Adaptive Robust Position Control of Electro-Hydraulic Servo Systems with Large Uncertainties and Disturbances
Abstract
:1. Introduction
- The RBF NN-based function approximators with adaptive mechanisms are designed to online approximate all unknown dynamic functions in the dynamics of the EHSS.
- A pair of DOBs based on the HOSM differentiators along with NNs are first developed to effectively estimate and actively compensate for not only the effects of both mismatched and matched disturbances but also the imperfections of the function approximation of RBF NNs.
- A robust control law based on the RBF NNs and DOBs is synthesized to guarantee the high-accuracy tracking performance of the EHSS control system under the impacts of large model uncertainties and disturbances.
- The combination of RBF NNs and DOBs in order to take all their advantages is originally introduced to efficiently treat both full model uncertainties and disturbances in the dynamics of EHSSs.
2. System Modeling
2.1. Mechanical System
2.2. Hydraulic System
2.3. Total System
3. Adaptive Robust Control Design
3.1. Robust Control Law Design
3.2. Levant’s High-Order Exact Differentiator
3.3. Unknown Dynamic Estimators
3.4. Disturbance Observer Design
4. Stability Analysis
5. Numerical Simulation
5.1. Simulation Setup
- The proposed controller with the control parameters , , , and . The parameters for the first Levant’s differentiator are chosen as , , , and . For the second differentiator , , and are selected. The RBF NNs are designed with 51 nodes in the hidden layer, and their parameters are , , , , , , , , , , , and . The disturbance observer gains are chosen as and .
- RBF NN-based sliding mode control without disturbance observer (RBF-SMC), in which larger controller gains are designed and to attenuate the effects of disturbances while the avoidance of the chattering phenomenon is guaranteed. The structures and parameters of RBF NNs are the same as the proposed method.
- Extended state observer-based backstepping controller (ESO-BC) [27], with the assumption that nominal system parameters are known.The control law is designed aswhere , , , and the nominal dynamic functions areThe two ESOs are designed aswhere , , and are nominal system dynamic functions using known nominal system parameters, and are the observer gains, and are the estimates of mismatched and matched disturbances, respectively, and is the estimated value of the system state . The control parameters and observer gains are chosen as , , and ; and , respectively, to make the tracking performance as good as possible without chattering issues. In this case, the nominal system parameters, which are slightly different from the actual system parameters, are employed to design the backstepping control law, as illustrated in Table 2.
- Proportional–Integral–Derivative (PID) controller with controller gains manually tuned to make the tracking performance as good as possible without chattering in the control input as , , and .
- (i)
- Maximal absolute tracking error:
- (ii)
- Average tracking error:
- (iii)
- Standard deviation of the tracking errors:
5.2. Simulation Results
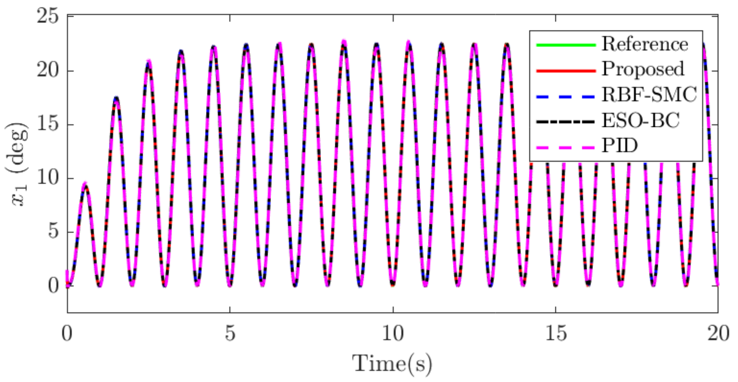
5.2.1. Slow-Motion Reference Trajectory
5.2.2. Fast-Motion Reference Trajectory
6. Conclusions
Author Contributions
Funding
Institutional Review Board Statement
