Numerical Study of Influencing Factors of Safety and Stability of Tunnel Structure under Airport Runway
Abstract
:1. Introduction
2. Aircraft Dynamic Model and Vibration Excitation Equation
2.1. Mathematical Model of “Five-Point-Contact” Aircraft with Six Degrees of Freedom
2.2. Balance Equation of “Five-Point-Contact” Aircraft Vibration
2.3. Excitation Equation of Aircraft Load Vibration
3. Numerical Simulation
3.1. Model Meshing
3.2. Boundary Conditions and Element Types
3.3. Material Properties and Contact Settings
3.4. Setup Analysis Step
3.5. Verification of Numerical Model Accuracy
4. Analysis of Numerical Simulation Results
4.1. Influence of Different Aircraft on Tunnel Structure
4.2. Influence of Different Pavement Types on Tunnel Structure
4.3. Influence of Different Buried Depth on Tunnel Structure
5. Conclusions
- (1)
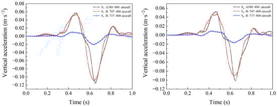
- Different types of main landing gears have various forms and dynamic load equations because of the variations in tire pressure, number of wheels, and single wheel load. The distribution position of the main landing gear wheels also affects the structural force; a more concentrated wheel distribution causes greater interference to the structure. The roof position of the tunnel structure is stretched, and the vertical acceleration change range can reach 259% under the action of aircraft loads. This position is a damage-prone section that must be considered in the design.
- (2)
- Rigid pavements have large elastic moduli and are not easily deformed when subjected to aircraft loads. For the pavement substructure, flexible pavements have a satisfactory attenuation effect on force transmission. In the airport substructure design, the flexible pavement can be selected as the airport runway to ensure safety. The shear stress at the upper and lower arches of the tunnel structure varies depending on the road surface material. Moreover, relative dislocation and deformation occur at the arch. Owing to the differences in pavement materials, the shear stress on the structure varies, and the deformation at the arch is more severe than at other positions.
- (3)
- The interference effect of aircraft loads on the structure gradually weakens with increasing embedment depth. However, the soil stress on the tunnel structure increases with the burial depth, and the degree of interference of the soil stress on the structure is greater than that of the aircraft load. Therefore, during construction, the selection of corresponding support methods to cope with various soil depths and environments is necessary. The fitting curve indicates that when the burial depth exceeds 64 m, the movement of aircraft on the runway above does not affect the buried tunnel.
Author Contributions
Funding
Institutional Review Board Statement
Informed Consent Statement
Data Availability Statement
Conflicts of Interest
References
- Li, X.; Yuan, D.; Jin, D.; Yu, J.; Li, M. Twin neighboring tunnel construction under an operating airport runway. Tunn. Undergr. Space Technol. 2018, 81, 534–546. [Google Scholar] [CrossRef]
