Abstract
External vibration, shock, unbalanced torque and other uncertain disturbances are mainly transmitted to the motor rotor through the bearing friction. To restrain the uncertain friction disturbances and improve the speed stability of a permanent magnet synchronous motor (PMSM), an optimized active disturbance rejection control (ADRC) algorithm is proposed in this study. Firstly, an auxiliary model of friction and a reduced-order processing method are introduced into extended state observation (ESO) to reduce the burden of single ESO and promote the compensation accuracy of disturbances. In addition, a supervisory radial basis function (SRBF) is employed to supervise and promote the error elimination efficiency of the nonlinear state error feedback rate (NLSEF). The hybrid control algorithm makes up for the deficiency of typical ADRC through the fusion of multiple control quantities. Simulation and experimental results show that the proposed algorithm has strong anti-disturbance performance and effectively solves the problem of low-speed crawling.
1. Introduction
Permanent magnet synchronous motors (PMSMs) possess the characteristics of simple structure, small volume and high power. Moreover, they have been widely applied in various types of servo control systems and stabilized platforms [1,2,3,4,5,6]. Due to the high-precision control requirements of these systems, the speed control of a PMSM needs to have considerably high stability. Because external vibration, shock, unbalanced torque, load gravity and other disturbances are mainly transmitted to the motor rotor through the bearing, bearing friction has an obvious effect on the speed stability of PMSMs. Especially when a PMSM operates at low speed, the problem of low-speed crawling may occur. To promote the anti-disturbance performance of the servo system and solve the problem of low-speed crawling, it is of great significance to research an effective speed control algorithm of PMSMs.
Bearing friction has strong nonlinearity and a series of friction models have been proposed. Among them, the LuGre model can accurately describe the dynamic and static characteristics of friction. In recent years, some control algorithms for friction compensation based on the LuGre model have been proposed. In [7], by analyzing the influence of friction heating on the friction coefficient, an improved LuGre model was established to calculate the static real-time steering torque. The authors of [8] combined the LuGre model and periodic adaptive learning control to eliminate nonlinear friction disturbance in PMSM servo systems. In [9], a nonlinear modified LuGre observer was designed to estimate friction behavior of optoelectronic tracking system. In [10], researchers modified the LuGre friction model to accurately describe the nature of the friction force in the gross sliding regime. The authors of [11] analyzed the advantages and disadvantages of the LuGre model and some specific applications. Although these algorithms have advanced control performance, due to too many parameters in the LuGre model, it is difficult to establish the LuGre model with accurate parameters in practical engineering.
A series of modified and intelligent control algorithms have been applied to disturbance suppression, including fuzzy control [12], neural networks for control [13], robust control [14], sliding mode control (SMC) [15], etc. Active disturbance rejection control (ADRC), proposed by Han [16,17], possesses a simple structure and convenient design compared with other algorithms, and has the ability to estimate and compensate for disturbances under the condition of model uncertainty. In [18], an improved ADRC with extended state observer (ESO) and finite time stable tracking differentiator (FTSTD) was utilized in the flexion and extension motion of shoulder and elbow joints, which possess the disturbance rejection ability and robustness against parametric uncertainties. In [19], a measurement delay compensated linear ADRC was proposed to reduce the torque fluctuation of PMSMs. In [20], a hybrid control algorithm combined ADRC and adaptive fuzzy sliding mode control (AFSMC) for the optoelectronic platform to enhance the target tracking capability. In [21], a parameter tuning method based on the genetic algorithm (GA) was presented for ADRC to promote the tracking efficiency of disturbance. In these improved ADRC algorithms, the total disturbances are mainly estimated and compensated by single ESO, which increases the burden of ESO. ESO needs to select a large gain to ensure the accurate estimation of disturbances, which may cause system instability and vibration. Buffeting is not tolerated in the low-speed stability control of PMSMs.
Han (2008) [16] demonstrated that partial prior knowledge of the model can help reduce the burden of ESO and improve the accuracy of disturbance estimation. In [22], the model-based control has been proven to be effective in practical applications. In [23,24], an auxiliary system was constructed to eliminate the effect of input nonlinearities and constraints. Motivated by Han’s concept, model-assisted active disturbance rejection control (MADRC) is proposed in the work. An auxiliary model of friction torque is established, by which partial friction information is introduced into ESO. Moreover, to decrease ESO parameters, the order of ESO is reduced and a model-assisted reduced-order extended state observer (MRESO) is designed.
