Prediction of Flight Delays at Beijing Capital International Airport Based on Ensemble Methods
Abstract
1. Introduction
2. Related Works
3. Methodology
3.1. Ensemble Methods
3.1.1. Bagging Methods
3.1.2. Boosting Methods
3.1.3. Stacking Methods
3.2. Explanatory Variables
3.2.1. Flight Attributes
- (1)
- Airline properties
- (2)
- Aircraft capacity
- (3)
- Delay of previous flight
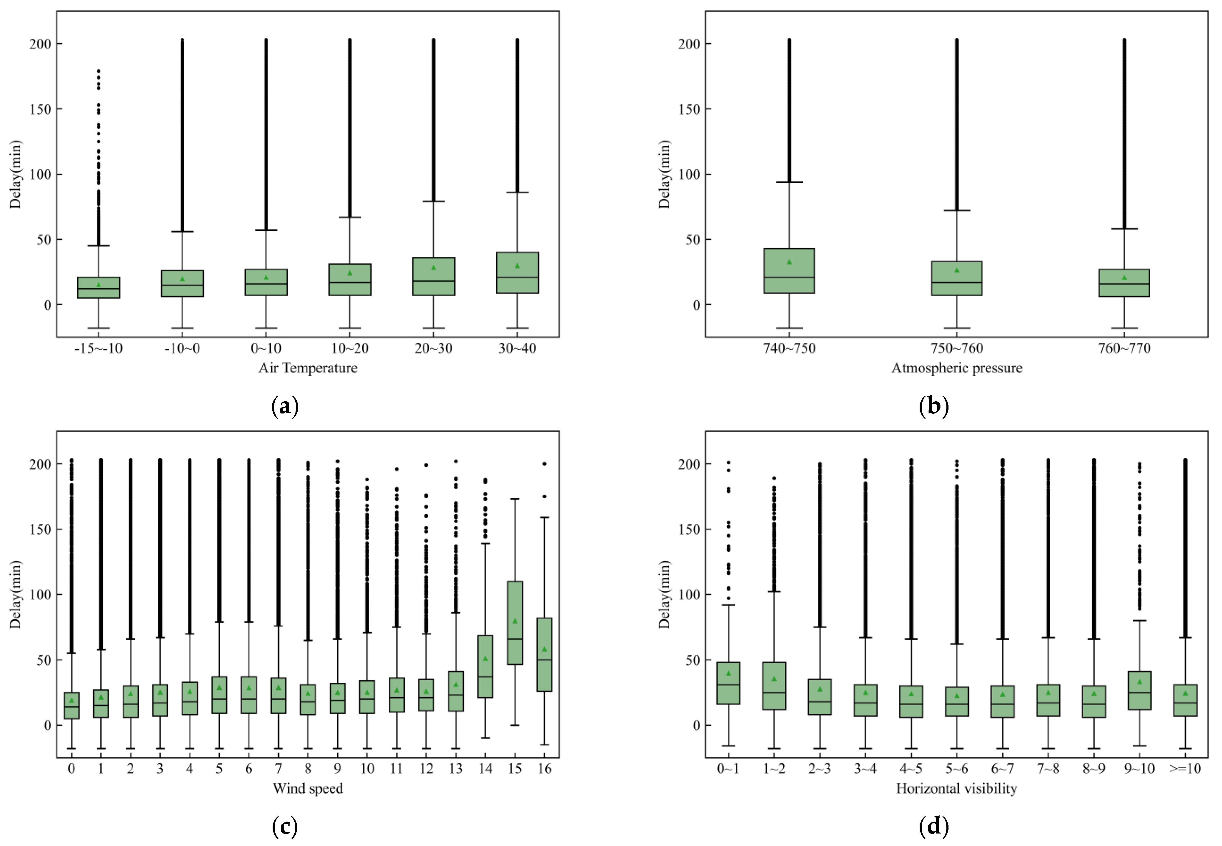
3.2.2. Weather
3.2.3. Periodic Data
3.2.4. Arrival/Departure Pressure
3.2.5. Cruise Pressure
3.3. Performance Measures
4. Case Study
4.1. Data Description
4.2. Data Preprocessing
4.3. Variable Selection
4.4. Base Learners
- Linear regression (LR): LR is a classical regression method that uses a linear model to fit the relationship between features and target values.
