Sustainable Transport in a Smart City: Prediction of Short-Term Parking Space through Improvement of LSTM Algorithm
Abstract
:1. Introduction
- (1)
- In order to ensure the validity of the commercial block data about a big city, the data of eight commercial blocks with high vehicle access density, shortage of parking spaces, and urgent need for parking spaces are selected for analysis and evaluation.
- (2)
- The improved LSTM, simple LSTM, MLR, and SVR algorithms are compared with MAE and RMSE, and the short-term prediction model is obtained to facilitate the more accurate real-time parking occupancy prediction for large-scale parking data.
2. Related Work and Research
3. Methodology
3.1. Research Framework
3.2. Data Set and Data Information
3.3. Analysis of Experimental Data
3.4. Weather Feature Analysis
3.5. LSTM Model Design
3.6. The Evaluation Index
4. Results and Discussion
4.1. Data Set Introduction and Analysis
4.2. Comparison between Prediction Results and Actual Data for Four Models
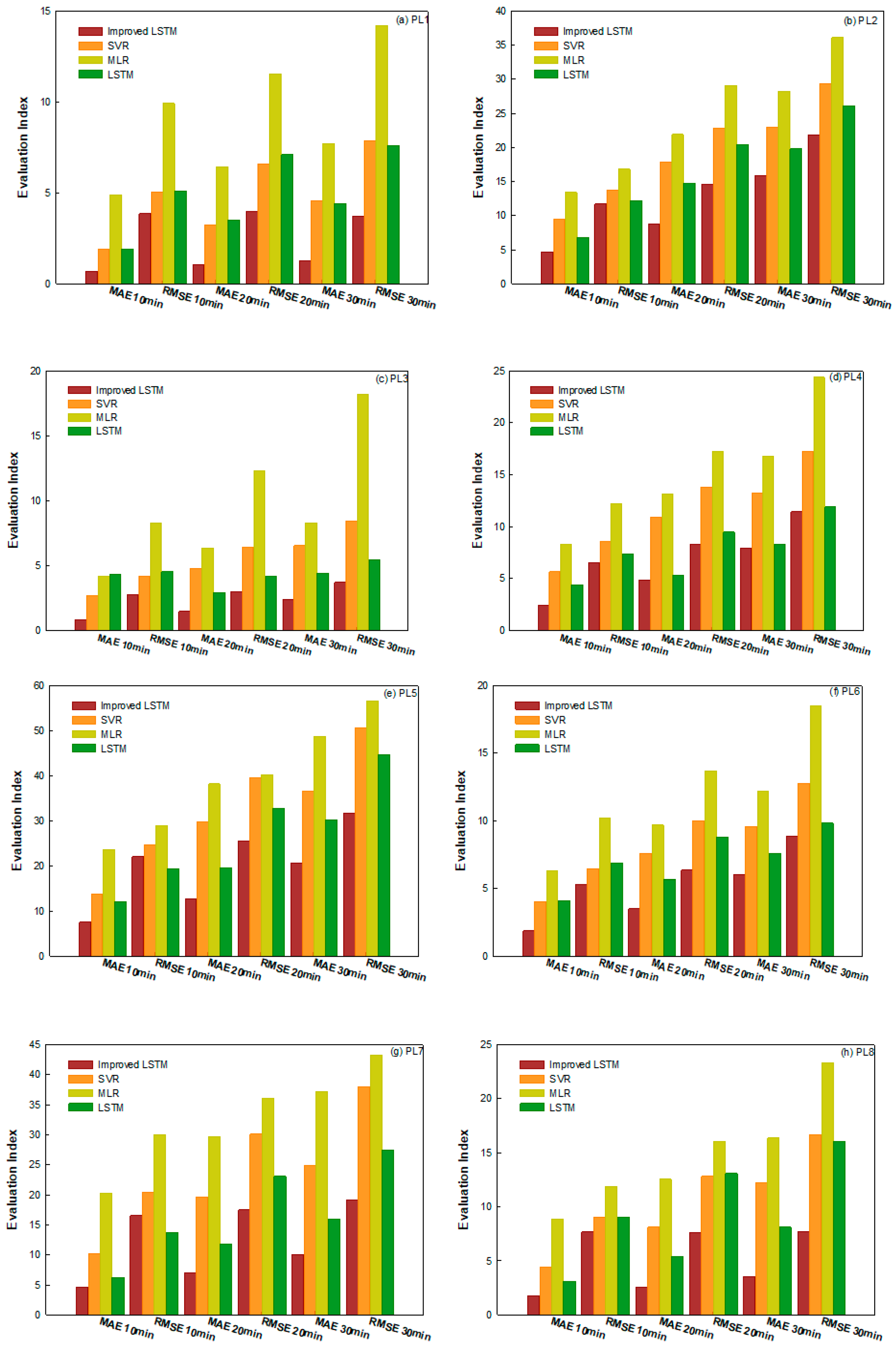
4.3. Comparison of Evaluation Index
5. Conclusions
Author Contributions
Funding
Institutional Review Board Statement
Informed Consent Statement
Data Availability Statement
Conflicts of Interest
References
- Chang, V.; Sharma, S.; Li, C.-S. Smart cities in the 21st century. Technol. Forecast. Soc. Change 2020, 153, 119447. [Google Scholar] [CrossRef]
- Al-qudah, R.; Khamayseh, Y.; Aldwairi, M.; Khan, S. The smart in smart cities: A framework for image classification using deep learning. Sensors 2022, 22, 4390. [Google Scholar] [CrossRef] [PubMed]
- Li, L.; Li, Y. Short-term prediction of parking demand for parking delicacy management. J. Tongji Univ. 2021, 49, 1301–1306. [Google Scholar]
- Tudor, C.; Catalin, G.; Raluca, C.; Ciprian, N.; Ciprian, D. Chapter 1-Cloud Services for Smart City Applications. In Intelligent Data-Centric Systems, Adaptive Mobile Computing; Mauro, M., Alessio, M., Sherenaz, A.B., Eds.; Academic Press: Cambridge, MA, USA, 2017; pp. 3–28. [Google Scholar]
- Zhu, L.; Yu, F.R.; Wang, Y.; Ning, B.; Tang, T. Big Data Analytics in Intelligent Transportation Systems: A Survey. IEEE Trans. Intell. Transp. Syst. 2019, 20, 383–398. [Google Scholar] [CrossRef]
- Paul, A.; Chilamkurti, N.; Daniel, A.; Rho, S. Chapter 2-Intelligent Transportation Systems. In Intelligent Vehicular Networks and Communications; Paul, A., Chilamkurti, N., Daniel, A., Rho, S., Eds.; Elsevier: Amsterdam, The Netherlands, 2017; pp. 21–41. [Google Scholar]
- National Bureau of Statistics. China’s private car ownership over the years (1985–2020), 2022-08-01. Available online: https://m.shujujidi.com/hangye/106.html. (accessed on 1 September 2022).
- Wang, L.; Ding, L.Q.; Wang, D. The research review of parking index in big cites. J. Munic. Technol. 2022, 40, 193–199. [Google Scholar]