In addition, the nonlinear state error feedback rate (NLSEF) as a component of the ADRC algorithm has higher response efficiency than the linear control rate. However, when the feedback error suddenly increases due to the influence of friction, the advantage of nonlinear control over linear control is less prominent. To improve the adaptability and rapidity of the control rate, some research on real-time neural network control has been carried out. In [25], the adaptive radial basis function (RBF) was adopted in ADRC to reduce the influence of unknown disturbances. In [26], a new dual-channel composite controller scheme was developed, in which RBF neural network approximation was utilized to tackle system uncertainties and ADRC was designed to real-time estimate and compensate disturbances. In [27], RBF neural network was introduced to supervise proportional differential (PD) control. RBF as a real-time neural network possesses fine generalization ability and simple structure and has been applied in many nonlinear control systems. In [28], the controller utilized ADRC to the robust control of a multi-rotor vehicle and a spatio-temporal RBF neural network to estimate fusion parameters containing actuator faults and model uncertainties. Motivated by the above analysis, a supervised radial basis function (SRBF) is employed to supervise the feedback error. When the feedback error suddenly increases, the SRBF quickly adjusts the gain matrix and raises the control quantity, by which the response speed of the NLSEF is enhanced. To sum up, the SRBF-MADRC strategy is established.
The novel and critical contributions of this work are summarized as follows:
- (1)
- By introducing an auxiliary model of friction, the MADRC has a more accurate compensation of disturbances than the general ADRC.
- (2)
- The MRESO has lower order and fewer parameters than standard ESO, which is more conducive to improving the efficiency of state tracking and parameter tuning.
- (3)
- The SRBF is combined with the MADRC, which can quickly respond to the abrupt feedback error so as to further promote the anti-disturbance ability of the servo system.
The outline of this exposition is as follows: The mathematical model of a PMSM with friction disturbance is analyzed in Section 2. An auxiliary model is introduced, and the SRBF-MADRC strategy is proposed in Section 3. In Section 4, the simulation results are shown to verify the prominent characteristics of the proposed strategy. Section 5 shows the experimental results. Finally, conclusions are presented in Section 6.
2. Mathematical Model of PMSM with Friction Disturbance
The structural diagram of vector control (VC) for PMSMs is shown in Figure 1. The principle of vector control is to measure the stator current vector of the motor, and control the excitation current and torque current, respectively. By taking the rotor coordinate as a reference coordinate, the dynamic model of a PMSM can be described as follows [29]:
where and are the current and voltage of d-axis, respectively; and are the current and voltage of q-axis, respectively; is the stator resistance; and are the inductance on AC and DC sides, respectively; is the electric angular velocity; is the rotor flux linkage; is the electromagnetic torque; is the number of pole pairs; is rotational inertia of the motor and load; is the friction torque; is the sum of residual uncertain disturbances and is the angle of the rotor.
Figure 1.
Vector control for PMSMs.
Two current loops are included in the VC of the PMSM. By controlling and substituting Equation (3) into Equation (4), the system model with two current loops is changed as:
By setting , , Equation (5) is rewritten as:
Figure 2 shows the simplified diagram of the dynamic characteristics of PMSMs, in which the friction torque can be accurately described by LuGre model [30]. The functions of the LuGre model are as follows:
where , and are the stiffness of the bristles, damping and viscous coefficient, respectively; is the immeasurable internal state; is nonlinear function; is Coulomb friction; is maximum static friction; is viscous friction coefficient and is the Stribeck velocity.
Figure 2.
Simplified diagram of the dynamic characteristics of PMSMs.
The mathematical model of PMSMs with friction disturbance is shown in Figure 3. By setting and , the model of PMSMs with friction disturbance can be described by a third-order state equation as follows:
Figure 3.
Mathematical model of PMSMs with friction disturbance.
3. Controller Design
3.1. Auxiliary Model of Friction
According to Equation (10), the LuGre model has numerous parameters and the state cannot be measured directly so it is difficult to establish the LuGre model with accurate parameters. To obtain partial useful information on friction, an auxiliary model is employed. The function of the auxiliary model is expressed as follows:
where and are the estimated values of and , respectively. Both estimated values can be easily obtained through experiments or index analysis. By introducing the auxiliary model, Equation (10) can be rewritten as:
where and are assumed to be known; ; is a known function and is an unknown function as follows:
According to Equation (12), the purpose of establishing the auxiliary model is to divide the state function into known and unknown parts and obtain as much prior information on friction as possible to reduce the sum of the remaining uncertain disturbances.