- K-nearest neighbor (KNN): KNN uses the average of the closest K samples of a sample to represent its value. Manhattan and Euclidean distances are usually used.
- Support vector regression (SVR): SVR involves the application of a support vector machine (SVM) for regression problems. It works by locating a hyperplane so that the distance from the hyperplane to the farthest sample point is minimized.
- Light gradient boosting machine (LGBM): LGBM is a framework for implementing the gradient boosting decision tree (GBDT) algorithm, which supports efficient parallel training and has faster training speed, lower memory consumption, and better accuracy.
5. Results and Discussion
5.1. Predicting Results
5.2. Delay of Previous Flight
5.3. Departure Pressure
5.4. Cruise Pressure
6. Conclusions
Author Contributions
Funding
Institutional Review Board Statement
Informed Consent Statement
Data Availability Statement
Conflicts of Interest
Nomenclature
| flight | scheduled time of flight | ||
| flight attributes | real time of the previous of flight | ||
| W | weather | number of scheduled flights | |
| periodic data | number of actual flights | ||
| arrival pressure | similarity degree of air routes between specific flights | ||
| cruise pressure | time coefficient | ||
| advance prediction interval | delay of flight |
References
- Civil Aviation Administration of China. 2019 Civil Aviation Industry Development Statistic Bulletin; Civil Aviation Administration of China: Beijing, China, 2019; p. 14.
- United States Department of Transportation. Understanding the Reporting of Causes of Flight Delays and Cancellations [EB/OL]. Available online: http://www.bts.dot.gov/topics/airlines-and-airports/understanding-reporting-causes-flight-delays-and-cancellations (accessed on 6 September 2022).
- Ekici, F.; Orhan, G.; Gümüş, Ö.; Bahce, A.B. A Policy on the Externality Problem and Solution Suggestions in Air Transportation: The Environment and Sustainability. Energy 2022, 258, 124827. [Google Scholar] [CrossRef]
- Ekici, S.; Şöhret, Y.; Gürbüz, H. Influence of COVID-19 on Air Pollution Caused by Commercial Flights in Turkey. Energy Sources Part A Recov. Util. Environ. Eff. 2021, 43, 1–13. [Google Scholar] [CrossRef]
- Hsiao, C.; Hansen, M. Econometric analysis of US airline flight delays with time-of-day effects. Transp. Res. Rec. 2006, 1951, 104–112. [Google Scholar] [CrossRef]
- Tu, Y.; Ball, M.O.; Jank, W.S. Estimating flight departure delay distributions—A statistical approach with long-term trend and short-term pattern. J. Am. Stat. Assoc. 2008, 103, 112–125. [Google Scholar] [CrossRef]
- Rodríguez-Sanz, Á. Assessment of Airport Arrival Congestion and Delay: Prediction and Reliability. Transp. Res. Part C Emerg. Technol. 2019, 98, 255–283. [Google Scholar] [CrossRef]
- Rebollo, J.J.; Balakrishnan, H. Characterization and Prediction of Air Traffic Delays. Transp. Res. Part C Emerg. Technol. 2014, 44, 231–241. [Google Scholar] [CrossRef]
- Esmaeilzadeh, E.; Mokhtarimousavi, S. Machine Learning Approach for Flight Departure Delay Prediction and Analysis. Transp. Res. Rec. J. Transp. Res. Board 2020, 2674, 145–159. [Google Scholar] [CrossRef]
- Kim, Y.J.; Choi, S.; Briceno, S.; Mavris, D. A Deep Learning Approach to Flight Delay Prediction. In Proceedings of the 2016 IEEE/AIAA 35th Digital Avionics Systems Conference (DASC), Sacramento, CA, USA, 25–29 September 2016; pp. 1–11. [Google Scholar]
- Li, L.; Chen, X.; Zhang, L. Multimodel Ensemble for Freeway Traffic State Estimations. IEEE Trans. Intell. Transp. Syst. 2014, 15, 1323–1336. [Google Scholar] [CrossRef]
