Abstract
Tissue equivalent materials (TEM) are frequently used in research as a means to determine the delivered dose to patients undergoing various therapeutic procedures. They are used in routine quality assurance and quality control procedures in diagnostic and therapeutic physics. However, very few materials that are tissue equivalent have been developed for use in research at the low photon energies involved in diagnosis radiology. The objective of this study is to describe a series of TEMs designed to radiographically imitate human tissue at diagnostic photon energies. TEMs for adipose, cortical bone, fat, lung, and muscle tissues were investigated in terms of energy absorption and exposure buildup factors for photon energy range 15–150 keV and for penetration depths up to 40 mean free path. BUF was computed based on GP-fitting method. Moreover, we also compared some radiological properties, including the total attenuation and the energy-absorption attenuation, the effective atomic number, and the CT number at 30, 100, and 120 kVp. We found that SB3, Glycerol trioleate, and MS15 perfectly mimic cortical bone, fat, and muscle tissues, respectively. Additionally, AP6 and Stracey latex are good TEM for adipose and lung tissues, respectively. The results of this work should be useful in radiation diagnosis and dosimetry applications for the large physician researcher community.
1. Introduction
Currently, reproducing tissue seems impossible due to different compositions among humans [1]. Nevertheless, new opportunities to develop materials that look and feel as close to human tissue as possible are presented with every innovation in manufacturing and material science. These are known as tissue equivalent materials (TEMs). They can be used in diagnostic and therapeutic physics for quality assurance and control. Therefore, is there a unified selection criteria for a material to be a tissue equivalent in terms of radiation response? Recently, researchers have been influenced by the application of therapy or imaging in their studies. For example, to develop TEMs in ultrasound, a set of international standards [2] is typically used. However, it is not possible to create TEMs under standard operating procedures for MRI, surgery, or thermal therapies. Surgery is the only field that has published guidelines on developing TEMs [3].
For gamma-ray irradiation, the key parameters for material specification are the linear attenuation coefficients (LACs) for photoelectric absorption, Compton scattering, and Rayleigh scattering (using NIST databases [4], ICRU 44 [5], and ICRU 46 [6]) [7]. Radiological properties are required to mimic the electron density and the mass energy-absorption coefficient as well as the density and atomic number. Based on the application, TEMs must match the absorption and scattering characteristics of body tissue to a high degree of accuracy [7]. Using the Hounsfield Unit (HU), the CT number measures how far tissue LAC differs from that of water. Typically, a particular tube voltage is used to characterize the tissue. One limitation of this method of determining tissue properties is that it only applies to a particular photon energy [8], and the density of lung and bone tissues is affected by beam hardening due to the patient’s size [9]. In addition, measured CT numbers are somewhat dependent on scanner-related factors such as calibration and imaging protocol.
During this work, we will introduce for the first time another tuning parameter for the TEM selection process called the buildup factor (BUF). As a quantification of the scattered to the unscattered beam, the BUF can inform us with the radiation exposure or the energy absorption leading to the exposure buildup factor (EBF) or to the energy absorption buildup factor (EABF). As it is well known that introducing buildup factors for comparison purposes is effective at energies where Compton scattering dominant, here we will adress the study of such phenomena in second order for choosing tissue equivalency after the effective atomic number wich remains in first order. Thus, we can talk about tuning of the TEM searching criteria. According to the particle type (photon, neutron, …), energy, and the material elemental composition, BUFs can be calculated using tabulated data from ANSI/ANS-6.4.3-1991 [10]. Those data were generated according to the five geometric progression (GP) fitting method, depending on the particle energy and the penetration depth in terms of mean free path (mfp). Moreover, the CT number, as a selection criteria, was generally calculated at 120 kVp standard beam. Here, we extended the calculation to 30 and 80 kVp in order to cover the mammography and the thorax imaging kVp intervals.