3.2. Design of SRBF-MADRC
The ADRC algorithm is mainly composed of a tracking differentiator (TD), ESO and NLSEF. As the core part of ADRC, ESO is mainly used to track and estimate the system states and uncertain disturbances. Firstly, according to Equation (10), the controlled object is a third-order system. Then, under the condition that the model information is completely uncertain, the typical ADRC algorithm can adjust the controlled object to a pure integral series system through a third-order ESO [31]. The third-order ESO is established as follows:
where is the angle error; , , are the gain parameters; is a nonlinear function as follows:
where is the length of the linear segment interval; is a constant between 0 and 1 and , , .
However, due to the strong nonlinearity and uncertainty of , ESO needs to select extremely large gain parameters to ensure the tracking of disturbances, which reduces the stability margin of the system and even causes vibration. To reduce the burden of ESO, according to Equation (12), an auxiliary model is introduced to compensate for partial friction. In addition, because the angular velocity of motor can be obtained directly through the encoder sensor, is taken as input to reduce the order of ESO. In summary, the MRESO is established as follows:
where is the angular velocity error; and are the gain parameters; and .
The function of TD is to track the input signal without overshooting and accurately output the differential of the input signal simultaneously. Firstly, the feedback error is defined as
The expression formula of TD is as follows:
where and are the tracking and differential signals of the input , respectively; is the tracking speed coefficient.
NLSEF is a nonlinear combination of state errors forming the speed closed-loop control of the PMSM, which has numerous combination modes.
The NLSEF selected in this work is as follows:
Compared with the linear control rate, the NLSEF has higher response speed and efficiency when the error is within a small range. However, when the friction torque changes abruptly near zero speed and the error suddenly increases, the advantages of the NLSEF is not apparent. To improve the anti-disturbance performance of the system, an SRBF neural network is paralleled with NLSEF for supervisory control. When a large tracking error occurs, the SRBF plays the role of rapid adjustment.
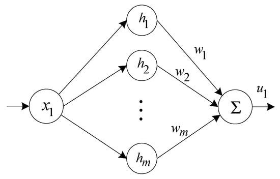
The RBF neural network is a three-layer feed-forward neural network including an input layer, hidden layer and output layer. The structure of the single-input–single-output RBF neural network is shown in Figure 4 [23].
Figure 4.
The structure of RBF neural network.
The SRBF is designed to supervise the feedback errors of the servo system. It takes speed command as input, i.e., . The radial basis vector is set as . The Gaussian function is selected as the radial basis function , and its expression is:
where ; , .
Set the weight vector as:
The output of the SRBF neural network is as follows:
where is the number of nodes in the hidden layer.
The error-index function of the SRBF neural network is set as:
The gradient descent method is adopted to update the network weight. The learning algorithm of the weight is as follows:
where is the learning rate factor, is the momentum factor.
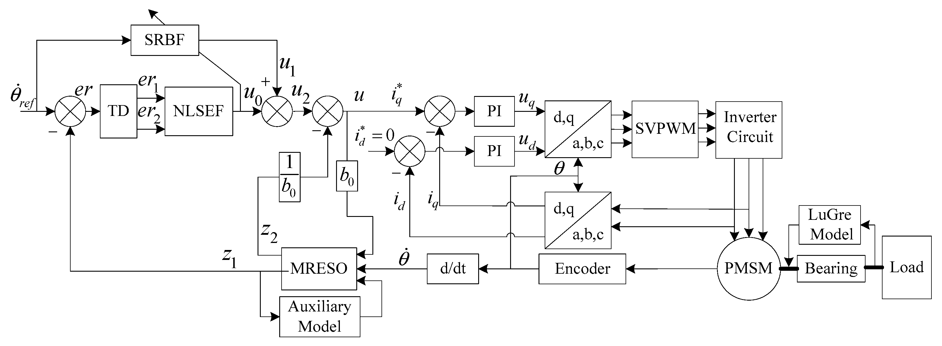
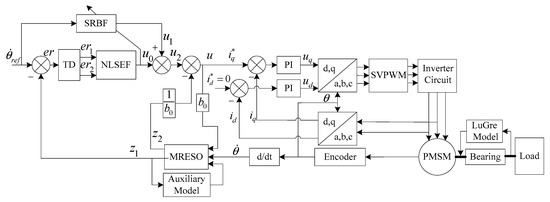
To sum up, the schematic diagram of the overall speed control structure of the PMSM is shown in Figure 5.