- Zhang, Y.; Haghani, A. A Gradient Boosting Method to Improve Travel Time Prediction. Transp. Res. Part C Emerg. Technol. 2015, 58, 308–324. [Google Scholar] [CrossRef]
- Wang, Z. Automated Data-Driven Prediction on Aircraft Estimated Time of Arrival. J. Air Transp. Manag. 2020, 88, 101840. [Google Scholar] [CrossRef]
- Du, W.B.; Zhang, M.Y.; Zhang, Y.; Cao, X.B.; Zhang, J. Delay Causality Network in Air Transport Systems. Transp. Res. Part E Logist. Transp. Rev. 2018, 118, 466–476. [Google Scholar] [CrossRef]
- Choi, S.; Kim, Y.J.; Briceno, S.; Mavris, D. Prediction of Weather-Induced Airline Delays Based on Machine Learning Algorithms. In Proceedings of the 2016 IEEE/AIAA 35th Digital Avionics Systems Conference (DASC), Sacramento, CA, USA, 25–29 September 2016; pp. 1–6. [Google Scholar]
- Gui, G.; Liu, F.; Sun, J.; Yang, J.; Zhou, Z.; Zhao, D. Flight Delay Prediction Based on Aviation Big Data and Machine Learning. IEEE Trans. Veh. Technol. 2020, 69, 140–150. [Google Scholar] [CrossRef]
- Stefanovič, P.; Štrimaitis, R.; Kurasova, O. Prediction of Flight Time Deviation for Lithuanian Airports Using Supervised Machine Learning Model. Comput. Intell. Neurosci. 2020, 2020, 8878681. [Google Scholar] [CrossRef] [PubMed]
- Ye, B.; Liu, B.; Tian, Y.; Wan, L. A Methodology for Predicting Aggregate Flight Departure Delays in Airports Based on Supervised Learning. Sustainability 2020, 12, 2749. [Google Scholar] [CrossRef]
- Guo, Z.; Yu, B.; Hao, M.; Wang, W.; Jiang, Y.; Zong, F. A Novel Hybrid Method for Flight Departure Delay Prediction Using Random Forest Regression and Maximal Information Coefficient. Aerosp. Sci. Technol. 2021, 116, 106822. [Google Scholar] [CrossRef]
- Yu, B.; Guo, Z.; Asian, S.; Wang, H.; Chen, G. Flight Delay Prediction for Commercial Air Transport: A Deep Learning Approach. Transp. Res. Part E Logist. Transp. Rev. 2019, 125, 203–221. [Google Scholar] [CrossRef]
- Zeng, W.; Li, J.; Quan, Z.; Lu, X. A Deep Graph-Embedded LSTM Neural Network Approach for Airport Delay Prediction. J. Adv. Transp. 2021, 2021, 6638130. [Google Scholar] [CrossRef]
- Bao, J.; Yang, Z.; Zeng, W. Graph to Sequence Learning with Attention Mechanism for Network-Wide Multi-Step-Ahead Flight Delay Prediction. Transp. Res. Part C Emerg. Technol. 2021, 130, 103323. [Google Scholar] [CrossRef]
- Cai, K.; Li, Y.; Fang, Y.-P.; Zhu, Y. A Deep Learning Approach for Flight Delay Prediction Through Time-Evolving Graphs. IEEE Trans. Intell. Transp. Syst. 2021, 23, 11397–11407. [Google Scholar] [CrossRef]
- Ren, Y.; Zhang, L.; Suganthan, P.N. Ensemble Classification and Regression-Recent Developments, Applications and Future Directions [Review Article]. IEEE Comput. Intell. Mag. 2016, 11, 41–53. [Google Scholar] [CrossRef]
- Zhang, J.; Peng, Z.; Yang, C.; Wang, B. Data-driven Flight Time Prediction for Arrival Aircraft within the Terminal Area. IET Intell. Transp. Syst. 2022, 16, 263–275. [Google Scholar] [CrossRef]
- Gui, X.; Zhang, J.; Peng, Z.; Yang, C. Data-Driven Method for the Prediction of Estimated Time of Arrival. Transp. Res. Rec. J. Transp. Res. Board 2021, 2675, 1291–1305. [Google Scholar] [CrossRef]
- Top 6 Errors Novice Machine Learning Engineers Make. Available online: https://www.kdnuggets.com/2017/10/top-errors-novice-machine-learning-engineers.html (accessed on 6 September 2022).
- Feature Engineering—Handling Cyclical Features. Available online: http://blog.davidkaleko.com/feature-engineering-cyclical-features.html (accessed on 6 September 2022).