Our goal can be summarized as follows: (i) verification of the in-house C++ developed program to reproduce some standard data, (ii) introduction of the concerned tissues and their, costly effective compared to commercially available, equivalent material candidates, and (iii) search and proposition of TEMs. Thus, after checking the ability of our computation to reproduce the energy absorption and exposure buildup factors of water, we carried out the calculation of a set of physical properties. For each considered material, the computed parameters are: equivalent atomic number, BUF as a function of photon energy (15–150 keV) and penetration depth (up to 40 mfp), effective and effective absorption atomic number, mass attenuation, and mass energy-absorption coefficients and CT number (H.U.) at 30, 80, and 120 kVp standard spectra. We focused on AP6, Ethoxyethanol, and Polyethylene as TEM candidates to adipose tissue; Aluminium, P.V.C., SB3, Teflon, and Witt liquid for cortical bone tissue; Alderson fat, FT1, and Glycerol trioleate for fat tissue; Alderson lung, LN1, and Stacey latex for lung tissue and Alderson muscle 1, Alderson muscle 2, Bakelite, Goodman liquid, Lexan, M3, Mix D, MS15, MS20, Nylon-6, Paraffin wax, Perspex, Polystyrene, Shonka plastic, Temex, and Water for muscle tissue, with all elemental compositions (Table 1) provided by White [11]. Finally, a statistical comparison procedure has been carried out to conclude the best candidate TEM for the studied tissue.
Table 1.
Percentage elemental composition of studied tissues and their equivalent material candidates.
For the broad community of radiophysicists, using TEM-based techniques, the results of this study can be seen as a continuous improvement for tuning the equivalent material selection process, specific to the gamma irradiation field.
2. Materials and Methods
Here, we will briefly describe the followed procedure for studying the effectiveness use of TEM for adipose, fat, lung, cortical bone, and muscle human tissues. Hence, we started by proposing those materials and their physical properties. Then, the energy absorption and the exposure buildup computations will be carried out. Finally, we will define some other radiological parameters used along the TEMs searching procedure.
2.1. Computational Setup
We developed an in-house C++ based program able to compute needed parameters for all materials. As described above, the adipose tissue properties was compared with three candidates. The cortical bone tissue properties was compared with five candidates. The fat tissue properties was compared with three candidates. The lung tissue properties was compared with three candidates. The muscle tissue properties was compared with sixteen candidates. The elemental composition of all tissues and materials were provided by White work [11]. Additionally, Table 2 shows their atomic density (g/cm), mass attenuation coefficient (), and mass energy-absorption coefficient () in (cm/g). Total and partial attenuation coefficients were calculated for the photon energy range from 15 keV to 150 keV using the WinXCom computer code, initially developed as XCom by Berger and Hubbel [12], and using the mixture rule in the following way [13]:
where the fraction by weight of the ith element of the compound.
Table 2.
Tissue and equivalent material candidate properties: atomic density (g/cm), mass attenuation coefficient, mass energy-absorption coefficient (cm/g), and equivalent atomic number () at different photon energy of 30, 80, and 150 keV.
2.2. Buildup Factors
For nine standard photon energies, the equivalent atomic number (), the five GP fitting parameters, the energy absorption buildup factor (EABF), and the exposure buildup factor (EBF) related to the considered materials were given for photon energy of 30, 80 and 150 keV in Table 3. With seventeen standard values, the EBF and EABF were approximated to photon penetration depths up to 40 mfp. These parameters were calculated in three stages: (i) calculating the equivalent atomic number, ; (ii) evaluating the GP fitting parameters; and (iii) estimating the EABF and EBF for all tissue and phantom materials evaluated. The atomic number of an element is synonymous with the of a composite material. It describes the material’s property in the same way that the atomic number describes an element’s property in terms of radiation interaction. It is a weighted average of the number of electrons per atom in a multi-element material. To assess of the composite materials under consideration, the Total and Compton partial interaction coefficients, () and () (both given in cm/g), were calculated using the WinXCom computer code for the same photon energy range previously described. The ratio R = of each material is then calculated and matched to the corresponding ratio of elements up to the heaviest element in composite materials at standard energies. The value of R for all tissue and phantom materials considered in the study, however, did not match that of any element, but rather fell between ratios of two successive elements. As a result, the following expression was used to interpolate their [5,14]:
Table 3.
