Abstract
The hypergraph offers a platform to study structural properties emerging from more complicated and higher-order than pairwise interactions among constituents and dynamical behavior, such as the spread of information or disease. Considering the higher-order interaction between multiple nodes in the system, the mathematical model of infectious diseases spreading on simple scale-free networks is extended to hypernetworks based on hypergraphs. A SIS propagation model based on reaction process strategy in a universal scale-free hypernetwork is constructed, and the theoretical and simulation analysis of the model is carried out. Using mean field theory, the analytical expressions between infection density and hypernetwork structure parameters as well as propagation parameters in steady state are given. Through individual-based simulation, the theoretical results are verified and the infectious disease spread process under the structure of the hypernetwork and simple scale-free network is compared and analyzed. It becomes apparent that infectious diseases are easier to spread on the hypernetworks, showing the clear clustering characteristics of epidemic spread. Furthermore, the influence of the hypernetwork structure and model parameters on the propagation process is studied. The results of this paper are helpful in further studying the propagation dynamics on the hypernetworks. At the same time, it provides a certain theoretical basis for the current COVID-19 prevention and control in China and the prevention of infectious diseases in the future.
1. Introduction
Infectious diseases have been a great threat to human society since ancient times. In history, major events of infectious diseases occurred continuously, which caused great disasters to human beings [1]. With the acceleration of globalization and the development of science and technology, population flow is becoming increasingly rapid and frequent. The world is interdependent and interrelated, which provides the possibility for the rapid spread of infectious diseases. Therefore, it is of great theoretical and practical significance to explore and study the pathological principles and propagation laws of various infectious diseases. Particularly in the context of the current COVID-19 pandemic, it is increasingly important to study the pathogenesis, spread laws, evolutionary trends, and prevention and control strategies of infectious diseases. Moreover, it has become the current research field of complex systems and epidemic dynamics [2,3].
There has been a long history of research on infectious disease modeling, propagation law, and corresponding immunization strategies. Traditional epidemiological studies have focused on mathematical models of the spread of infectious diseases using differential equations. This approach has made some success in explaining some of the spread of infectious diseases, but it focuses on uniformly mixed populations and ignores differences in infectivity among individuals. It is impossible to describe the spread process of infectious diseases in real large-scale social networks with clear heterogeneity. Whether it is a disease, a computer virus or a rumor, their spread will inevitably be affected by the network topology structure. At the end of the 20th century, with the emergence of small world networks and scale-free networks [4,5], complex network theory developed rapidly. With the upsurge of complex system and network science research, people began to study the dynamic characteristics of network propagation of infectious diseases, and the method of combining complex network theory with epidemiology has become an important trend in the dynamic modeling of infectious diseases [6]. From the perspective of complex network, scholars regard individuals as nodes and the contact relationship between individuals as connecting edges to construct network structure, which can depict the spread process of disease more truly. The development and derivation of many network models provide a new direction for the study of infectious disease dynamics. Among them, there are three most classic ones: The first is the mean field model proposed by Pastor-Satorras and Vespignani [7,8,9] in 2001; the second is the seepage model proposed by Newman [10] in 2002, and the related branching process method and probability generating function method; and the third is the discrete probability model proposed by Wang et al. in 2003 [11]. In addition to the spread of infectious diseases, many information diffusion models have also been developed [12,13].
In the traditional complex network structure, each edge can only be associated with two nodes, which can only describe the interaction of pairwise nodes. Namely, network models based on binary interactions are insufficient to provide a complete description of complex systems. To overcome the limitations of simple scale-free networks in describing large-scale complex systems, scholars try to depict real systems with hypernetworks based on hypergraphs. The hyperedge in the hypernetwork can contain any number of nodes, which can well express the higher-order interaction relationship between nodes. Therefore, as a form of higher-order networks, hypernetwork is more suitable for describing more complex social connections (micro-communities) captured by hyperlinks beyond standardly used pairwise couplings and the clustering characteristics of epidemic spread in the real world. At present, the research of hypernetwork mainly focuses on the analysis of static topology index and the construction of dynamic evolution model. Studies on static topology indicators include subgraph centrality and clustering coefficient [14], and other indicators include hyperdegree of node, degree of hyperedge, hyperedge overlap, etc. In terms of dynamic evolution model construction of hypernetwork, Wang [15] proposed a hypernetwork evolution model based on growth and preferential attachment mechanism, in which “one old node and several new nodes generate a new hyperedge”. In like manner, Hu [16] proposed that “several old and new nodes generate a new hyperedge” of the hypernetwork evolution model. On the basis of the above two evolution models, Guo [17] proposed a unified evolution model of hypernetwork where “several old nodes and several new nodes generate several new hyperedges” and in this paper, we call it “universal scale-free hypernetwork”. In the hypernetworks obtained by the above three construction models, the hyperdegree distributions of their nodes all follow the power-law form and have scale-free characteristics.