- Gürbüz, H.; Şöhret, Y.; Ekici, S. Evaluating Effects of the Covid-19 Pandemic Period on Energy Consumption and Enviro-Economic Indicators of Turkish Road Transportation. Energy Sources Part A Recov. Util. Environ. Eff. 2021, 43, 1–13. [Google Scholar] [CrossRef]
- Wang, F.; Bi, J.; Xie, D.; Zhao, X. Flight Delay Forecasting and Analysis of Direct and Indirect Factors. IET Intell. Transp. Syst. 2022, 16, 890–907. [Google Scholar] [CrossRef]
- Pudil, P.; Hovovicova, J. Novel Methods for Subset Selection with Respect to Problem Knowledge. IEEE Intell. Syst. 1998, 13, 66–74. [Google Scholar] [CrossRef]

















| Reference | Methodology | Considered Factors |
|---|---|---|
| Tu et al. (2008) [6] | Statistical modeling methods | Seasonal trends, daily propagation, and random residuals |
| Choi et al. (2016) [15] | Traditional ML | Quarter of year, month, day of month, day of week, departure and arrival schedule in local time, and weather |
| Rebollo et al. (2014) [8] | Traditional ML | Temporal variables, delay state, type of delay, previous day’s type, delay at influential airports, and OD pairs |
| Gui et al. (2020) [16] | Traditional ML and DL | Weather, day of month, month, day of week, and season |
| Stefanovič et al. (2020) [17] | Traditional ML | Departure airport, scheduled time of departure, destination, scheduled time of arrival, date of the flight, ICAO identity number, and flight number |
| Ye et al. (2020) [18] | Traditional ML | Time characteristics, flight plan characteristics, delay characteristics, and local weather characteristics |
| Guo et al. (2021) [19] | Traditional ML | Airline size, actual aircraft capacity, scheduled turnaround time, minimum turnaround time, origin or pass-by flight, delay of the previous flight, crowdedness of the airport in terms of number of flights and passengers |
| Yu et al. (2019) [20] | DL | Air-route situation, delay of previous flight, airline properties, number of passengers, aircraft capacity, boarding options, air traffic control, and crowdedness of airport |
| Zeng et al. (2021) [21] | DL | Spherical distance between airports, airports’ history of hourly average delay |
| Bao et al. (2021) [22] | DL | Airports’ history of hourly average delay, weather |
| Cai et al. (2021) [23] | DL | Airports’ history of hourly average delay |
| Number of Seats | Representative Aircraft Type | Grade Number |
|---|---|---|
| Less than 60 seats | CRJ2, MA60, etc. | 0 |
| 61 to 150 seats | A319, B733, B734, B735, B736, B737, etc. | 1 |
| 151 to 250 seats | C919, A310, A320, A321, B738, B739, B788, etc. | 2 |
| 251 to 500 seats | A332, A333, A343, A346, A350, B742, etc. | 3 |
| 500 seats or more | A388, etc. | 4 |
| Reasons for Abnormal Flights | Percentage of Total | Compared with Previous Year |
|---|---|---|
| Weather | 46.49% | −0.96% |
| Airlines | 18.91% | −2.22% |
| Air traffic control | 1.43% | −0.88% |
| Others | 33.17% | 4.08% |
| Handling Mode | Explanatory Variables |
|---|---|
| One-hot encoding method | Airline |
| 0–1 modeled | Base airport, holiday |
| Calculated | Delay of previous flight, arrival/departure pressure, cruise pressure, aircraft capacity |
| Sine–cosine functions | Wind direction, hour of the day, day of the week, month of the year, season |