- Kao, C.C.; Chen, C.H.; Hwang, R.N. Mechanism of ground settlements and heaves due to shield tunneling. J. Geoengin. 2009, 4, 63–72. [Google Scholar]
- Li, S.; Gu, G.; Li, P.; Zhang, M.; Wang, G. Numerical Simulation of Mechanical Properties of the Segments for a Curved Shield Tunnel during Construction Stage: A Case Study. In Proceedings of the International Conference on Geotechnical and Earthquake Engineering 2018, Chongqing, China, 20–21 October 2018; pp. 61–69. [Google Scholar] [CrossRef]
- Rong, X.; Lu, H.; Wang, M.; Wen, Z.; Rong, X. Cutter wear evaluation from operational parameters in EPB tunneling of Chengdu metro. Tunn. Undergr. Space Technol. 2019, 93, 103043. [Google Scholar] [CrossRef]
- Fang, Y.S.; Kao, C.C.; Shiu, Y.F. Double-o-tube shield tunneling for Taoyuan international airport access MRT. Tunn. Undergr. Space Technol. 2012, 30, 233–245. [Google Scholar] [CrossRef]
- Chen, S.L.; Lee, S.C.; Wei, Y.S. Numerical analysis of ground surface settlement induced by double-o tube shield tunneling. J. Perform. Constr. Facil. 2016, 30, 04016012. [Google Scholar] [CrossRef]
- Chen, A.; Zhang, Z.; Xingye, M.A.; Qin, L.; Deng, K. Study on the Influence of Aircraft Load on the Segmental Structure and Stratigraphic Additional Stress of TBM Tunnel. Railw. Stand. Des. 2019, 63, 108–113. [Google Scholar] [CrossRef]
- Tian, X.F. Research on aircraft load calculation in the design of underground structures passing under airport apron. Mod. Tunn. Technol. 2019, 56, 532–537. [Google Scholar] [CrossRef]
- Wang, Z.X.; Wang, B.; Li, H.; Fu, Y.B.; Wen, J.S. The additional stress of layered foundation caused by aircraft load and its influence scope on the underpass tunnel. China Civ. Eng. J. 2020, 53, 258–264+271. [Google Scholar]
- Liu, K.; Wu, Z.X.; Yang, J.Z.; Guan, H.Y. Study of dynamic response and fatigue damage of high-speed railway tunnels under the impact load of aircraft landing. Mod. Tunn. Technol. 2022, 59, 96–102. [Google Scholar] [CrossRef]
- Gao, F.; Fu, G.; Hu, W.L. Influence of moving aircraft loads on airport tunnel. J. Chongqing Jiaotong Univ. (Nat. Sci.) 2012, 31, 218–222. [Google Scholar]
- Gao, J.L. Mechanical Model and Performance Research of Pavement Structure under Disturber Shallow Pipe Jacking. Master’s Thesis, Civil Aviation University of China, Tianjin, China, 2019. [Google Scholar] [CrossRef]
- Luo, Z.; Xie, K.; Zou, B. Structural Dynamic Response of a Shield Tunnel under Aircraft Taxiing Load. Shock. Vib. 2021, 2021, 3999948. [Google Scholar] [CrossRef]
- Sun, X.J.; Tan, Z.H.; Zhou, S.Z.; Feng, H.X.; Chao, K. Analysis of the dynamic influence of aircraft load on a tunnel structure. Mod. Tunn. Technol. 2018, 55, 156–163. [Google Scholar] [CrossRef]
- Gabriel, B.; Elise, M.; Peter, S.; Richard, J.; Navneet, G. Instrumented flexible pavement responses under aircraft loading. Int. J. Pavement Eng. 2019, 22, 1213–1225. [Google Scholar] [CrossRef]
- Robinson, W.J.; Howard, I.L.; Tingle, J.S.; Norwood, G.J. Analysis of full-scale geosynthetic reinforced airfield pavement subjected to accelerated aircraft loading. J. Transp. Eng. Part B Pavements 2020, 146, 04020052. [Google Scholar] [CrossRef]