In the research of complex networks, the simulation of propagation process based on pairwise interaction has been widely and deeply studied. However, in many scenarios, communication in the real system may be realized through multiple interactions, while higher-order propagation refers to the propagation process that requires multiple interactions and takes place in a higher-order structure. The research on higher-order propagation can explain the propagation phenomenon from a new perspective and discover the dynamics properties missing from the perspective of pairwise interaction. Propagation models cover many aspects, from different types to richer substrates underlying the process itself. Nevertheless, as recently argued in [18], real data are revealing that pairwise relationships—the fundamental interaction units of networks—do not capture complex dependencies. Therefore, higher-order interactions are ubiquitous, and understanding their properties and impacts is of paramount importance. Combinatorial higher-order models [18] offer a way to describe these systems as they overcome the limitations of lower-order network models. In a first attempt, Bodó [19] proposed an SIS disease spreading model in a hypergraph. Next, Iacopini [20] presented a higher-order model of social contagion defined on simplicial complexes and provided approximate solutions for complexes of order three. Jhun [21] studied the SIS propagation problem on a scale-free uniform hypergraph, explored the influence of hub nodes on the propagation, and used analytical and numerical methods to determine the critical exponent for the occurrence of infectious disease transitions. Furthermore, Barrat [22] investigated the propagation process on hypergraphs and generalized it to several mean-field and heterogeneous mean-field approaches, where continuous and discontinuous phase transitions are observed from higher-order propagation, and critical mass effects emerge. Pedro Cisneros-Velarde [23] analyzed a SIS model of infectious disease spread on hypergraphs and found that due to the newly introduced higher-order interaction terms, a new dynamical behavior domain emerged: Disease-free equilibrium and endemic equilibrium coexist, and are locally asymptotically stable. Importantly, St-Onge [24] leveraged a hypergraph model to certify the heterogeneity of environments and the heterogeneity of individual participation in these environments and found that under nonlinear infection kernels, conventional epidemic wisdom breaks down with the emergence of discontinuous transitions, super-exponential spread, and hysteresis.
All of the above models presented new phenomenological patterns associated with the critical properties of the dynamics. However, those proposed models are still very constrained, both structurally and dynamically. Here, we extend their model both structurally and dynamically. Structurally, we use hypergraphs, which generalize the concept of graphs, by allowing an edge to have an arbitrary number of nodes and generated a universal hypernetwork. Hypernetworks relax the structural restrictions required by simplicial complexes as they impose virtually no limitation on the type, size, and mutual inclusion of interactions, thus representing more faithfully and naturally real systems. From the dynamical viewpoint, we incorporate explicit mean field dynamics (considering higher-order interactions between multiple nodes within a hyperedge), generalizing the one modeled in [7]. We studied the law of infection propagation in hypernetwork from both theoretical and simulation levels and found that diseases can spread rapidly and widely in the hypernetwork due to the hyperlinks. In addition, each variable in the generated hypernetwork can affect the propagation process to varying degrees.
2. Theoretical Backgrounds
2.1. The concept of Hypergraph and Hypernetwork
In graph theory, a graph consists of numbers of given nodes and an edge connecting the two nodes, which is usually used to describe a specific relationship between things, where a node represents a thing, and an edge connecting two nodes represent corresponding specific relationships. A hypergraph is a generalization of a graph. Each edge in an ordinary graph can only connect two nodes, but a hyperedge in a hypergraph can connect two or more nodes.
The concept of hypergraph was first proposed by Berge in 1970 and defined as follows: Let , then are all finite sets, if and
, this is called binary relation , which is a hypergraph [25], where is the set of vertices of the hypergraph , and is the set of all hyperedges in the hypergraph . The elements in are called nodes of the hypergraph, and the elements in are called the hyperedges of the hypergraph. While represents the cardinality of the hyperedge , namely, the number of nodes contained in the hyperedge . If the cardinalities of all hyperedges are equal, the hypergraph is called a uniform hypergraph, otherwise it is called a non-uniform hypergraph. If , the hypergraph degenerates into an ordinary graph. The hyperdegree of a node is defined as the number of hyperedges that contain the node, denoted as , sometimes referred to as degree. The hyperdegree distribution of nodes in a hypergraph is the proportion of nodes with hyperdegree to the total nodes, namely, , where represents the number of nodes whose degree is . The average hyperdegree refers to the average hyperdegree of all nodes in the hypergraph, denoted as , namely,
. Figure 1 below is an example of a hypergraph, the nodes with hyperdegree 1 are , and the nodes with hyperdegree 2 are .
Figure 1.
Graphical representation of a hypergraph. Mathematically, , , where the hyperedges are , , , and .
Estrada et al. [14] believed that a network that can be represented by a hypergraph is a hypernetwork. The hypernetwork in this paper is a hypernetwork with a hypergraph as the underlying topology. Its mathematical definition is as follows: Let be a finite hypergraph, is the mapping from to , then for a given , is a finite hypergraph. Namely, a hypernetwork is a collection of hypergraphs that evolve over time .
2.2. SIS Epidemic Model
Infectious disease models are often used to describe the spread and development of infectious diseases. According to the division of individual states in the network, many infectious disease models have been developed, and one of the classic models is the SIS propagation model. In the SIS model, individuals are divided into two categories: Susceptible (S) and infected (I). When an infected person is in contact with a susceptible person, the susceptible one will be infected with probability to be an infected person; while the infected person is cured with probability and recovered as a susceptible person. At the same time, the cured susceptible person may still be re-infected and be a new infected one. Similar to the common flu, the flu is highly variable and most people will almost get the flu again. As the disease continues to spread in the network, the density of infected persons will reach a relatively stable value, and fluctuate slightly around this relatively stable value, which indicates that the spread of the disease in the network has reached a stable state.
The SIS model can be represented by the following differential equation:
Among them, and represent the proportion of susceptible and infected individuals in the network at time , satisfying , and are infection rate and recovery rate, respectively.
The corresponding state transition is shown in Figure 2.
Figure 2.
State transition diagram of the SIS propagation model, in which green and orange represent the susceptible and infected states respectively, and the arrows indicate the direction of the state transition.