- Shu, S.-N.; Li, S.; Tu, Q.; Chen, G. Interpretation on DB11/T 1813-2020, Parking requirement standard for auto of public buildings. China Stand. 2022, 2, 2105–2112. [Google Scholar]
- Gai, S.-X.; Zeng, X.-Q.; Yue, X.-Y.; Yuan, Z.-H. Parking guidance model based on user and system bi-level optimization algorithm. J. Jilin Univ. 2022, 52, 1344–1352. [Google Scholar]
- Khanh, Q.V.; Hoai, N.V.; Manh, L.D.; Le, A.N.; Jeon, G. Wireless Communication Technologies for IoT in 5G: Vision, Applications, and Challenges. Wirel. Commun. Mob. Comput. 2022, 2022, 3229294. [Google Scholar] [CrossRef]
- Inam, S.; Mahmood, A.; Khatoon, S.; Alshamari, M.; Nawaz, N. Multisource data integration and comparative analysis of machine learning models for on-street parking prediction. Sustainability 2022, 14, 7317. [Google Scholar] [CrossRef]
- Stathopoulos, A.; Karlaftis, M.G. A multivariate state space approach for urban traffic flow modeling and prediction. Transp. Res. C Emerg. Technol. 2003, 11, 121–135. [Google Scholar] [CrossRef]
- Rajabioun, T.; Loannou, P. On-street and off-street parking availability prediction using multivariate spatiotemporal models. IEEE Trans. Intell. Transp. Syst. 2015, 16, 2913–2924. [Google Scholar] [CrossRef]
- Tilahun, S.L.; Di Marzo Serugendo, G. Cooperative multiagent system for parking availability prediction based on time varying dynamic Markov chains. J. Adv. Transp. 2017, 2017, 1760842. [Google Scholar] [CrossRef]
- Xu, B.; Wolfson, O.; Yang, J.; Stenneth, L.; Philip, S.Y.; Nelson, P.C. Real-Time Street Parking Availability Estimation. In Proceedings of the 2013 IEEE 14th International Conference on Mobile Data Management, Milan, Italy, 3–6 June 2013; Volume 1, pp. 16–22. [Google Scholar]
- Yu, F.; Guo, J.; Zhu, X.; Shi, G. Real Time Prediction of Unoccupied Parking Space Using Time Series Model. In Proceedings of the 2015 International Conference on Transportation Information and Safety (ICTIS), Wuhan, China, 25–28 June 2015; pp. 370–374. [Google Scholar]
- Ye, X.; Wang, J.; Wang, T.; Yan, X.; Chen, J. Short-term prediction of available parking space based on machine learning approaches. IEEE Access 2020, 8, 174530–174541. [Google Scholar] [CrossRef]
- Dutta, N.; Charlottin, T.; Nicolas, A. Parking search in the physical world: Calculating the search time by leveraging physical and graph theoretical methods. arXiv 2022, arXiv:2202.00258. [Google Scholar] [CrossRef]
- Bock, F.; Di Martino, S.; Origlia, A. A 2-Step Approach to Improve Data-Driven Parking Availability Predictions. In Proceedings of the 10th ACM SIGSPATIAL Workshop on Computational Transportation Science, Redondo Beach, CA, USA, 7 November 2017; pp. 13–18. [Google Scholar]
- Fan, J.; Hu, Q.; Tang, Z. Predicting vacant parking space availability: An SVR method with fruit fly optimisation. IET Intell. Transp. Syst. 2018, 12, 1414–1420. [Google Scholar] [CrossRef]