- Labonte, G. Constant speed, variable ascension rate, helical trajectories for airplanes. Adv. Aircr. Spacecr. Sci. 2018, 5, 73–105. [Google Scholar]
- Wan, J.; Li, B.; Gao, Y.; Tan, C.; Feng, C.; Zhang, P. Dynamic response of the inhomogeneous pavement structure containing a buried fault zone under the moving aircraft loads. Bull. Eng. Geol. Environ. 2022, 81, 301. [Google Scholar] [CrossRef]
- Luo, Q.S.; Zhang, S.; Ye, X.Y.; Li, Q.; Ma, X.Y.; Zhang, X.Z. Investigation on deformation characteristics of wetting silt subgrade under aircraft loading. J. Cent. South Univ. (Sci. Technol.) 2021, 52, 2188–2199. [Google Scholar]
- Tang, C.; Lu, Z.; Yao, H.; Guo, S.; Han, Y. Vibration characteristics of unsaturated runways under moving aircraft loads. Int. J. Struct. Stab. Dyn. 2021, 21, 21500656. [Google Scholar] [CrossRef]
- Zhang, X.M.; Li, M.X.; Chen, Y.; Li, C.H.; Xu, B.Q. Size of cement concrete pavement slab of airport runway. J. Beijing Univ. Aeronaut. Astronaut. 2022, 48, 551–559. [Google Scholar] [CrossRef]
- Wei, X.G.; Yang, L.C.; Liu, H.L.; Li, G.H.; Wei, Y.Q.; Hu, Z.K.; Qin, S.; Gao, H.; Zhang, J.W. Research on influencing factors of structural stability of airport runway underpass tunnel. Ind. Constr. 2022, 52, 165–173. [Google Scholar] [CrossRef]
- Liu, S.F.; Ling, J.M.; Yuan, J.; Yang, W.C. Evaluation and IRI criteria inversion of airport pavement roughness based on vertical acceleration response. J. Highw. Transp. Res. Dev. 2017, 34, 57–64. [Google Scholar]
- Ling, J.M.; Liu, S.F.; Yuan, J.; Yang, W.C. Applicability of IRI based evaluation of airport pavement roughness. J. Traffic Transp. Eng. 2017, 17, 20–27. [Google Scholar]
- Cheng, G.Y.; Guo, W.H. Airport pavement roughness evaluation based on three-degree-of-freedom aircraft model. J. Nanjing Univ. Aeronaut. Astronaut. 2016, 48, 606–614. [Google Scholar] [CrossRef]
- Wei, X.G.; Yang, L.C.; Liu, H.L.; Li, G.H.; Zhang, J.W. Influence of aircraft load on the dynamic response of tunnel structure beneath airfield pavement. J. Zhengzhou Univ. Aeronaut. 2022, 40, 84–91+104. [Google Scholar] [CrossRef]
- GB/T 16638.4-2008; Aerodynamics–Concepts, Quantities and Symbols–Part 4: Aerodynamic Forces, Moments, Their Coefficients and Derivatives of Aircraft. Aviation Industry Corporation of China: Beijing, China, 2008.
- Zhao, Y. Dynamic Responses and Accumulative Settlement of Subgrade under Aircraft Load in High-Filled Airport. Ph.D. Thesis, Zhejiang University, Zhejiang, China, 2018. [Google Scholar]
- MH/T 5004-2010; Specifications for Airport Cement Concrete Pavement Design. Civil Aviation Administration of China: Beijing, China, 2010.
- Lu, F.Y. Research on Stratum Spring Parameters and Stratum Boundary in Dynamic Calculation of Underground Structure. Master’s Thesis, Zhejiang University, Zhejiang, China, 2020. [Google Scholar]
- You, Q.L.; Ling, J.M. Nonlinear influence of material on mechanical response of airport asphalt pavement. J. Tongji Univ. (Nat. Sci.) 2015, 43, 866–871. [Google Scholar] [CrossRef]
- MH/T 5010-2017; Specifications for Asphalt Pavement Design of Civil Airports. Civil Aviation Administration of China: Beijing, China, 2017.