3. Epidemic Models in Hypernetworks
3.1. Description of Model
The dynamics of infectious disease nodes on the network can actually be seen as information dissemination on a specific network structure, and the evolution of different types of nodes caused by information over time, which depends not only on the topology of the network, but also on the way of information spread. The spread of infectious diseases at the group level can be considered as the spread of infectious viruses or bacteria on social networks, which depends on both the way of contact between people (which constitutes a social contact network) and the infectivity of the virus. Based on the evolution model in [17], we construct a social contact hypernetwork, in which nodes represent people and hyperedges represent the complex interaction relationship between these individuals. The model construction parameters are described as follows: At the initial moment, there is a hyperedge containing nodes in the network, and new nodes are added to the network at each time step, old nodes in the network are selected to form a hyperedge. A total of hyperedges are formed in a time step. After time steps, when the total number of nodes in the network reaches the preset value , the cycle ends and the evolution terminates. We set , and get an -uniform hypernetwork with a total of nodes and hyperedges finally. When in the model, the hypernetwork unified model degenerates into the BA model (Barabasi-Albert scale-free network) of the simple scale-free network, thus the classic BA model can be regarded as a special case of this model. When the evolution is terminated, the hyperdegree distribution of the nodes in the hypernetwork is irrelevant with time , it depends on the number of nodes and hyperedges that have been added in the creation process of the network. The hyperdegree distribution of the hypernetwork generated by the above model is [17].
The reactive process strategy (RP) [26,27] shows global propagation, namely, the nodes enclosed in all hyperedges where the initial spreading node is located are the neighbor nodes of the initial spreading node, and will be affected by the initial spreading node. It is a form of higher-order interaction in hypernetworks based on hypergraph. The global propagation mechanism of infectious diseases based on RP strategy and SIS model under the hypernetwork structure can be described as follows:
- Construct a hypernetwork. The propagation process starts from a single infection source which is in infected state(I), and the rest of the nodes are all susceptible state(S).
- At each time step, all nodes in infected state(I) spread the disease to all neighboring nodes that are in susceptible state(S) in their hyperedges with probability , and the susceptible nodes(S) turn into infected state(I), while nodes in infected state(I) themselves recover to susceptible state(S) with probability .
- With the passage of time, the disease will continue to spread in the network, and eventually the system will reach a stable state, and the density of nodes in the states S and I will reach a relatively stable value and fluctuate slightly around this value.
The spreading process of infectious diseases under the above hypernetwork structure is shown in Figure 3, where the numbers are used to identify nodes. Red nodes represent infected individuals and hollow nodes represent susceptible individuals.
Figure 3.
Schematic illustration of the spreading process on hypernetwork. (a) When , node 4 was set as the initial spreading seed (I-state), and the other nodes were all in S-state; (b) when , neighbor nodes 2, 3, and 10 of node 4 were infected and turned into I-state; (c) when , neighbor node 7 of node 2, neighbor node 12 of node 3, neighbor node 8 of node 4, and neighbor node 9 of node 10 were infected, at the same time, nodes 2, 4, and 10 recovered (returning to S-state).
3.2. Theoretical Analysis
In a network structure with uneven degree distribution, the hyperdegree of each node is different, and the propagation ability of different nodes is also different. Scale-free hypernetwork is a typical hypernetwork with uneven distribution of hyperdegree. Under this network structure, the dynamic process of disease propagation has its unique characteristics and laws. In the global propagation mode based on the reaction process strategy, since the infected node can propagate to any neighbor node in any hyperedge where it is located at any time, the mean field theory can be used to analyze the above global propagation model. By extending the propagation dynamics equation of BA scale-free networks in simple scale-free networks described in [7], the dynamics mean field reaction rate equation of the SIS model under the hypernetwork structure described in Section 3.1 can be expressed as:
where is the relative density of infected nodes with given hyperdegree . The first term in the right-hand side considers the probability that infected nodes with hyperdegree recover to S-state. The second term in the right-hand side considers the probability that nodes with hyperdegree are in S-state and get infected through connected infected nodes. The probability of this term is proportional to the spreading rate , hyperdegree , the number of neighbors in one hyperedge , and the probability that any given hyperedge links to an infected node. Here, we do not consider the connectivity correlations. Therefore, the probability that a hyperedge encircles an infected node is only a function of the total density of infected nodes. The total density of infected nodes can be obtained by . In the steady state, is a function of spreading rate and recovering rate . As a result, the probability becomes an implicit function of and . The system reaches its stationarity which can be described as . Therefore, we obtain
Equation (3) shows that nodes with more neighbors will have a higher probability to be infected. When defining and calculating , the heterogeneity of the network must be taken into account, namely, the hyperdegree of each node is different, and the probability of choosing a hyperedge to contain (related to) that node will also be different. In fact, extending the conclusion in BA scale-free networks in simple scale-free networks, given any hyperedge, the probability that it encircles a node with hyperdegree is proportional to , yielding
Substituting Equation (3) into Equation (4), and , we have
The hyperdegree distribution of the constructed hypernetwork is , yielding
Substituting the hyperdegree distribution of and Equation (6) into Equation (5), leads to
Reducing Equation (7), we have
Substituting Equation (3) into , leads to
Substituting Equation (8) into Equation (9), finally we have
From Equation (10), in the steady state, the density of infected nodes is only a function independent of . Once the spreading rate, recovering rate, and the structure parameters of hypernetwork are given, can be calculated.