Tissue radiological parameters (GP-fitting BUF coefficients and effective and absorption effective atomic numbers) for photon energy of 30, 80, and 150 keV.
and are the ratios of the two successive elements of atomic numbers and , respectively, within which R falls at corresponding energy.
The GP method requires five fitting parameters to evaluate photon buildup factors. These coefficients (b, c, a, , and d) are dependent on and photon energy. These coefficients are provided in the ANSI report [10] for 23 elements and 25 standard photon energies. However, because the () for the materials considered in this study did not correspond to any of the 23 elements, their GP fitting coefficients were interpolated using the logarithmic interpolation formula given below:
where and are the values of GP fitting parameters obtained from ANS data base corresponding to the atomic numbers and , respectively.
According to the GP fitting method, the buildup factor can be expressed in the following way [15,16,17]:
where X and K are the depth expressed in mean free paths (, with and correspond to the linear attenuation coefficient and the atomic density, respectively) and the geometric progression term.
For X ≤ 40 mfp, we have [17]:
where, a, b, c, d, and are the five fitting parameters.
2.3. , and HU Parameters
The effective atomic number, [18], is an important parameter for tissue equivalence, radiation absorption, radiation scattering and shielding effectiveness for gamma and neutron for compound materials [19]. From the many existing methods to evaluate the effective atomic number, the direct computational method of for the selected tissue substitutes has been carried out by the specific formula [20]:
where , , and are the atomic mass, the atomic number, and the molar fraction of the ith element.
Another variant, called the effective atomic number for photon energy absorption (), can be obtained from Equation (6) by substituting the mass attenuation coefficient with the mass energy absorption coefficient, written in the following way:
Moreover, the number of electrons per unit mass called the effective electron density, , is proportional to in the following way:
where and are the Avogadro constant and the number of atoms of the ith element.
Another important and widely used parameter for comparing the radiation characteristics of a tissue and tissue equivalent material is the CT index or H.U. is given by:
where , , and are the mean linear attenuation coefficient for actual material, water, and air, respectively.
HU were generally calculated for 120 kVp standard photon beam spectrum. Here, the standard 30, 80, and 120 kVp spectra were generated using the SpeckCalc program [21].
The C++ based program includes functions able to sperately compute needed parameters such as: , , , , , , EABF, and EBF starting from a given elemental composition (that can be renormalized to be unit) of a material. Atomic density and mass molaire were included for Z between 1 and 92. Additionally, Compton and total cross sections and and for each element were included for photon energy interval up to 150 keV. Before carrying out our computations, each function was first verified against published data from literature.
3. Results and Discussion
For verification purposes, we have calculated EABF and EBF for water medium for depths up to 40 mfp in the standard selected energy range using the GP fitting method. The results obtained were compared with standard EBF data of the American National Standards (ANSI/ANS-6.4.3-1991) for several selected depths between 0.5 and 40 mfp [10]. Figure 1 clearly shows the good agreement between our interpolation and calculation methods and standard data of energy absorption and exposure buildup factors. Consequently, results obtained from the studied tissues and candidates for equivalent materials can be trusted.
Figure 1.
Comparison of calculated and standard buildup factors ((left) EABF and (right) EBF) of water medium as a function of photon energy at different depths of: 0.5, 5, 15, 25, and 40 mfp.
Our aim here is to present and discuss the results of the studies performed for each tissue and its equivalent candidate materials. For each tissue we will investigate the effects of the photon energy, penetration depth, and chemical composition on the EABF and EBF. After that, we will discuss the potentially mimicking material for each tissue.