Figure 5.
Block diagram of speed controller for PMSM.
The total control quantity of the system is as follows:
Compared with a single control quantity, the combination of compound control variables can restrain disturbances faster, which consists of the outputs of the NLSEF, SRBF and MRESO.
4. Simulation
The model description of a PMSM with friction disturbance is realized by Equation (10). In the simulation, the model parameters are set as , , , , , , , . Firstly, to show the influence of friction on the control performance, the PD control algorithm is adopted to the controlled object. According to the bandwidth-based parametric tuning method in linear systems, the proportional integral differential (PID) parameters can be adjusted according to the closed-loop bandwidth. The relationship between PID parameters and control bandwidth is approximately expressed as follows:
where is the closed-loop bandwidth.
In the simulation, the closed-loop bandwidth of the speed control is set as , so the parameters of the PD controller in the speed control loop are set as and . In order to reduce the influence of the current response delay on speed control, the bandwidth of the current control loop should be much larger than that of the speed control loop. Therefore, the closed-loop bandwidth of the current control is set as , so the parameters of two PI controllers in the current control loop are set as and .
Figure 6 shows the simulation results of position and speed tracking. Due to the interference of friction torque, the waveform in Figure 6 is distorted. When the speed passes through the zero point, the position tracking has a flat top, and the speed tracking has a dead zone. It indicates that, due to the nonlinear influence of friction torque, especially at the zero point of angular velocity, the control performance of the linear PD is utterly poor.
Figure 6.
Simulation results of position and speed tracking. Notes: (a) Position tracking; (b) Speed tracking.
To verify that the proposed algorithm can effectively restrain friction torque, comparative simulation experiments are carried out, in which three algorithms are designed as the speed controller, including the nonlinear proportional differential (NPD), typical ADRC and SRBF-MADRC. The parameters of the three control algorithms are shown in Table 1.
Table 1.
Parameters of three control algorithms.
Before conducting comparative experiments, it is necessary to verify the convergence of the SRBF neural network. The main principle of an RBF based supervisory control system is that the NPD control plays a leading role and the SRBF plays a regulating role when control errors occur. The SRBF employs the gradient descent method to realize the learning of neural network weights, and finally makes the output errors converge to the threshold. According to the authors in [32], the learning rate factor is adjusted to coordinate the learning speed and stability of the SRBF. When , the SRBF obtains a fine learning speed and stability. The convergence curve of the network approximation error is shown in Figure 7.
Figure 7.
Network approximation error convergence curve.
Firstly, the command signal is set as the sine signal . The speed-tracking simulation results are shown in Figure 8. It shows that the tracking error near the zero point is 54.7% for the NPD, 23.6% for the ADRC and 2.2% for the SRBF-MADRC. Although the typical ADRC can improve the speed control accuracy compared with the NPD algorithm, the speed still fluctuates near the speed zero point because the ability of a single ESO to track nonlinear friction is insufficient. The SRBF-MADRC utilizes the information of the auxiliary model and the adaptive supervisory ability of the SBRF to realize the rapid compensation for friction disturbance and overcome the problem of zero-speed fluctuation.
Figure 8.
Simulation results of sinusoidal speed-tracking.
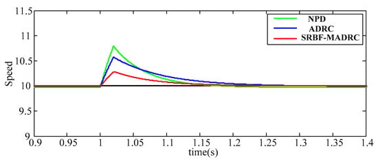
Then, the command signal is set as the low-speed step signal . The simulation results of low-speed tracking are shown in Figure 9. Due to the limited control gain, the output control quantity of the NPD is lower than the friction torque, resulting in a speed stall. The low-speed response of the ADRC has overshoot and static errors. The main reason is the limited estimation and tracking capability of single ESO. The SRBF-MADRC quickly tracks low-speed commands without overshoot and steady-state error. This shows that the proposed algorithm has a more accurate estimation and compensation for disturbances.