For the SIS model, we define the effective spreading rate , and without loss of generality we assume . Ignoring changes in births and deaths in the population, we assume that the total number of individuals is constant and that susceptible and infected individuals are uniformly mixed. Equation (5) can be written as
Equation (11) has a trivial solution . For the equation to have a non-zero solution, the condition must be satisfied:
Propagation critical value can be solved as
where is the average hyperdegree of the nodes in the hypernetwork, is the second-order moment of the node hyperdegree. The above formula shows that the propagation threshold is inversely proportional to . Namely, when the total number of neighbor nodes of the selected susceptible node in each hyperedge is greater, the more favorable the propagation is, the smaller the threshold will be. When , the model degenerates into a BA scale-free network on a complex network, at this time . When the scale of the scale-free hypernetwork tends to infinity (), the second-order moment , , thus there is no propagation threshold for the global propagation based on the reaction process policy on the scale-free hypernetwork, which indicates that even a small source of infection can spread across a large network.
4. Simulation Experiment and Analysis
In this section, the law of global spread of infectious diseases in the hypernetwork is explored through computer simulation. To test the model, we compare its theoretical results to stochastic simulations in hypernetworks. In addition, the effects of network structure, hypernetwork scale, initial spreading node, hypernetwork structure parameters, and spread parameters on the propagation process of infectious diseases were studied. The hypernetworks are generated according to the algorithms introduced in Section 3.1. Typically, social members have a relatively stable environment of life and work, thus we assume that the hypernetwork structure is static. Initially, one node is chosen as the spreading seed. The simulation continues until the system reaches its steady state. To eliminate random effects, each simulation result is obtained by averaging over 50 independent runs under the same initial conditions. To describe the dynamic process of the global spread of infectious diseases, we obtain the trend of the density of infected nodes over time.
4.1. Comparative Analysis with Theoretical Results
The effective spreading rate only affects the speed of disease diffusion. Without loss of generality, we let , , and the recovering rate is set as in the simulations. In Figure 4, the curves are theoretical results calculated by Equation (10), and the discrete points are the densities of infected nodes in the steady state. As shown, infectious diseases will be spread to the whole hypernetwork even with a small value of effective spreading rate, thus there is no spreading threshold in RP strategy. The theoretical analysis is in good agreement with simulations.
Figure 4.
Densities of obtained by theoretical analysis and simulations in the stable state.
4.2. Comparative Analysis of Hypernetwork and Complex Network Structures
To compare the propagation process of infectious diseases under different network structures, two networks with a scale of were generated, respectively. The first network is a hypernetwork. The construction process is based on Section 3.1, and the parameters are set as , , and . The second network structure is a simple scale-free network. The construction process is based on the BA scale-free model, and the number of edges added at each time step is . After the analysis, the average hyperdegree in the obtained hypernetwork is , and the average degree in the complex network is . During the spread process, the node numbered 31 (with a degree of 6) and the node numbered 45 (with a degree of 4) were selected as the initial spreading nodes in the two networks, respectively. Let and . Figure 5a shows the change curve of the spread of infectious diseases under the two network structures. It can be seen that in the hypernetwork structure, the infectious disease spreads rapidly to the entire network, while the comprehensive spread of the infectious disease in the simple scale-free network takes a certain amount of time. Under the hypernetwork structure, when the system reaches a steady state, the proportion of infected individuals is also higher than in the complex network structure. In fact, in the hypernetwork structure, each individual will be influenced by all other neighbors in the social contact relationship. The contact between individuals is a higher-order interaction that is more complex than the pairwise interaction in a simple scale-free network, and the propagation will be faster, showing clear clustering characteristics of epidemic spread. Therefore, the hypernetwork structure can better reflect the reality and simulate the spread process and situation of infectious diseases in the real world.
Figure 5.
The simulated density of infected nodes vs. time for different network structures. (a) Contrast between scale-free hypernetwork and simple scale-free network; (b) Contrast between degenerated scale-free hypernetwork and simple scale-free network.
Furthermore, we construct a hypernetwork whose structural parameters are set as , , (the mean value of the hyperdegree in the hypernetwork is ), aiming at comparing the infectious disease propagation process in the simple scale-free network generated by the BA model. In the two networks, the node numbered 39 (with a degree of 4) and the node numbered 41 (with a degree of 4) were selected as the initial spreading nodes. Taking .2, , we test the change curve of density of infected individuals under two network structures. As shown in Figure 5b, under the same parameters of propagation and recovery rates, from the initial propagation trend to the steady state, the infectious disease propagation curves of the simple scale-free network and the hypernetwork structure are basically consistent. In fact, when the hypernetwork structure parameters are set to , , , the model degenerates into a simple scale-free network model, and the simulation results fully illustrate this feature. Therefore, the epidemic propagation model on the classical complex network BA model can be regarded as a special case of the model in this paper. In addition, the introduction of hyperedges in hypernetworks can better describe the interaction between multiple nodes in the intricate social network. This unique advantage is beyond the reach of simple scale-free network methods.
4.3. Effects of Hypernetwork Scale
To study the influence of hypernetwork scale on the propagation process, the fixed hypernetwork structure parameters are: , , , , and the fixed propagation parameters are: , . The three hypernetwork scales are set as: N = 1000, 2000, 5000. The node whose hyperdegree is equal to the average hyperdegree in the hypernetwork is selected as the initial spreading node. Figure 6a shows the global spread curve of infectious diseases under different hypernetwork scales. As can be seen from the figure, the three curves are almost coincident, when the system reaches a steady state, the time required and the density of infected nodes are the same, indicating that the size of the hypernetwork has little influence on the global spread of infectious diseases. Therefore, the following simulation experiments are carried out in the hypernetwork structure of scale N = 2000.
Figure 6.
The simulated density of infected nodes vs. time for different hypernetwork scales (a) and initial spreading seed (b).