Informed Consent Statement
Data Availability Statement
Conflicts of Interest
References
- Truong, H.V.A.; Trinh, H.A.; Ahn, K.K. Safety Operation of n-DOF Serial Hydraulic Manipulator in Constrained Motion with Consideration of Contact-Loss Fault. Appl. Sci. 2020, 10, 8107. [Google Scholar] [CrossRef]
- Sun, C.; Fang, J.; Wei, J.; Hu, B. Nonlinear Motion Control of a Hydraulic Press Based on an Extended Disturbance Observer. IEEE Access 2018, 6, 18502–18510. [Google Scholar] [CrossRef]
- Luo, C.; Yao, J.; Chen, F.; Li, L.; Xu, Q. Adaptive Repetitive Control of Hydraulic Load Simulator with RISE Feedback. IEEE Access 2017, 5, 23901–23911. [Google Scholar] [CrossRef]
- Choi, K.; Oh, J.; Kim, H.-S.; Han, H.-W.; Park, J.-H.; Lee, G.-H.; Seo, J.; Park, Y.-J. Experimental Study on the Dynamic Characteristics of Hydro-Pneumatic Semi-Active Suspensions for Agricultural Tractor Cabins. Appl. Sci. 2020, 10, 8992. [Google Scholar] [CrossRef]
- Yao, Z.; Yao, J.; Sun, W. Adaptive RISE Control of Hydraulic Systems with Multilayer Neural-Networks. IEEE Trans. Ind. Electron. 2019, 66, 8638–8647. [Google Scholar] [CrossRef]
- Das, J.; Mishra, S.K.; Saha, R.; Mookherjee, S.; Sanyal, D. Nonlinear modeling and PID control through experimental characterization for an electrohydraulic actuation system: System characterization with validation. J. Braz. Soc. Mech. Sci. Eng. 2017, 39, 1177–1187. [Google Scholar] [CrossRef]
- Mintsa, H.A.; Venugopal, R.; Kenne, J.; Belleau, C. Feedback Linearization-Based Position Control of an Electrohydraulic Servo System with Supply Pressure Uncertainty. IEEE Trans. Control Syst. Technol. 2012, 20, 1092–1099. [Google Scholar] [CrossRef]
- Deng, W.; Yao, J.; Wang, Y.; Yang, X.; Chen, J. Output feedback backstepping control of hydraulic actuators with valve dynamics compensation. Mech. Syst. Signal Process. 2021, 158, 107769. [Google Scholar] [CrossRef]
- Ahn, K.K.; Nam, D.N.C.; Jin, M. Adaptive Backstepping Control of an Electrohydraulic Actuator. IEEE/ASME Trans. Mechatron. 2014, 19, 987–995. [Google Scholar] [CrossRef]
- Edwards, C.; Spurgeon, S. Sliding Mode Control: Theory and Applications; CRC Press: Boca Raton, FL, USA, 1998. [Google Scholar]
- Khalil, H.K. Nonlinear Systems; Patience Hall: Hoboken, NJ, USA, 2002. (In English) [Google Scholar]
- Sun, G.; Wu, L.; Kuang, Z.; Ma, Z.; Liu, J. Practical tracking control of linear motor via fractional-order sliding mode. Automatica 2018, 94, 221–235. [Google Scholar] [CrossRef]
- Ma, Y.; Li, D.; Li, Y.; Yang, L. A Novel Discrete Compound Integral Terminal Sliding Mode Control with Disturbance Compensation for PMSM Speed System. IEEE/ASME Trans. Mechatron. 2021. early access. [Google Scholar] [CrossRef]
- Ma, Y.; Li, Y. Active Disturbance Compensation Based Robust Control for Speed Regulation System of Permanent Magnet Synchronous Motor. Appl. Sci. 2020, 10, 709. [Google Scholar] [CrossRef] [Green Version]
- Utkin, V. Variable structure systems with sliding modes. IEEE Trans. Autom. Control 1977, 22, 212–222. [Google Scholar] [CrossRef]
- Jelali, M.; Kroll, A. Hydraulic Servo-Systems: Modelling, Identification and Control; Springer Science & Business Media: Berlin/Heidelberg, Germany, 2012. [Google Scholar]