- Xiao, J.; Lou, Y.; Frisby, J. How Likely am I to Find Parking?—Stochastic Models of Parking Process and Probabilistic Estimation of Parking Availability. In Proceedings of the Transportation Research Board 96th Annual Meeting, Washington, DC, USA, 8–12 January 2017. [Google Scholar]
- Shen, J. Research on Application of Data Mining Technology in Urban Roadside Parking Management. Master’s Thesis, Zhejiang University, Hangzhou, China, 2020. [Google Scholar]
- Ji, Y.; Tang, D.; Guo, W.; Blythe, T.; Wang, W. Forecasting available parking space with largest Lyapunov exponents method. J. Cent. South Univ. 2014, 21, 1624–1632. [Google Scholar] [CrossRef]
- Yin, C.; Shao, C.; Wang, X. Influence of urban built environment on car commuting considering parking availability. J. Jilin Univ. 2020, 50, 115–120. [Google Scholar]
- Amini, M.; Karabasoglu, O.; Ilic, M.; Boroojeni, K.G.; Iyengar, S.S. ARIMA-Based Demand Forecasting Method Considering Probabilistic Model of Electric Vehicles’ Parking Lots. In Proceedings of the 2015 IEEE Power & Energy Society General Meeting, Denver, CO, USA, 26–30 July 2015; pp. 1–5. [Google Scholar]
- Zhao, Z.; Zhang, Y.; Zhang, Y. A comparative study of parking occupancy prediction methods considering parking type and parking scale. J. Adv. Transp. 2020, 10, 5624586. [Google Scholar] [CrossRef]
- Shao, W.; Zhang, Y.; Guo, B.; Qin, K.; Chan, J.; Salim, F.D. Parking Availability Prediction with Long Short Term Memory Model. In Lecture Notes in Computer Science, Proceedings of the Intenational Conference on Green, Pervasive, and Cloud Computing. GPC 2018, Hangzhou, China, 11–13 May 2018; Li, S., Ed.; Springer: Cham, Switzerland, 2019; p. 11204. [Google Scholar]
- Feng, Y.; Xu, Y.; Hu, Q.; Krishnamoorthy, S.; Tang, Z. Predicting vacant parking space availability zone-wisely: A hybrid deep learning approach. Complex Intell. Syst. 2022, 8, 4145–4161. [Google Scholar] [CrossRef]
- Zhang, F.; Feng, N.; Liu, Y.; Yang, C.; Zhai, J.; Zhang, S.; He, B.; Lin, J.; Du, X. PewLSTM: Periodic LSTM with Weather-Aware Gating Mechanism for Parking Behavior Prediction. In Proceedings of the Twenty-Ninth International Joint Conference on Artificial Intelligence and Seventeenth Pacific Rim International Conference on Artificial Intelligence {IJCAI-PRICAI-20}, Yokohama, Japan, 7–15 January 2020; pp. 4424–4430. [Google Scholar]
- Feng, N.; Zhang, F.; Lin, J.; Zhai, J.; Du, X. Statistical Analysis and Prediction of Parking Behavior. In Lecture Notes in Computer Science, Proceedings of the IFIP International Conference on Network and Parallel Computing, Hohhot, China, 23–24 August 2019; Springer: Cambridge, UK, 2019; pp. 93–104. [Google Scholar]