4.4. Effects of Spreading Seed
To study the influence of the initial spreading node on the propagation process, the fixed hypernetwork structure parameters are:, , , , and the fixed propagation parameters are: , . The three nodes with the smallest hyperdegree value (numbered 38), the average hyperdegree value (numbered 58), and the largest hyperdegree value (numbered 3) in the hypernetwork were selected as the initial spreading nodes for simulation experiments. The propagation curve is shown in Figure 6b. It can be seen from the figure that the greater the hyperdegree of the initial spreading node, the shorter the time for the propagation to reach the steady state, but in the steady state, the three curves converge to the same value. This is mainly due to the high connectivity of the constructed contact hypernetwork. The larger the node hyperdegree, the more social contacts it participates in, and when it is infected, it will be more conducive to the spread of the disease, which is in line with the reality. To make the simulation experiments scientific, the following simulation experiments select the node whose hyperdegree is the mean value in the hypernetwork as the initial spreading node.
4.5. Effects of Structure Parameters
The network topology structure has a direct impact on the propagation process. We set the model parameters as follows: Infection rate , recovery rate , to test the influence of different structural parameters in the hypernetwork on the spread of infectious diseases.
4.5.1. Effects of m
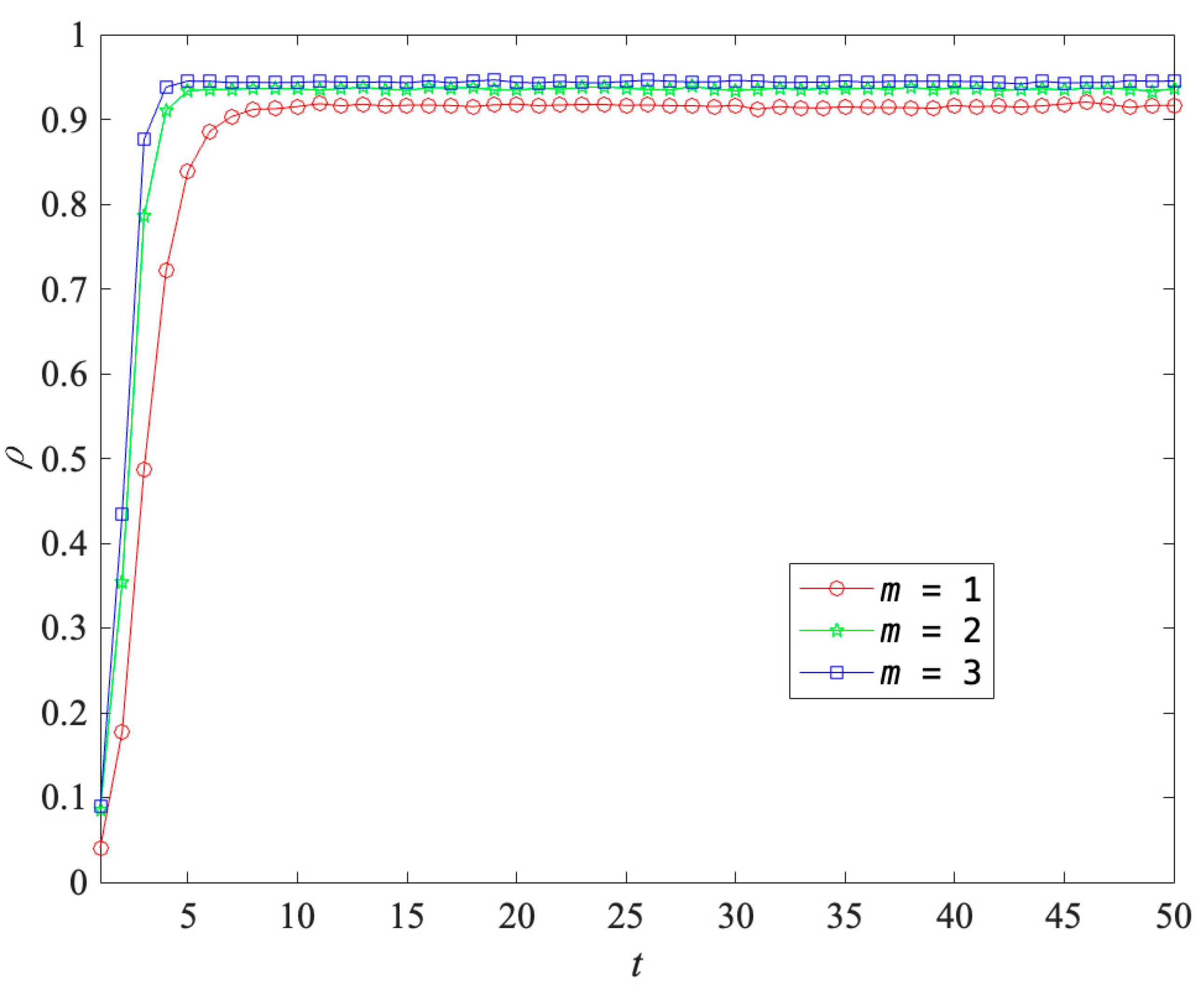
Here, represents the number of hyperedges formed at each time step, and the larger the value of , the more social contact relationships the individual participates in. To study the influence of on the propagation process, the fixed hypernetwork structure parameters are: , , , where is set to 1, 2, 3. The global propagation curve of the infectious disease is shown in Figure 7 below. It can be seen from the figure that the larger the value of , the shorter the time it takes for the propagation to reach the steady state, and the higher the density of infected nodes in the steady state. In the following experiments, is set when constructing the hypernetwork model.
Figure 7.
The simulated density of infected nodes vs. time for different numbers of hyperedges .