- Truong, L.V.; Huang, S.D.; Yen, V.T.; Cuong, P.V. Adaptive Trajectory Neural Network Tracking Control for Industrial Robot Manipulators with Deadzone Robust Compensator. Int. J. Control Autom. Syst. 2020, 18, 2423–2434. [Google Scholar] [CrossRef]
- Zhang, Y.; Kim, D.; Zhao, Y.; Lee, J. PD Control of a Manipulator with Gravity and Inertia Compensation Using an RBF Neural Network. Int. J. Control Autom. Syst. 2020, 18, 3083–3092. [Google Scholar] [CrossRef]
- Chen, Z.; Huang, F.; Sun, W.; Gu, J.; Yao, B. RBF-Neural-Network-Based Adaptive Robust Control for Nonlinear Bilateral Teleoperation Manipulators with Uncertainty and Time Delay. IEEE/ASME Trans. Mechatron. 2020, 25, 906–918. [Google Scholar] [CrossRef]
- Li, T.; Duan, S.; Liu, J.; Wang, L.; Huang, T. A Spintronic Memristor-Based Neural Network with Radial Basis Function for Robotic Manipulator Control Implementation. IEEE Trans. Syst. Man Cybern. Syst. 2016, 46, 582–588. [Google Scholar] [CrossRef]
- Yang, W.; Meng, F.; Meng, S.; Man, S.; Pang, A. Tracking Control of Magnetic Levitation System Using Model-Free RBF Neural Network Design. IEEE Access 2020, 8, 204563–204572. [Google Scholar] [CrossRef]
- Li, X.; Fu, W.; Liu, L.; Wang, Y. Adaptive Dynamic Surface Control for Aircraft with Multiple Disturbances Based on Radial Basis Network. IEEE Access 2020, 8, 57709–57721. [Google Scholar] [CrossRef]
- Liu, Y.J.; Zeng, Q.; Liu, L.; Tong, S. An Adaptive Neural Network Controller for Active Suspension Systems with Hydraulic Actuator. IEEE Trans. Syst. Man Cybern. Syst. 2020, 50, 5351–5360. [Google Scholar] [CrossRef]
- Ruan, W.; Dong, Q.; Zhang, X.; Li, Z. Friction Compensation Control of Electromechanical Actuator Based on Neural Network Adaptive Sliding Mode. Sensors 2021, 21, 1508. [Google Scholar] [CrossRef] [PubMed]
- Guo, Q.; Chen, Z. Neural adaptive control of single-rod electrohydraulic system with lumped uncertainty. Mech. Syst. Signal Process. 2021, 146, 106869. [Google Scholar] [CrossRef]
- Fan, R.; Li, Y. An Adaptive Fuzzy Trajectory Tracking Control via Improved Cerebellar Model Articulation Controller for Electro-Hydraulic Shovel. IEEE/ASME Trans. Mechatron. 2021, 26, 2870–2880. [Google Scholar] [CrossRef]
- Yao, J.; Deng, W. Active Disturbance Rejection Adaptive Control of Hydraulic Servo Systems. IEEE Trans. Ind. Electron. 2017, 64, 8023–8032. [Google Scholar] [CrossRef]
- Wang, C.; Zhang, Z.; Wang, H.; Zhao, B.; Quan, L. Disturbance observer-based output feedback control of hydraulic servo system considering mismatched uncertainties and internal pressure dynamics stability. IET Control Theory Appl. 2020, 14, 1046–1056. [Google Scholar] [CrossRef]
- Levant, A. Higher-order sliding modes, differentiation and output-feedback control. Int. J. Control 2003, 76, 924–941. [Google Scholar] [CrossRef]
- Nguyen, M.H.; Dao, H.V.; Ahn, K.K. Active Disturbance Rejection Control for Position Tracking of Electro-Hydraulic Servo Systems under Modeling Uncertainty and External Load. Actuators 2021, 10, 20. [Google Scholar] [CrossRef]
- Truong, H.V.; Tran, D.T.; To, X.D.; Ahn, K.K.; Jin, M. Adaptive Fuzzy Backstepping Sliding Mode Control for a 3-DOF Hydraulic Manipulator with Nonlinear Disturbance Observer for Large Payload Variation. Appl. Sci. 2019, 9, 3290. [Google Scholar] [CrossRef] [Green Version]
- Na, J.; Li, Y.; Huang, Y.; Gao, G.; Chen, Q. Output Feedback Control of Uncertain Hydraulic Servo Systems. IEEE Trans. Ind. Electron. 2020, 67, 490–500. [Google Scholar] [CrossRef]