| No handling | Air temperature, atmospheric pressure, relative humidity, wind speed, horizontal visibility |
| Airlines | Proportion | CF | Count | One-Hot | Pareto Principle |
|---|---|---|---|---|---|
| CCA | 35.18% | 35.18% | 210,821 | [1, 0, 0, …, 0] | [1, 0, 0, 0, 0, 0, 0, 0, 0, 0, 0] |
| CSN | 13.84% | 49.03% | 82,987 | [0, 1, 0, …, 0] | [0, 1, 0, 0, 0, 0, 0, 0, 0, 0, 0] |
| CES | 12.94% | 61.97% | 77,551 | [0, 0, 1, …, 0] | [0, 0, 1, 0, 0, 0, 0, 0, 0, 0, 0] |
| CHH | 9.37% | 71.34% | 56,157 | [0, 0, 0, …, 0] | [0, 0, 0, 1, 0, 0, 0, 0, 0, 0, 0] |
| CXA | 2.32% | 73.66% | 13,924 | [0, 0, 0, …, 0] | [0, 0, 0, 0, 1, 0, 0, 0, 0, 0, 0] |
| CNM | 1.90% | 75.57% | 11,435 | [0, 0, 0, …, 0] | [0, 0, 0, 0, 0, 1, 0, 0, 0, 0, 0] |
| CSC | 1.77% | 77.35% | 10,629 | [0, 0, 0, …, 0] | [0, 0, 0, 0, 0, 0, 1, 0, 0, 0, 0] |
| CDG | 1.68% | 79.03% | 10,076 | [0, 0, 0, …, 0] | [0, 0, 0, 0, 0, 0, 0, 1, 0, 0, 0] |
| CSZ | 1.56% | 80.59% | 9348 | [0, 0, 0, …, 0] | [0, 0, 0, 0, 0, 0, 0, 0, 1, 0, 0] |
| CCD | 1.55% | 82.13% | 9267 | [0, 0, 0, …, 0] | [0, 0, 0, 0, 0, 0, 0, 0, 0, 1, 0] |
| CBJ | 0.92% | 83.05% | 5519 | [0, 0, 0, …, 0] | [0, 0, 0, 0, 0, 0, 0, 0, 0, 0, 1] |
| … | … | … | … | [0, 0, 0, …, 0] | [0, 0, 0, 0, 0, 0, 0, 0, 0, 0, 1] |
| ANG | 0.0002% | 100% | 1 | [0, 0, 0, …, 1] | [0, 0, 0, 0, 0, 0, 0, 0, 0, 0, 1] |
| Air Route | Similarity Coefficient |
|---|---|
| PEK–HGH | 1.00 |
| PEK–YIW | 0.93 |
| PEK–NKG | 0.82 |
| PEK–CZX | 0.81 |
| PEK–HYN | 0.75 |
| Stacking | SVR | LGBM | RF | AdaBoost | KNN | LR | |
|---|---|---|---|---|---|---|---|
| MAE | 12.58 | 13.3 | 13.51 | 14.05 | 14.56 | 15.11 | 15.78 |
| RMSE | 22.97 | 23.59 | 23.82 | 24.50 | 24.62 | 25.01 | 26.16 |
| Scenario | Explanatory Variable | MAE | RMSE | ||
|---|---|---|---|---|---|
| , , | |||||
| S0 | ✓ | 15.67 | 25.98 | ||
| S1 | ✓ | ✓ | 14.83 | 24.32 | |
| S2 | ✓ | ✓ | 13.21 | 23.56 | |
| S3 | ✓ | ✓ | ✓ | 12.59 | 22.97 |
| Encoding Method | MAE | RMSE |
|---|---|---|
| One-hot encoding | 12.78 | 23.18 |
| Sine–cosine function | 12.59 | 22.97 |
Publisher’s Note: MDPI stays neutral with regard to jurisdictional claims in published maps and institutional affiliations. |
© 2022 by the authors. Licensee MDPI, Basel, Switzerland. This article is an open access article distributed under the terms and conditions of the Creative Commons Attribution (CC BY) license (https://creativecommons.org/licenses/by/4.0/).
Share and Cite
Wang, X.; Wang, Z.; Wan, L.; Tian, Y. Prediction of Flight Delays at Beijing Capital International Airport Based on Ensemble Methods. Appl. Sci. 2022, 12, 10621. https://doi.org/10.3390/app122010621
Wang X, Wang Z, Wan L, Tian Y. Prediction of Flight Delays at Beijing Capital International Airport Based on Ensemble Methods. Applied Sciences. 2022; 12(20):10621. https://doi.org/10.3390/app122010621
Chicago/Turabian StyleWang, Xunuo, Zhan Wang, Lili Wan, and Yong Tian. 2022. "Prediction of Flight Delays at Beijing Capital International Airport Based on Ensemble Methods" Applied Sciences 12, no. 20: 10621. https://doi.org/10.3390/app122010621
APA StyleWang, X., Wang, Z., Wan, L., & Tian, Y. (2022). Prediction of Flight Delays at Beijing Capital International Airport Based on Ensemble Methods. Applied Sciences, 12(20), 10621. https://doi.org/10.3390/app122010621