- Liu, F.; Hao, F.; Hao, J.; Zhou, Y.; Xin, G. Parking prediction algorithm based on optimized LSTM model. J. Comput. Appl. 2019, 39 (Suppl. 1), 65–69. [Google Scholar]
- Samaranayake, P.; Gunawardana, U. Parking Assessment in the context of growing construction activity and infrastructure changes: Simulation of impact scenarios. Sustainability 2022, 14, 5098. [Google Scholar] [CrossRef]
- Chen, H.; Tu, X.; Wang, Y.; Zhen, J. Short-term parking space prediction based on wavelet-ELM neural networks. J. Jilin Univ. 2017, 55, 388–392. [Google Scholar]
- Rong, Y.; Xu, Z.; Yan, R.; Ma, X. Du-Parking: Spatio-Temporal Big Data Tells You Realtime Parking Availability. In Proceedings of the 24th ACM SIGKDD International Conference on Knowledge Discovery & Data Mining 2018, London, UK, 19–23 August 2018; 2018; pp. 646–654. [Google Scholar]
- Zhang, W.; Liu, H.; Liu, Y.; Zhou, H.; Xiong, H. Semi-supervised hierarchical recurrent graph neural network for city-wide parking availability prediction. arXiv 2019, arXiv:1911.10516. [Google Scholar]
- Lu, K.; Lin, M.; Deng, X.; Xu, G.; Xu, J. A dynamic allocation and guidance model for parking spaces with minimum total parking costs. J. South China Univ. Technol. 2018, 46, 82–91+98. [Google Scholar]
- Liu, J.; Zhu, H.; Peng, L. Real-time parking guidance model basd on game between system and user. Comput. Simul. 2019, 36, 166–170. [Google Scholar]
- Jelen, G.; Podobnik, V.; Babic, J. Contextual prediction of parking spot availability: A step towards sustainable parking. J. Clean. Prod. 2021, 5, 127684. [Google Scholar] [CrossRef]
- Yang, S.; Ma, W.; Pi, X.; Qian, S. A deep learning approach to real-time parking occupancy prediction in spatio-temporal networks incorporating multiple spatio-temporal data sources. Transp. Res. Part C: Emerg. Technol. 2019, 107, 248–265. [Google Scholar] [CrossRef]
- Zheng, Y.; Rajasegarar, S.; Leckie, C. Parking Availability Prediction for Sensor-Enabled car Parks in Smart Cities. In Proceedings of the 2015 IEEE Tenth International Conference on Intelligent Sensors, Sensor Networks and Information Processing (ISSNIP), Singapore, 7–9 April 2015; pp. 1–6. [Google Scholar]
- Zhang, C.; Wang, X.; Ma, Z. Free parking space prediction and reliability analysis based on big data analysis. IEEE Access 2020, 8, 66609–66614. [Google Scholar] [CrossRef]
- Liu, S.; Guan, H.; Yan, H.; Yin, H. Unoccupied Parking Space Prediction of Chaotic Time Series. In Proceedings of the Tenth International Conference of Chinese Transportation Professionals (ICCTP), Beijing, China, 4–8 August 2010; pp. 2122–2131. [Google Scholar]
- City of Melbourne Open Data, 2019. Available online: https://data.melbourne.vic.gov.au/ (accessed on 1 November 2019).
- Bureau of Meteorology, Commonwealth of Australia. Available online: http://www.bom.gov.au/climate/dwo/IDCJDW3050.latest.shtml (accessed on 1 September 2022).