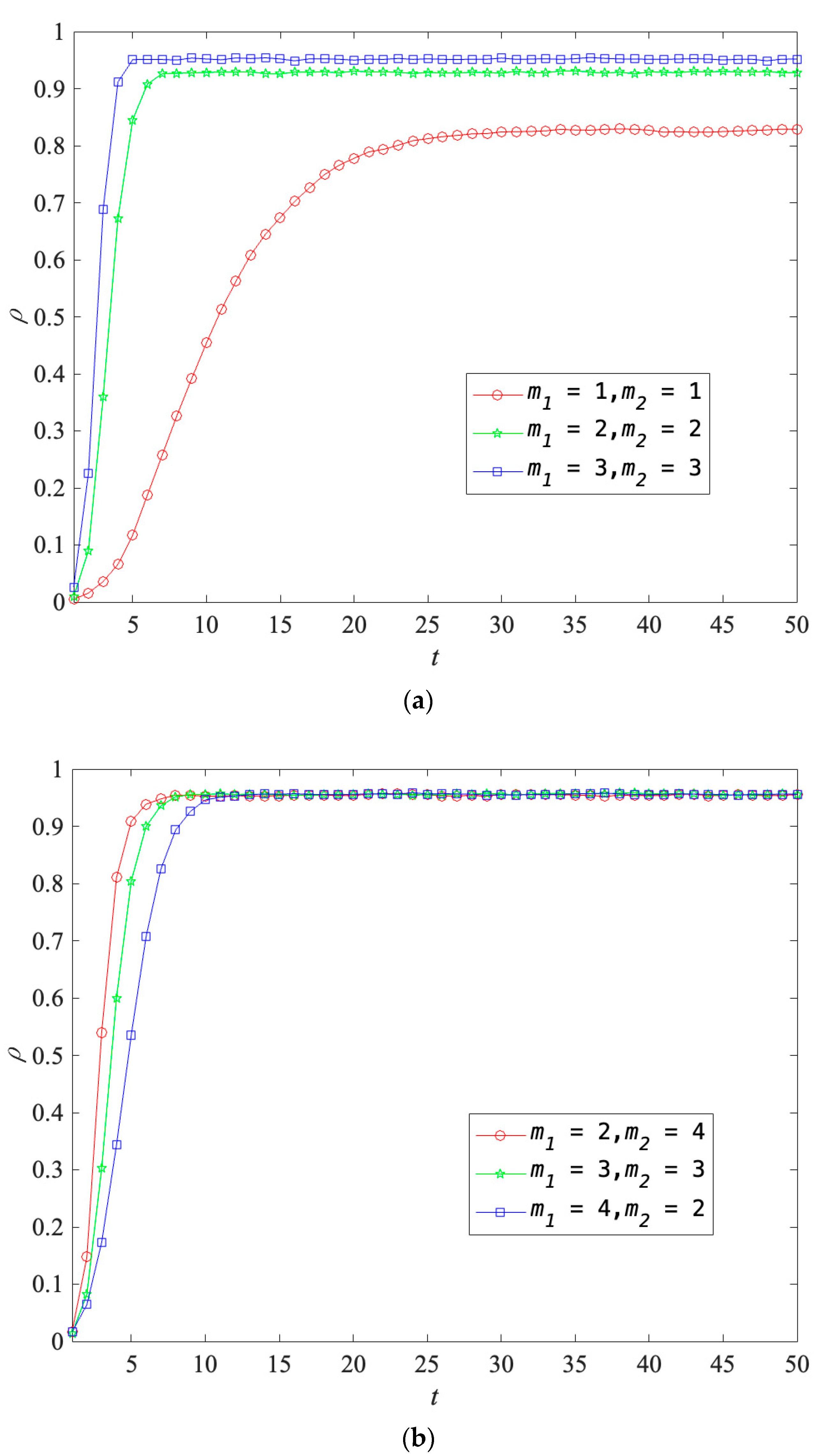
4.5.2. Effects of m1 and m2
Here, represents the number of new nodes entering the network at each time step. To study the influence of on the propagation process, we set the structure parameters as follows: , , the corresponding . The infectious disease propagation curve is shown in Figure 8a. The three curves show similar trends, with a maximum density of infected nodes in the network at the 12th time step, followed by a slight fluctuation. In addition, the larger the value of , the larger the density of infected nodes in steady state, but the difference is not very significant.

Figure 8.
The simulated density of infected nodes vs. time for different numbers of new nodes (a) and old nodes (b).
Here, represents the number of old nodes selected each time when a new node enters. To study the influence of on the propagation process, the fixed hypernetwork structure parameters are: , , the corresponding . The infectious disease propagation curve is shown in Figure 8b. With the increase in the number of old nodes selected each time, the probability of old nodes being selected increases, which indicates that the average hyperdegree value of the network increases. The greater the average value of individuals participating in social contact relationships, the faster the propagation of infectious diseases. Simulation experiments show this propagation. As can be seen from the figure, when , the disease breaks out rapidly in the network, while when , it takes a relatively long time for the disease to fully spread in the network. In addition, the larger the value, the larger the density of infected individuals in the steady state, indicating that the spread of infectious diseases is wider.
Here, and together determine the number of neighbor nodes of a given node, and the number of neighbor nodes will directly affect the process and result of the spread of infectious diseases. We set the hypernetwork structure parameters as follows:, , corresponding . The infectious disease propagation curve is shown in Figure 9a. It can be clearly seen that the larger the value of , the shorter the time for the propagation to reach the steady state, and the greater the density of infected individuals in the steady state. Furthermore, we set the same value of , but different values of and as follows:, , corresponding . The infectious disease propagation curve is shown in Figure 9b. From the figure, we can see that when the system reaches a steady state, the density of infected nodes is equal in three cases. However, interestingly, at the same value of , the larger the value, the faster the system reaches a steady state. It shows that the more neighbor nodes an infected individual has, the easier it is for the large-scale spread of infectious diseases, which is also consistent with our theoretical analysis in Section 3.2 as well as the actual situation.