3.1. Adipose Tissue
- Photon energy effect: Figure 2 (left side) shows the variation of BUF with incident photon energy for adipose tissue at penetration depths of 0.5, 5, 15, 25, and 40 mfp. The values of the BUF increase up to a maximum value at intermediate energies, then begin to decrease, as seen in Figure 2. The photoelectric effect is the major photon interaction process in the low energy zone, with a cross section that varies inversely with energy as . As a result of this process’ dominance, the largest number of photons will be absorbed, lowering the BUF value in the lower energy zone. Moreover, the atomic cross section of Compton scattering decreases with increasing E. Compton scattering is a dominant photon interaction activity in the intermediate energy band, however it merely participate in the reduction of photon energy owing to scattering and does not totally remove the photon. As a result, the life period of a photon is longer in this energy zone, and the probability of a photon escaping is likewise higher. The value of BUF rises as a result of this process. Due to multiple scattering effect for significant penetration depths, EBF values became quite high for the highest penetration depth of 40 mfp. BUF values reached a maximum of roughly at deep penetration values.
Figure 2. Energy absorption buildup factor for adipose tissue as a function of: (left side) photon energy for fixed depths between 0.5 and 40 mfp and (right side) depth for fixed photon energy between 15 and 150 keV. - Penetration depth effect: The variation of BUF has been studied with penetration depth at nine photon energies, 15, 20, 30, 40, 50, 60, 80, 100, and 150 keV, and is shown in Figure 2 (right side). In general, it has been observed that the BUF increases with increasing the penetration depth. In the low energy region, the increasing rate in the BUF is very slow and becomes more fast with increasing energy. Therefore, we confirm the previous interpretation of reaching a maximum at about 100 keV followed by slow decrease for greater energies.
- Chemical composition effect: The considered adipose tissue and its equivalent material candidates chemical compositions differs; this also play a crucial role in the magnitude of their buildup factors. Figure 3 and Table 2 show the variation of buildup factors at different energies (30, 80, and 150 keV) and selected penetration depths (0.5, 5, 15, 25, and 40 mfp) for the studied materials. The buildup factors magnitude and its dependency on vary according to the photon energy region. For the current studied energy range, we confirm the theoretical hypothesis of the inverse proportionality of BUF to of the materials. From Figure 3, we have EABF(AD3) > EABF(Adipose) > EABF(AD1) > EABF(AD2), as we have delta (%) = 100 ∗ (1 − EABF(Material)/EABF(Adipose)), which confirms tabulated data (AD3) < (Adipose) < (AD1) < (AD2).
Figure 3. Relative deviation of energy absorption buildup factor of substitute materials to adipose tissue as a function of: (left side) photon energy for fixed depths of 0.5, 15 and 40 mfp and (right side) depth for fixed photon energy of 30, 80 and 150 keV. - TEMs study: From Figure 3 and Table 4, we can see the close behave of AD1 to adipose tissue in terms of BUF and CT number at 30 kVp. However, the candidate AD2 presented a better closeness when looking into the effective atomic number ( & ) and CT number at 80 and 120 kVp. Besides, the usual largest deviation of AD3 to adipose tissue was seen for all parameters. Thus, we can conclude that AD1 can be an acceptable TEM to adipose (at least for mammography imaging).
Table 4. Average relative deviation (in %) of equivalent material candidates from their reference tissues spanning both variable intervals of depth (up to 40 mfp) and photon energy (up to 150 keV). CT number differences were also given for 30, 80, and 120 kVp photon standard beams.
3.2. Cortical Bone Tissue
Same global interpretations as those for adipose tissue, in terms of photon energy, penetration depth and chemical composition effects, remain valid here and after. From Figure 4 and Figure 5 and Table 4, we can seen the close behave of CB3 to cortical bone tissue for all studied parameters, including BUF and CT numbers. Thus, we can conclude that CB3 can be as a nearly perfect TEM to cortical bone tissue, for medical dosimetry, radiotherapy and imaging purposes especially for mammography and thorax diagnosis.
Figure 4.
Energy absorption buildup factor for cortical bone tissue as a function of: (left side) photon energy for fixed depths between 0.5 and 40 mfp and (right side) depth for fixed photon energy between 15 and 150 keV.