- Fokker, E.S.; Koch, T.; van Leeuwen, M.; Dugundji, E.R. Short-term forecasting of off-street parking occupancy. Transp. Res. Rec. 2022, 2676, 637–654. [Google Scholar] [CrossRef]
- Cho, K.; van Merrienboer, B.; Gulcehre, C.; Bahdanau, D.; Bougares, F.; Schwenk, H.; Bengio, Y. Learning phrase representations using RNN encoder-decoder for statistical machine translation. arXiv 2014, arXiv:1406.1078. [Google Scholar]
- Hochreiter, S.; Schmidhuber, J. Long short-term memory. Neural Comput. 1997, 9, 1735–1780. [Google Scholar] [CrossRef] [PubMed]
- Chung, J.; Gulcehre, C.; Cho, K.; Bengo, Y. Empirical evaluation of gated recurrent neural networks on sequence modeling. arXiv 2014, arXiv:1412.3555. [Google Scholar]
- Sutskever, I.; Vinyals, O.; Le, Q.V. Sequence to sequence learning with neural networks. arXiv 2014, arXiv:1409.3215. [Google Scholar]
- Gers, F.A.; Schraudolph, N.N.; Schmidhuber, J. Learning precise timing with LSTM recurrent networks. J. Mach. Learn. Res. 2002, 3, 115–143. [Google Scholar]
- Lei, T.; Zhang, Y.; Wang, S.; Dai, H.; Artzi, Y. Simple recurrent units for highly parallelizable recurrence. arXiv 2017, arXiv:1709.02755. [Google Scholar]












| Street Name | Swanston Street | Collins Street | Flinders Lane | Elizabeth Street | Bourke Street | Little Bourke Street | William Street | Queensberry Street |
|---|---|---|---|---|---|---|---|---|
| Label of parking lot | PL1 | PL2 | PL3 | PL4 | PL5 | PL6 | PL7 | PL8 |
| Area | University | Docklands/City Square | Twin Towers | China Town/ Victoria Market | Windsor | Windsor/Princes Theatre | Queensberry | Queensberry |
| Scale | 31 | 111 | 31 | 61 | 195 | 48 | 169 | 60 |
| Data sizes | 12367 | 163334 | 30953 | 63900 | 197075 | 45372 | 112702 | 33253 |
| Type | Commercial parking | Streetside Parking | Commercial Parking | Mixed Functional Parking | Commercial Parking | Commercial Parking | Commercial Parking | Commercial Parking |
| Features | Describe |
|---|---|
| Parking lots | Unique identification of parking space sensor |
| Arrival time | Date and time when the sensor detected that the vehicle arrives |
| Departure time | Date and time when the sensor detected that the vehicle departs |
| During time | Time difference between arrival time and departure time events, in seconds |
| Street name | Street signs for each group of parking spaces |
| Features | Describe |
|---|---|
| Temperature | °C |
| Wind | km/h |
| Pressure | mmHg |
| Relative humidity | Pa/Pa |
| Precipitation in the past hour | mm |
| Models | Time Interval | Mean Accuracy |
|---|---|---|
| Simple LSTM | 10 min | 60.31% |
| 20 min | 65.43% | |
| 30 min | 66.10% | |
| Improved LSTM | 10 min | 77.08% |
| 20 min | 78.28% | |
| 30 min | 77.15% |
Publisher’s Note: MDPI stays neutral with regard to jurisdictional claims in published maps and institutional affiliations. |
© 2022 by the authors. Licensee MDPI, Basel, Switzerland. This article is an open access article distributed under the terms and conditions of the Creative Commons Attribution (CC BY) license (https://creativecommons.org/licenses/by/4.0/).
Share and Cite
Jin, B.; Zhao, Y.; Ni, J. Sustainable Transport in a Smart City: Prediction of Short-Term Parking Space through Improvement of LSTM Algorithm. Appl. Sci. 2022, 12, 11046. https://doi.org/10.3390/app122111046
Jin B, Zhao Y, Ni J. Sustainable Transport in a Smart City: Prediction of Short-Term Parking Space through Improvement of LSTM Algorithm. Applied Sciences. 2022; 12(21):11046. https://doi.org/10.3390/app122111046
Chicago/Turabian StyleJin, Bowen, Yu Zhao, and Jing Ni. 2022. "Sustainable Transport in a Smart City: Prediction of Short-Term Parking Space through Improvement of LSTM Algorithm" Applied Sciences 12, no. 21: 11046. https://doi.org/10.3390/app122111046
APA StyleJin, B., Zhao, Y., & Ni, J. (2022). Sustainable Transport in a Smart City: Prediction of Short-Term Parking Space through Improvement of LSTM Algorithm. Applied Sciences, 12(21), 11046. https://doi.org/10.3390/app122111046