Figure 9.
Simulation results of low-speed tracking.
Finally, the command signal is set as the high-speed step signal . Figure 10 shows the high-speed tracking results of the three algorithms. The response time of the NPD and ADRC is about 300 ms, while that of the SRBF-MADRC is only 80 ms. This shows that the proposed algorithm has higher response speed.
Figure 10.
Simulation results of high-speed tracking.
In addition, a large amplitude shock is added to the system to test the anti-disturbance performance of three algorithms. The amplitude of the shock is 50 and the duration is 1 ms. The shock response curves of three algorithms are shown in Figure 11. The fluctuation peak of the NPD is 0.81, ADRC is 0.72 and the SRBF-MADRC is 0.34. Moreover, the SRBF-MADRC converges to the stable instruction fastest. This reflects the strong anti-interference performance of the SRBF-MADRC.
Figure 11.
Simulation results of interference pulse.
5. Experiment
The experimental platform is shown in Figure 12. Its components mainly include a PMSM, encoder, bearing, torque sensor, etc. The motor parameters are shown in Table 2. Three algorithms identical to those in the simulation are designed as the controller of the experimental platform.
Figure 12.
Experimental platform.
Table 2.
Motor parameters.
Figure 13, Figure 14 and Figure 15 show the experimental results of sine command at 0.75 Hz. In Figure 13, the tracking curves show that the SRBF-MADRC has higher tracking accuracy and eliminates the velocity fluctuation at the zero point. Figure 14 shows the output torque curves of three algorithms. The output torque of the SRBF-MADRC is more symmetrical and stable, which is closer to the actual change law of bearing friction. The motor current envelope of three algorithms is shown in Figure 15. Because the control performance of the SRBF-MADRC is more stable and smoother, its current envelope is smaller. It is indicated that the SRBF-MADRC has higher control efficiency and less energy consumption.
Figure 13.
Sinusoidal speed tracking of three algorithms.
Figure 14.
Output torque curves of three algorithms.
Figure 15.
Motor current envelope of three algorithms.
The experimental results of low-speed and high-speed tracking are shown in Figure 16 and Figure 17, respectively. Figure 16 shows the typical low-speed crawling phenomenon that occurs in the NPD due to friction disturbance. Moreover, periodic shock is added to the system. The response curves infer that the SRBF-MADRC solves the problem of low-speed crawling and has stronger inhibition performance against external shock. The index statistics of three algorithms in different situations are shown in Table 3. Through the comparison of response curves and statistical data, it is indicated that the SRBF-MADRC algorithm has the performance of accurate friction compensation and low-speed stability.
Figure 16.
Experimental results of low-speed tracking.
Figure 17.
Experimental results of high-speed tracking.
Table 3.
Performance comparison of three algorithms.
6. Conclusions
Due to friction disturbance, the phenomena of low-speed crawling and vibration near zero may occur in the speed control of the PMSM. To overcome these problems, an SRBF-MADRC algorithm is proposed to improve the system’s friction compensation accuracy and anti-interference performance in the work. By introducing an auxiliary model and reduced-order processing method, the MRESO achieves higher efficiency and stability of state estimation than single ESO. SRBF is designed to supplement the deficiency of NLSEF and promote the response speed to feedback error. The hybrid control algorithm reasonably distributes the friction compensation burden, and realizes the accurate compensation of the total disturbances. The control performance of the optimized algorithm is verified by simulation and experimental results.
Author Contributions
Conceptualization, P.G. and X.S.; methodology, P.G.; software, P.G.; validation, P.G., X.S. and Z.P.; formal analysis, P.G.; investigation, P.G.; resources, P.G.; data curation, P.G.; writing—original draft preparation, P.G.; writing—review and editing, X.S., Z.P., W.Z., R.L. and M.X.; visualization, P.G.; supervision, P.G.; project administration, M.X.; funding acquisition, M.X. All authors have read and agreed to the published version of the manuscript.
Funding
This research was funded by the Youth Innovation Promotion Association, XIOPM, CAS (no. E1553201).
Institutional Review Board Statement
Not applicable.
Informed Consent Statement
Not applicable.
Data Availability Statement
Data sharing not applicable.
Acknowledgments
The authors would like to thank the Xi’an Institute of Optics and Precision Mechanics for equipment support.