Figure 5.
Relative deviation of energy absorption buildup factor of substitute materials to cortical bone tissue as a function of: (left side) photon energy for fixed depths of 0.5, 15 and 40 mfp and (right side) depth for fixed photon energy of 30, 80 and 150 keV.
3.3. Fat Tissue
From Figure 6 and Figure 7 and Table 4, we can seen the close behave of FA3 to fat tissue for all studied parameters, including BUF and CT numbers. Thus, we can conclude that FA3 can be as a nearly perfect TEM to fat bone tissue, for medical dosimetry, radiotherapy, and imaging purposes, especially for mammography and thorax diagnosis.
Figure 6.
Energy absorption buildup factor for fat tissue as a function of: (left side) photon energy for fixed depths between 0.5 and 40 mfp and (right side) depth for fixed photon energy between 15 and 150 keV.
Figure 7.
Relative deviation of energy absorption buildup factor of substitute materials to fat tissue as a function of: (left side) photon energy for fixed depths of 0.5, 15 and 40 mfp and (right side) depth for fixed photon energy of 30, 80 and 150 keV.
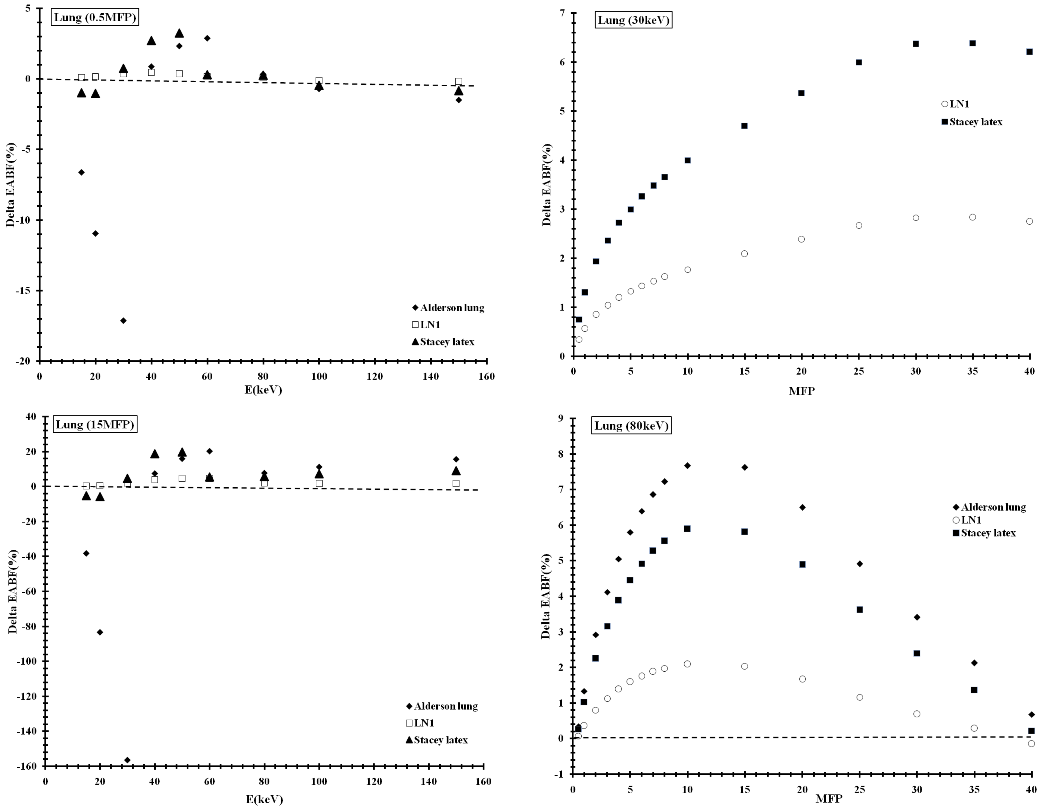
3.4. Lung Tissue
From Figure 8 and Figure 9 and Table 4, we can seen the close behave of LU3 to Lung tissue for all studied parameters, including BUF and CT numbers. Thus, we can conclude that LU3 can be as an acceptable TEM to lung tissue, for medical dosimetry, radiotherapy, and imaging purposes, especially for mammography and thorax diagnosis.
