 | 0.1512 | 150.05 | 1679.37 | intact | 
| 9 | 0.1478 | 157.22 | 1712.21 | intact | 
| 10 | 0.1378 | 169.17 | 3173.12 | damaged | 
| No. | Natural Period (s) | Maximum Instantaneous Input Energy (J) | Hysteretic Energy Consumption (J) | Initial Lining State | 
|---|---|---|---|---|
| 1 | 0.1428 | 230.23 | 2319.98 | cracked | 
| 2 | 0.1462 | 185.99 | 2039.79 | intact | 
| 3 | 0.1394 | 132.4 | 1490.85 | intact | 
| 4 | 0.1428 | 145.79 | 3046.03 | damaged | 
| 5 | 0.1378 | 192.93 | 1845.72 | intact | 
| 6 | 0.1394 | 163.82 | 1945.75 | intact | 
| 7 | 0.1445 | 138.64 | 1605.11 | intact | 
| 8 | 0.1512 | 228.5 | 1847.30 | cracked | 
| 9 | 0.1478 | 166.88 | 1883.43 | intact | 
| 10 | 0.1378 | 147.84 | 3270.43 | damaged | 
| No. | Natural Period (s) | Maximum Instantaneous Input Energy (J) | Hysteretic Energy Consumption (J) | Initial Lining State | 
|---|---|---|---|---|
| 1 | 0.1428 | 213.49 | 2800.35 | cracked | 
| 2 | 0.1462 | 179.73 | 1891.44 | intact | 
| 3 | 0.1394 | 130.06 | 1382.43 | intact | 
| 4 | 0.1428 | 227.92 | 2731.77 | cracked | 
| 5 | 0.1378 | 158.34 | 1711.49 | intact | 
| 6 | 0.1394 | 159.18 | 1804.24 | intact | 
| 7 | 0.1445 | 135.82 | 1488.37 | intact | 
| 8 | 0.1512 | 154.25 | 1712.96 | intact | 
| 9 | 0.1478 | 162.02 | 2746.45 | intact | 
| 10 | 0.1378 | 148.35 | 3032.58 | damaged | 
Publisher’s Note: MDPI stays neutral with regard to jurisdictional claims in published maps and institutional affiliations.  | 
© 2022 by the authors. Licensee MDPI, Basel, Switzerland. This article is an open access article distributed under the terms and conditions of the Creative Commons Attribution (CC BY) license (https://creativecommons.org/licenses/by/4.0/).
Share and Cite
Hou, S.; Xie, F.; Tian, S.; Liang, S. Effects of Blasting Vibrations on an Arch in the Jiaohuayu Tunnel Described by Energy Response Spectrum Analysis. Appl. Sci. 2022, 12, 11395. https://doi.org/10.3390/app122211395
Hou S, Xie F, Tian S, Liang S. Effects of Blasting Vibrations on an Arch in the Jiaohuayu Tunnel Described by Energy Response Spectrum Analysis. Applied Sciences. 2022; 12(22):11395. https://doi.org/10.3390/app122211395
Chicago/Turabian StyleHou, Shijun, Feng Xie, Shuaikang Tian, and Shufeng Liang. 2022. "Effects of Blasting Vibrations on an Arch in the Jiaohuayu Tunnel Described by Energy Response Spectrum Analysis" Applied Sciences 12, no. 22: 11395. https://doi.org/10.3390/app122211395
APA StyleHou, S., Xie, F., Tian, S., & Liang, S. (2022). Effects of Blasting Vibrations on an Arch in the Jiaohuayu Tunnel Described by Energy Response Spectrum Analysis. Applied Sciences, 12(22), 11395. https://doi.org/10.3390/app122211395
        
                                                