Figure 9.
The simulated density of infected nodes vs. time for different values of . (a) , whereas the value of varies; (b) , but has the same value.
4.6. Effects of Spreading and Recovering Rates
The network structure parameters are fixed as , , and the effects of different spreading and recovering rates on the spread of infectious diseases are tested.
4.6.1. Effects of β
Taking the recovering rate and the spreading rate β = 0.3, 0.5, 0.7, the infectious disease propagation curve is shown in Figure 10a. The spreading rate represents the spread ability of an individual. As the value increases, the initial spread of the disease is enhanced. The larger the value of , the faster the disease spreads, and the more quickly it can spread across the network. When is 0.7, the number of infected people in the third time step network reaches the maximum, and when is 0.3, the number of infected people in the 5th time step network reaches the maximum. Thereafter, the three curves show fluctuations with gradually decreasing amplitudes, and finally tend to be stable. With the passage of time, some infected individuals will return to a susceptible state, and some susceptible individuals will be transformed into an infected state again due to the repeated spread of the disease, and the system will continue to oscillate and eventually reach a stable state. Due to the high connectivity of the hypernetwork structure, infected individuals account for the vast majority at steady state.

Figure 10.
The simulated density of infected nodes vs. time for different spreading rates of (a) and recovering rates of (b).
4.6.2. Effects of γ
Taking spreading rate and recovering rate γ = 0.1, 0.2, 0.3, the infectious disease propagation curve is shown in Figure 10b. The recovering rate represents an individual’s resistance to disease. It can be seen from the figure that the time required for the three curves to reach the highest point is not very different. From the 4th time step, the three curves all show fluctuations with gradually decreasing amplitudes, and finally tend to be stable. It can be seen that with the increase in value, the proportion of infected individuals in the network decreases significantly at steady state, which is in line with the actual situation.
5. Conclusions and Discussion
To characterize the spread of infectious diseases in real social contact networks, based on the dynamic evolution model of the scale-free hypernetwork and the SIS propagation model, this paper uses analytical and simulation methods to study the dynamic process of the global spread of diseases under the hypernetwork structure. The simulation results show that the theoretical results are in complete agreement with the simulation experiments. Through analysis of hypernetworks, infectious diseases can spread more widely and more rapidly in a population. The size of the hypernetwork has little effect on the global spread of the disease, while the selection of the initial propagation node has a greater impact on the rapid spread of the infectious disease in the early stage, and has less impact on the steady-state behavior of the system. Furthermore, by changing the structural parameters of the hypernetwork for simulation, it is found that the larger the number of old nodes selected each time and the number of hyperedges formed each time, the faster the spread of infectious diseases and the wider the spread. The number of new nodes has less impact on the spread of infectious diseases. The contagion rate not only affects the initial spread of infectious diseases, but also affects the steady-state behavior. The recovery rate mainly affects the spread of the disease in the later stable stage. The smaller the recovery rate, the larger the proportion of infected people in the network in the steady state.
This paper mainly focuses on the dynamic process of the spread of infectious diseases in the uniform scale-free contact hypernetwork, revealing the evolution law of the network dynamics of infectious diseases from a macro perspective, which contributes to the discussion regarding the use of hypernetworks in the study of epidemics. In addition, it provides some theoretical references for relevant departments to prevent and control infectious diseases. In practice, the spread of infectious diseases in social networks is often affected by many complex factors. From the point of view of network dynamics, more sophisticated methods than before are needed to capture important aspects of the phenomenon of real social contagion. Whether non-uniform hypernetworks and dynamic hypernetworks have unique propagation characteristics remains to be further explored. Modeling on real network data, and the integration of environmental heterogeneity during transmission as well as individual heterogeneity into the hypernetwork model will also be a key research direction in the future.
Author Contributions
Investigation, K.W.; methodology, K.W. and Y.G.; resources, F.H.; software, K.W. and Y.G.; validation, Y.G. and F.H.; formal analysis, K.W.; writing—original draft preparation, K.W.; writing—review and editing, K.W. and F.H.; supervision, F.H. All authors have read and agreed to the published version of the manuscript.
Funding
This paper was supported by the National Natural Science Foundation of China (Grant No. 61663041).
Institutional Review Board Statement
Not applicable.
Informed Consent Statement
Not applicable.
Data Availability Statement
Not applicable.
Conflicts of Interest
The authors declare no conflict of interest.