Figure 8.
Energy absorption buildup factor for lung tissue as a function of: (left side) photon energy for fixed depths between 0.5 and 40 mfp and (right side) depth for fixed photon energy between 15 and 150 keV.

Figure 9.
Relative deviation of energy absorption buildup factor of substitute materials to lung tissue as a function of: (left side) photon energy for fixed depths of 0.5, 15 and 40 mfp and (right side) depth for fixed photon energy of 30, 80 and 150 keV.
3.5. Muscle Tissue
From Figure 10 and Figure 11 and Table 4, we can seen the close behave of MU8 to muscle tissue for all studied parameters, including BUF and CT numbers. Thus, we can conclude that MU8 can be as a nearly perfect TEM to cortical bone tissue, for medical dosimetry, radiotherapy, and imaging purposes, especially for mammography and thorax diagnosis. Additionally, MU16 can be a good TEM candidate to muscle tissue for medical dosimetry and imaging, except for mammography domain where it is not better.
Figure 10.
Energy absorption buildup factor for muscle tissue as a function of: (left side) photon energy for fixed depths between 0.5 and 40 mfp and (right side) depth for fixed photon energy between 15 and 150 keV.
Figure 11.
Relative deviation of energy absorption buildup factor of substitute materials to muscle tissue as a function of: (left side) photon energy for fixed depths of 0.5, 15 and 40 mfp and (right side) depth for fixed photon energy of 30, 80 and 150 keV.
Nowadays, the development of textured phantoms for medical imaging, dosimetry, and radiotherapy is driven by an urgent need for appropriate phantoms for quality assurance and optimization purposes. The development of 3D prints is the most promising method for mimicking human tissues texture and attenuation accurately and reproducibly [22,23]. A modification of the printers to improve resolution and the use of dithering to provide smooth transitions between materials are two of the latest refinements [24]. However, this study can be important for in-house phantom development as an easiest formulation and manufacturing procedure to the scientific researcher community. Moreover, our next work will be focused on TEM searching for large photon energy range and for 3D printing materials for nuclear medicine purposes.
4. Conclusions
Nowadays, tissue equivalent materials, typically forming certain model of the human body or part of it, have been widely used in both diagnosis and therapeutic applications. In this paper, we have presented several specifications which have been observed to be used by researchers in recent years. These specifications have varied according to the application and type of diagnosis or therapy in concern. While these are not standards, we hope they can facilitate discussions concerning requirements for developing TEMs. Our ability to differentiate between good and perfect TEMs had been enhanced by adding the buildup factor and CT number at different kVps as criteria for selection. During this work, after the investigation of the radiological properties of adipose, cortical bone, fat, lung and muscle and their equivalent material candidates for photon energy range of 15–150 keV, SB3, glycerol trioleate, and MS15 were found to mimic cortical bone, fat, and muscle tissue, respectively. In addition, AP6 and Stracey Latex are suitable TEMs for fat and lung tissue, respectively. As they can mimic idealized tissue, TEMs are useful in medical research to evaluate clinical imaging, therapeutic device performance, and medical procedures in a test setting without endangering animals or humans.
Author Contributions
Conceptualization, methodology, investigation, writing—original draft preparation, writing—review and editing, O.K. and A.A. All authors have read and agreed to the published version of the manuscript.
Funding
This research received no external funding.
Institutional Review Board Statement
Not applicable.
Informed Consent Statement
Not applicable.
Data Availability Statement
Not applicable.
Acknowledgments
The authors extend their appreciation to the College of Applied Medical Sciences Research Center and the Deanship of Scientific Research at King Saud University, Saudi Arabia.