Conflicts of Interest
The authors declare no conflict of interest.
References
- Yang, J.; Chen, W.L.; Li, S.H.; Guo, L.; Yan, Y.D. Disturbance/uncertainty estimation and attenuation techniques in PMSM drives—A survey. IEEE Trans. Ind. 2017, 64, 3273–3285. [Google Scholar] [CrossRef]
- Yan, Y.; Yang, J.; Sun, Z.; Zhang, C.; Li, S.; Yu, H. Robust speed regulation for PMSM servo system with multiple sources of disturbances via an augmented disturbance observer. IEEE/Asme Trans. Mechatron. 2018, 23, 769–780. [Google Scholar] [CrossRef]
- Kong, L.H.; He, W.; Yang, C.G.; Li, Z.J.; Sun, C.Y. Adaptive Fuzzy Control for Coordinated Multiple Robots With Constraint Using Impedance Learning. IEEE Trans. Cybern. 2018, 49, 3052–3063. [Google Scholar] [CrossRef] [PubMed]
- Wang, S.; Yu, H.; Yu, J. Robust adaptive tracking control for servomechanisms with continuous friction compensation. Control Eng. Pract. 2019, 87, 76–82. [Google Scholar] [CrossRef]
- Ravindra, S.; Shahida, K.; Himanshu, C.; Ashish, P.; Hanmandlu, M. Neural-fuzzy controller configuration design for an electro-optical line of sight stabilization system. Comput. Electr. Eng. 2020, 88, 101–121. [Google Scholar]
- Li, J.H.; Wang, J.Z.; Peng, H.; Hu, Y.B.; Su, H. Fuzzy-Torque Approximation-Enhanced Sliding Mode Control for Lateral Stability of Mobile Robot. IEEE Trans. Syst. Man Cybern.-Syst. 2021, 52, 2491–2500. [Google Scholar] [CrossRef]
- Liang, K.; Tu, Q.Z.; Shen, X.M. An improved LuGre model for calculating static steering torque of rubber tracked chassis. Def. Technol. 2022, 18, 797–810. [Google Scholar] [CrossRef]
- Zhang, W.; Li, M.; Gao, Y.; Chen, Y. Periodic adaptive learning control of PMSM servo system with LuGre model-based friction compensation. Mech. Mach. Theory 2022, 167, 561–580. [Google Scholar] [CrossRef]
- Yue, F.; Li, X. Robust adaptive integral back stepping control for opto-electronic tracking system based on modified LuGre friction model. Isa Trans. 2018, 80, 312–321. [Google Scholar] [CrossRef]
- Saha, A.; Wahi, P.; Wiercigroch, M.; Stefański, A. A modified LuGre friction model for an accurate prediction of friction force in the pure sliding regime. Int. J. Non-Linear Mech. 2016, 80, 122–131. [Google Scholar] [CrossRef]
- Marques, F.; Woliński, Ł.; Wojtyra, M.; Flores, P.; Lankarani, H.M. An investigation of a novel LuGre-based friction force model. Mech. Machine Theory 2021, 166, 104493. [Google Scholar] [CrossRef]
- Abdo, M.M.; Vali, A.R.; Toloei, A.R.; Arvan, M.R. Stabilization loop of a two axes gimbal system using self-tuning PID type fuzzy controller. Isa Trans. 2014, 53, 591–602. [Google Scholar] [CrossRef] [PubMed]
- Fang, J.C.; Yin, R.; Lei, X. An adaptive decoupling control for three-axis gyro stabilized platform based on neural networks. Mechatronics 2015, 27, 38–46. [Google Scholar] [CrossRef]
- Song, P. Robust control of gyro stabilized platform driven by ultrasonic motor. Sens. Actuators A Phys. 2017, 261, 280–287. [Google Scholar]
- Mao, J.L.; Li, S.H.; Li, Q.; Yang, J. Design and implementation of continuous finite-time sliding mode control for 2-DOF inertially stabilized platform subject to multiple disturbances. Isa Trans. 2019, 84, 214–224. [Google Scholar] [CrossRef]
- Han, J.Q. Active Disturbance Rejection Control Technique: The Technique for Estimating and Compensating the Uncertainties; National Defense Industry Press: Beijing, China, 2008. [Google Scholar]
- Han, J.Q. From PID to active disturbance rejection control. IEEE Trans. Ind. Electron. 2009, 56, 900–906. [Google Scholar] [CrossRef]