- Lu, S.S.; Xu, H.; Wang, L.S.; Liu, S.X.; Zhao, D.X.; Nie, W. Effect of flexibility ratio on seismic response of rectangular tunnels in sand: Experimental and numerical investigation. Soil Dyn. Earthq. Eng. 2022, 157, 107256. [Google Scholar] [CrossRef]
- Ling, D.; Zhang, F.; Zhao, Y.; Huang, B. Zhou, Y. Dynamic response analysis of inhomogeneous subgrade subjected to moving aircraft loads. China Civ. Eng. J. 2017, 50, 97–109. [Google Scholar] [CrossRef]


















| Item | Material | Thickness (m) | Unit Weight (kg·m−3) | Elastic Modulus (MPa) | Poisson’s Ratio | Damping Constant | Damping Constant | Mohr–Coulomb Model | |
|---|---|---|---|---|---|---|---|---|---|
| C (MPa) | |||||||||
| Rigid pavement | Cement concrete pavement | 0.4 | 2440 | 36,000 | 0.2 | 0.1 | 0.001 | / | / |
| Cement-stabilized gravel base | 0.4 | 2100 | 1500 | 0.25 | 0.1 | 0.002 | / | / | |
| Flexible pavement | Asphalt concrete pavement | 0.2 | 2380 | 1800 | 0.25 | 0.1 | 0.001 | / | / |
| Cement-stabilized gravel base | 0.3 | 2100 | 1500 | 0.25 | 0.1 | 0.002 | / | / | |
| Broken stone base course | 0.3 | 2000 | 200 | 0.2 | 0.1 | 0.002 | / | / | |
| Foundation course | Soil | 80 | 1800 | 30 | 0.4 | 1 | 0.01 | 0.001 | 25 |
| Tunnel lining | Concrete | 1.5 | 2440 | 36,000 | 0.2 | 0.1 | 0.001 | / | / |
| Aircraft | Maximum Sliding Weight (kN) | Maximum Takeoff Weight (kN) | Maximum Landing Weight (kN) | Main Landing Gear Distribution Factor | Main Landing Gear Tire Pressure (MPa) |
|---|---|---|---|---|---|
| A380–800 | 5620.00 | 5600.00 | 3860.00 | 0.97 | 1.47 |
| B-747–400 | 3978.00 | 3968.93 | 2857.63 | 0.952 | 1.38 |
| B-737–800 | 792.60 | 790.04 | 663.80 | 0.95 | 1.47 |
| Monitoring Points | Rigid Pavement | Flexible Pavement | Differential Value | Difference (%) |
|---|---|---|---|---|
| S1 | 1.156 | 0.972 | 0.184 | 15.9 |
| S2 | 1.085 | 0.867 | 0.218 | 20.1 |
| S3 | 1.077 | 0.837 | 0.240 | 22.3 |
| S4 | 1.106 | 0.901 | 0.205 | 18.5 |
| S5 | 1.187 | 1.031 | 0.156 | 13.1 |
| S6 | 1.347 | 1.203 | 0.144 | 10.7 |
| S7 | 1.456 | 1.316 | 0.140 | 9.6 |
| S8 | 1.349 | 1.191 | 0.158 | 11.7 |
Publisher’s NoteThe aircraft load excitation equations for the following study are: MDPI stays neutral with regard to jurisdictional claims in published maps and institutional affiliations. |
© 2022 by the authors. Licensee MDPI, Basel, Switzerland. This article is an open access article distributed under the terms and conditions of the Creative Commons Attribution (CC BY) license (https://creativecommons.org/licenses/by/4.0/).
Share and Cite
Yang, L.; Wei, X.; Fa, J.; Li, G.; Shi, X.; Bi, S. Numerical Study of Influencing Factors of Safety and Stability of Tunnel Structure under Airport Runway. Appl. Sci. 2022, 12, 10432. https://doi.org/10.3390/app122010432
Yang L, Wei X, Fa J, Li G, Shi X, Bi S. Numerical Study of Influencing Factors of Safety and Stability of Tunnel Structure under Airport Runway. Applied Sciences. 2022; 12(20):10432. https://doi.org/10.3390/app122010432
Chicago/Turabian StyleYang, Liuchuan, Xiaogang Wei, Jingyu Fa, Guanghui Li, Xiushan Shi, and Sifu Bi. 2022. "Numerical Study of Influencing Factors of Safety and Stability of Tunnel Structure under Airport Runway" Applied Sciences 12, no. 20: 10432. https://doi.org/10.3390/app122010432
APA StyleYang, L., Wei, X., Fa, J., Li, G., Shi, X., & Bi, S. (2022). Numerical Study of Influencing Factors of Safety and Stability of Tunnel Structure under Airport Runway. Applied Sciences, 12(20), 10432. https://doi.org/10.3390/app122010432