Conflicts of Interest
The authors declare no conflict of interest.
Abbreviations
The following abbreviations are used in this manuscript:
| GP | Geometric Progression |
| BUF | BuildUp Factor |
| EABF | Energy Absorption BuildUp Factor |
| EBF | Exposure BuildUp Factor |
| AD1 | AP6 |
| AD2 | Ethoxyethanol |
| AD3 | Polyethylene |
| CB1 | Aluminium |
| CB2 | P.V.C. |
| CB3 | SB3 |
| CB4 | Teflon |
| CB5 | Witt liquid |
| FA1 | Alderson fat |
| FA2 | FT1 |
| FA3 | Glycerol trioleate |
| LU1 | Alderson lung |
| LU2 | LN1 |
| LU3 | Stacey latex |
| MU1 | Alderson muscle 1 |
| MU2 | Alderson muscle 2 |
| MU3 | Bakelite |
| MU4 | Goodman liquid |
| MU5 | Lexan |
| MU6 | M3 |
| MU7 | Mix D |
| MU8 | MS15 |
| MU9 | MS20 |
| MU10 | Nylon-6 |
| MU11 | Paraffin wax |
| MU12 | Perspex |
| MU13 | Polystyrene |
| MU14 | Shonka plastic |
| MU15 | Temex |
| MU16 | Water |
References
- McGarry, C.K.; Grattan, L.J.; Ivory, A.M.; Leek, F.; Liney, G.P.; Liu, Y.; Miloro, P.; Rai, R.; Robinson, A.; Shih, A.J.; et al. Tissue mimicking materials for imaging and therapy phantoms: A review. Phys. Med. Biol. 2020, 65, 23TR01. [Google Scholar] [CrossRef]
- IEC. Particular Requirements for the Basic Safety and Essential Performance of Ultrasonic Medical Diagnostic and Monitoring Equipment; IEC 2007 IEC 60601-2-37:2007; IEC: London, UK, 2007. [Google Scholar]
- Li, P.; Yang, Z.; Jiang, S. Tissue mimicking materials in image-guided needle-based interventions: A review Mater. Sci. Eng. C 2018, 93, 1116–1131. [Google Scholar] [CrossRef] [PubMed]
- XCOM: Photon Cross Sections Database. Available online: Https://www.nist.gov/pml/xcom-photon-cross-sections-database (accessed on 6 December 2021).
- International Commission on Radiation Units and Measurements ICRU. Tissue Substitutes in Radiation Dosimetry and Measurement; Report No. 44; ICRU: Bethesda, MD, USA, 1989. [Google Scholar]
- International Committee on Radiation Units and Measurements. Photon, Electron, Proton and Neutron Interaction Data for Body Tissues; Report 46; ICRU: Bethesda, MD, USA, 1992. [Google Scholar]
- White, D.R.; Booz, J.; Griffith, R.V.; Spokas, J.J.; Wilson, I.J. Tissue substitutes in radiation dosimetry and measurement. J. Int. Comm. Radiat. Units Meas. 1989, os23. [Google Scholar] [CrossRef]
- Taylor, M.L.; Smith, R.L.; Dossing, F.; Franich, R.D. Robust calculation of effective atomic numbers: The Auto-Z eff software. Med. Phys. 2012, 39, 1769–1778. [Google Scholar] [CrossRef] [PubMed]
- Ai, H.A.; Meier, J.G.; Wendt, R.E. HU deviation in lung and bone tissues: Characterization and a corrective strategy. Med. Phys. 2018, 45, 2108–2118. [Google Scholar] [CrossRef] [PubMed]
- American National Standard. Gamma-ray Attenuation Coefficients and Buildup Factors for Engineering Materials; ANSI/ANS-6.4.3; American National Standard: New York, NY, USA, 1991. [Google Scholar]
- White, D.R. Tissue substitutes in experimental radiation physics. Med. Phys. 1978, 5, 467. [Google Scholar] [CrossRef] [PubMed]
- Berger, M.J.; Hubbell, J.H. XCOM: Photon Cross-Sections on a Personal Computer; No. NBSIR-87-3597; National Bureau of Standards: Washington, DC, USA, 1987. [Google Scholar]