- Wang, B.; Zhang, N.; Ji, H. Study on Precise Displacement Control of a Miniature Hydraulic System via RBF-DOB. IEEE Access 2018, 6, 69162–69171. [Google Scholar] [CrossRef]
- Cheng, Y.; Xu, B.; Lian, Z.; Shi, Z.; Shi, P. Adaptive Learning Control of Switched Strict-Feedback Nonlinear Systems with Dead Zone Using NN and DOB. IEEE Trans. Neural Netw. Learn. Syst. 2021. early access. [Google Scholar] [CrossRef]
- Levant, A. Robust exact differentiation via sliding mode technique. Automatica 1998, 34, 379–384. [Google Scholar] [CrossRef]
- Merritt, H.E. Hydraulic Control Systems; John Wiley & Sons: Hoboken, NJ, USA, 1967. [Google Scholar]
- Yao, J.; Jiao, Z.; Ma, D.; Yan, L. High-Accuracy Tracking Control of Hydraulic Rotary Actuators with Modeling Uncertainties. IEEE/ASME Trans. Mechatron. 2014, 19, 633–641. [Google Scholar] [CrossRef]
- Yao, J.; Jiao, Z.; Ma, D. Extended-State-Observer-Based Output Feedback Nonlinear Robust Control of Hydraulic Systems with Backstepping. IEEE Trans. Ind. Electron. 2014, 61, 6285–6293. [Google Scholar] [CrossRef]
- Park, J.; Sandberg, I.W. Approximation and Radial-Basis-Function Networks. Neural Comput. 1993, 5, 305–316. [Google Scholar] [CrossRef]
- Orr, M.J. Introduction to Radial Basis Function Networks; Technical Report; Center for Cognitive Science, University of Edinburgh: Edinburgh, UK, 1996. [Google Scholar]









| Parameter | Unit | Value | Parameter | Unit | Value |
|---|---|---|---|---|---|
| J | 0.2 | 0 | |||
| B | 90 | ||||
| 0 | |||||
| or | |||||
| 35 | |||||
| 40 |
| Parameter | Unit | Value | Parameter | Unit | Value |
|---|---|---|---|---|---|
| 80 | |||||
| or | 0 | ||||
| 0 | |||||
| Controller | (Degree) | (Degree) | (Degree) |
|---|---|---|---|
| Proposed Controller | |||
| RBF-SMC Controller | |||
| ESO-BC Controller | |||
| PID Controller |
| Controller | (Degree) | (Degree) | (Degree) |
|---|---|---|---|
| Proposed Controller | |||
| RBF-SMC Controller | |||
| ESO-BC Controller | |||
| PID Controller |
Publisher’s Note: MDPI stays neutral with regard to jurisdictional claims in published maps and institutional affiliations. |
© 2022 by the authors. Licensee MDPI, Basel, Switzerland. This article is an open access article distributed under the terms and conditions of the Creative Commons Attribution (CC BY) license (https://creativecommons.org/licenses/by/4.0/).
Share and Cite
Nguyen, M.H.; Dao, H.V.; Ahn, K.K. Adaptive Robust Position Control of Electro-Hydraulic Servo Systems with Large Uncertainties and Disturbances. Appl. Sci. 2022, 12, 794. https://doi.org/10.3390/app12020794
Nguyen MH, Dao HV, Ahn KK. Adaptive Robust Position Control of Electro-Hydraulic Servo Systems with Large Uncertainties and Disturbances. Applied Sciences. 2022; 12(2):794. https://doi.org/10.3390/app12020794
Chicago/Turabian StyleNguyen, Manh Hung, Hoang Vu Dao, and Kyoung Kwan Ahn. 2022. "Adaptive Robust Position Control of Electro-Hydraulic Servo Systems with Large Uncertainties and Disturbances" Applied Sciences 12, no. 2: 794. https://doi.org/10.3390/app12020794
APA StyleNguyen, M. H., Dao, H. V., & Ahn, K. K. (2022). Adaptive Robust Position Control of Electro-Hydraulic Servo Systems with Large Uncertainties and Disturbances. Applied Sciences, 12(2), 794. https://doi.org/10.3390/app12020794