References
- Small, M.; Tse, C.K.; Walker, D.M. Hyper-spreaders and the rate of transmission of the SARS virus. Phys. D Nonlinear Phenom. 2006, 215, 146–158. [Google Scholar] [CrossRef] [PubMed]
- Li, Q.; Guan, X.; Wu, P.; Wang, X.; Zhou, L.; Tong, Y.; Ren, R.; Leung, K.S.M.; Lau, E.H.Y.; Wong, J.Y.W.; et al. Early transmission dynamics in Wuhan, China, of novel coronavirus–infected pneumonia. N. Engl. J. Med. 2020, 382, 1199–1207. [Google Scholar] [CrossRef]
- Liu, X.F.; Xu, X.K.; Wu, Y. Mobility, exposure, and epidemiological timelines of COVID-19 infections in China outside Hubei province. Sci. Data 2021, 8, 54. [Google Scholar] [CrossRef] [PubMed]
- Watts, D.J.; Strogatz, S.H. Collective dynamics of ‘small-world’ networks. Nature 1998, 393, 440–442. [Google Scholar] [CrossRef] [PubMed]
- Barabási, A.L.; Albert, R. Emergence of Scaling in Random Networks. Science 1999, 286, 509–512. [Google Scholar] [CrossRef] [PubMed]
- Cui, Y.; Chen, S.; Fu, X. Calculation of basic Regeneration number in Several Infectious Disease Models. Complex Syst. Complex. Sci. 2019, 14, 14–31. [Google Scholar]
- Pastor-Satorras, R.; Vespignani, A. Epidemic spreading in scale-free networks. Phys. Rev. Lett. 2000, 86, 3200–3203. [Google Scholar] [CrossRef]
- Pastor-Satorras, R.; Vespignani, A. Epidemic dynamics in finite size scale-free networks. Phys. Rev. E 2002, 65, 035108. [Google Scholar] [CrossRef]
- Pastor-Satorras, R.; Vespignani, A. Epidemic dynamics and endemic states in complex networks. Phys. Rev. E Stat. Nonlinear Soft Matter Phys. 2001, 63, 066117. [Google Scholar] [CrossRef]
- Newman, M. The spread of epidemic disease on networks. Phys. Rev. E Stat. Nonlinear Soft Matter Phys. 2002, 66 Pt 2, 016128. [Google Scholar] [CrossRef]
- Wang, Y.; Chakrabarti, D.; Wang, C.; Faloutsos, C. Epidemic spreading in real networks: An eigenvalue viewpoint. In Proceedings of the 22nd International Symposium on Reliable Distributed Systems, Florence, Italy, 6–8 October 2003; IEEE: Piscataway, NJ, USA, 2003; pp. 25–34. [Google Scholar]
- Zhang, Z. Mechanisms and dynamics of information spreading on online social networks: A state-of-the-art survey. J. China Soc. Sci. Tech. Inf. 2017, 36, 422–431. [Google Scholar]
- Suo, Q.; Guo, J.L.; Shen, A.Z. Information spreading dynamics in hypernetworks. Phys. A Stat. Mech. Appl. 2018, 495, 475–487. [Google Scholar] [CrossRef]
- Estrada, E.; Rodríguez-Velázquez, J.A. Subgraph centrality and clustering in complex hyper-networks. Phys. A Stat. Mech. Appl. 2006, 364, 581–594. [Google Scholar] [CrossRef]
- Wang, J.W.; Rong, L.L.; Deng, Q.H.; Zhang, J.Y. Evolving hypernetwork model. Eur. Phys. J. B 2010, 77, 493–498. [Google Scholar] [CrossRef]
- Hu, F.; Zhao, H.; Ma, X. An evolving hypernetwork model and its properties. Sci. Sin. Phys. Mech. Astron. 2013, 43, 16–22. [Google Scholar] [CrossRef]
- Guo, J.L.; Zhu, X.Y. Emergence of scaling in hypernetworks. Acta Phys. Sin. 2014, 63, 090207. [Google Scholar]
- Lambiotte, R.; Rosvall, M.; Scholtes, I. From networks to optimal higher-order models of complex systems. Nat. Phys. 2019, 15, 313–320. [Google Scholar] [CrossRef]
- Bodó, Á.; Katona, G.Y.; Simon, P.L. SIS epidemic propagation on hypergraphs. Bull. Math. Biol. 2016, 78, 713–735. [Google Scholar] [CrossRef]
- Iacopini, I.; Petri, G.; Barrat, A.; Latora, V. Simplicial models of social contagion. Nat. Commun. 2019, 10, 2485. [Google Scholar] [CrossRef]
- Jhun, B.; Jo, M.; Kahng, B. Simplicial SIS model in scale-free uniform hypergraph. J. Stat. Mech. Theory Exp. 2019, 2019, 123207. [Google Scholar] [CrossRef]
- Barrat, A.; Ferraz de Arruda, G.; Iacopini, I.; Moreno, Y. Social contagion on higher-order structures. In Higher-Order Systems; Springer: Cham, Switzerland, 2022; pp. 329–346. [Google Scholar]
- Cisneros-Velarde, P.; Bullo, F. Multi-group SIS epidemics with simplicial and higher-order interactions. IEEE Trans. Control. Netw. Syst. 2021, 9, 695–705. [Google Scholar] [CrossRef]
- St-Onge, G.; Sun, H.; Allard, A.; Hébert-Dufresne, L.; Bianconi, G. Universal nonlinear infection kernel from heterogeneous exposure on higher-order networks. Phys. Rev. Lett. 2021, 127, 158301. [Google Scholar] [CrossRef] [PubMed]
- Berge, C. Graphs and Hypergraphs; North-Holland: Amsterdam, The Netherlands, 1973. [Google Scholar]
- Gallos, L.K.; Argyrakis, P. Absence of kinetic effects in reaction-diffusion processes in scale-free networks. Phys. Rev. Lett. 2004, 92, 138301. [Google Scholar] [CrossRef] [PubMed]
- Colizza, V.; Pastor-Satorras, R.; Vespignani, A. Reaction-diffusion processes and metapopulation models in heterogeneous networks. Nat. Phys. 2007, 3, 276–282. [Google Scholar] [CrossRef]
Publisher’s Note: MDPI stays neutral with regard to jurisdictional claims in published maps and institutional affiliations. |
© 2022 by the authors. Licensee MDPI, Basel, Switzerland. This article is an open access article distributed under the terms and conditions of the Creative Commons Attribution (CC BY) license (https://creativecommons.org/licenses/by/4.0/).