- Aole, S.; Elamvazuthi, I.; Waghmare, L. Active Disturbance Rejection Control Based Sinusoidal Trajectory Tracking for an Upper Limb Robotic Rehabilitation Exoskeleton. Appl. Sci. 2022, 12, 1287. [Google Scholar] [CrossRef]
- Liu, C.; Luo, G.; Chen, Z.; Tu, W. Measurement delay compensated LADRC based current controller design for PMSM drives with a simple parameter tuning method. ISA Trans. 2020, 101, 482–492. [Google Scholar] [CrossRef]
- Sui, S.; Zhao, T. Active disturbance rejection control for optoelectronic stabilized platform based on adaptive fuzzy sliding mode control. ISA Trans. 2022, 125, 85–98. [Google Scholar] [CrossRef]
- Zhou, X.Y.; Gao, H.; Zhao, B.L.; Zhao, L.B. A GA-based parameters tuning method for an ADRC controller of ISP for aerial remote sensing applications. Isa Trans. 2018, 81, 318–328. [Google Scholar] [CrossRef]
- Kong, L.H.; He, W.; Dong, Y.T. Asymmetric Bounded Neural Control for an Uncertain Robot by State Feedback and Output Feedback. IEEE Trans. Syst. Man Cybern.-Syst. 2019, 51, 1735–1746. [Google Scholar] [CrossRef]
- Zhao, Z.J.; He, X.Y.; Ren, Z.G.; Wen, G.L. Boundary Adaptive Robust Control of a Flexible Riser System With Input Nonlinearities. IEEE Trans. Onsystems Man Cybern.-Syst. 2018, 49, 1971–1980. [Google Scholar] [CrossRef]
- Zhao, Z.; Ren, Y.; Mu, C.; Zou, T.; Hong, K. Adaptive Neural-Network-Based Fault-Tolerant Control for a Flexible String With Composite Disturbance Observer and Input Constraints. IEEE Trans. Cybern. 2021, 97, 101–111. [Google Scholar] [CrossRef]
- Shen, S.Y.; Xu, J.F. Adaptive neural network-based active disturbance rejection flight control of an unmanned helicopter. Aerospace Sci. Technol. 2021, 119, 107062. [Google Scholar] [CrossRef]
- Liu, W.T.; Zhao, T. An active disturbance rejection control for hysteresis compensation based on Neural Network adaptive control. ISA Trans. 2021, 109, 81–88. [Google Scholar] [CrossRef] [PubMed]
- Xu, F.; Tang, D.; Wang, S. Research on parallel nonlinear control system of PD and RBF neural network based on U model. Automatika 2020, 61, 284–294. [Google Scholar] [CrossRef]
- Hua, L.H.; Zhang, J.F.; Li, D.J.; Xi, X.B. Fault-Tolerant Active Disturbance Rejection Control of Plant Protection of Unmanned Aerial Vehicles Based on a Spatio-Temporal RBF Neural Network. Appl. Sci. 2021, 11, 4084. [Google Scholar] [CrossRef]
- Thangarajan, K.; Soundarrajan, A. Performance comparison of permanent magnet synchronous motor(PMSM) drive with delay compensated predictive controllers. Microproc. Microsyst. 2020, 75, 103081. [Google Scholar] [CrossRef]
- Piatkowski, T. Dahl and LuGre dynamic friction models—The analysis of selected properties. Mech. Mach. Theory 2014, 73, 91–100. [Google Scholar] [CrossRef]
- Radosław, P.; Piotr, D. On the stability of ADRC for manipulators with modelling uncertainties. ISA Trans. 2020, 102, 295–303. [Google Scholar]
- Liu, J.K. RBF Neural Network Control for Mechanical Systems: Design, Analysis and Matlab Simulation; Tsinghua University Press: Beijing, China, 2014. [Google Scholar]
Publisher’s Note: MDPI stays neutral with regard to jurisdictional claims in published maps and institutional affiliations. |
© 2022 by the authors. Licensee MDPI, Basel, Switzerland. This article is an open access article distributed under the terms and conditions of the Creative Commons Attribution (CC BY) license (https://creativecommons.org/licenses/by/4.0/).
