- Jackson, D.F.; Hawkes, D.J. X-ray attenuation coefficients of elements and mixtures. Phys. Rep. 1981, 70, 169–233. [Google Scholar] [CrossRef]
- Constantinou, C. Tissue Substitutes for Particulate Radiations and Their Use in Radiation Dosimetry and Radiotherapy. Ph.D. Thesis, University of London, London, UK, 1978. [Google Scholar]
- Olarinoye, I.O. Photon buildup factors for some tissues and phantom materials for penetration depths up to 100 MFP. J. Nucl. Res. Dev. 2017, 13, 57–67. [Google Scholar]
- Saleh, H.H.; Sharaf, J.M.; Alkhateeb, S.B.; Hamideen, M.S. Studies on equivalent atomic number and photon buildup factors for some tissues and phantom materials. Radiat. Phys. Chem. 2019, 165, 108388. [Google Scholar] [CrossRef]
- Kadri, O.; Alfuraih, A. Photon energy absorption and exposure buildup factors for deep penetration in human tissues. Nucl. Sci. Tech. 2019, 30, 1–9. [Google Scholar] [CrossRef]
- Olarinoye, I. Variation of effective atomic numbers of some thermoluminescence and phantom materials with photon energies. Res. J. Chem. Sci. 2011, 1, 64–69. [Google Scholar]
- Vishwanath, P.S.; Badiger, N.M. Effective atomic numbers of some tissue substitutes by different methods: A comparative study. J. Med. Phys. 2014, 39, 24–31. [Google Scholar]
- Manohara, S.R.; Hanagodimath, S.M.; Thind, K.S.; Gerward, L. On the effective atomic number and electron density: A comprehensive set of formulas for all types of materials and energies above 1 keV. Nucl. Instru. Meth. Phys. Res. B 2008, 266, 3906–3912. [Google Scholar] [CrossRef]
- Poludniowski, G.; Landry, G.; Deblois, F.; Evans, P.M.; Verhaegen, F. SpekCalc: A program to calculate photon spectra from tungsten anode X-ray tubes. Phys. Med. Biol. 2009, 54, N433. [Google Scholar] [CrossRef] [PubMed] [Green Version]
- Bliznakova, K.; Buliev, I.; Bliznakov, Z. Anthropomorphic Phantoms in Image Quality and Patient Dose Optimization; A Eutempe Network Book; Bliznakova, K., Buliev, I., Zhivko, B., Eds.; IOP Publishing: Bristol, UK, 2018. [Google Scholar]
- Samei, E.; Bakalyar, D.; Boedeker, K.L.; Brady, S.; Fan, J.; Leng, S.; Myers, K.J.; Popescu, L.M.; Ramirez, Giraldo, J.C.; Ranallo, F.; et al. Performance evaluation of computed tomography systems: Summary of AAPM Task Group 233. Med. Phys. 2019, 46, e735–e756. [Google Scholar] [CrossRef] [PubMed] [Green Version]
- Rossman, A.H.; Catenacci, M.; Zhao, C.; Sikaria, D.; Knudsen, J.E.; Dawes, D.; Gehm, M.E.; Samei, E.; Wiley, B.J.; Lo, J.Y.C.; et al. Three-dimensionally-printed anthropomorphic physical phantom for mammography and digital breast tomosynthesis with custom materials, lesions, and uniform quality control region. J. Med. Imaging 2019, 6, 021604. [Google Scholar] [CrossRef] [PubMed]
Publisher’s Note: MDPI stays neutral with regard to jurisdictional claims in published maps and institutional affiliations. |
© 2022 by the authors. Licensee MDPI, Basel, Switzerland. This article is an open access article distributed under the terms and conditions of the Creative Commons Attribution (CC BY) license (https://creativecommons.org/licenses/by/4.0/).