Effect of Lead Ion Contamination on the Microstructure of Guilin Red Clay
Abstract
:1. Introduction
2. Experimental Method
3. Experimental Results and Analysis
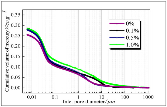
3.1. Mercury Pressure Test and Analysis of Results
3.2. Scanning Electron Microscopy Test and Analysis of Results
- (1)
- The results of the mercury pressure test indicated that the heavy metal (Pb2+) has a significant effect on destroying the microstructure of the soil. In addition, as the concentration of Pb2+ increases, the pore space continuously expands, and the small pore space gradually becomes large pore space, thereby increasing the volume of the soil unit. The smaller the pore structure, the weaker the erosion effect.
- (2)
- The results of the electron microscope scanning test further illustrated the results of the mercury piezoelectric test. Under the influence of Pb2+, an increase in the concentration of Pb2+ reduces the thickness of the red clay’s double electric layer, and the interparticle interaction force likewise becomes weaker as a result, producing a similar lubricating effect.
- (3)
- The results of the above two preceding experiments indicate that the microscopic mechanism of Pb2+ contaminated Guilin red clay is as follows: on the one hand, when the heavy metal ions enter the soil body, the soil body generates fissures, which increases the pore volume and causes the structure to loosen; on the other hand, the thickness of the double electric layer on the surface of the soil particles decreases, which weakens the particle-particle interaction. In conclusion, the macroscopic mechanical properties of the Pb2+ contaminated Guilin red clay are affected by two aspects.
Author Contributions
Funding
Institutional Review Board Statement
Informed Consent Statement
Data Availability Statement
Acknowledgments
Conflicts of Interest
References
- Haibo, L.V.; Zhaotian, Z.E.; Guoqiang, Y.I.; Yanlin, Z.H. Analysis of mineral composition of Guangxi red clay. J. Eng. Geol. 2012, 20, 651–656. [Google Scholar]
- Dong, W.; Wang, B.; Yao, Y.; Tian, P. Effect of different dispersants on the analytical test of red clay particles. Sci. Technol. Eng. 2015, 19, 165–168+187. [Google Scholar]
- Wang, Y.; Chen, X.; Zhao, Y.; Qi, S. Characteristics of heavy metal contamination and dominant plant accumulation in soils of lead and zinc mining areas. Zinc mining areas. J. China Univ. Min. Technol. 2007, 36, 487–493. [Google Scholar]
- Li, J.; Yin, R.; Luo, Y.; Lu, Y.; Zhang, L. Evaluation of soil heavy metal pollution in the Daxin manganese mining area of Guangxi. Environ. Sci. Technol. 2010, 33, 183–190. [Google Scholar]
- Chen, X.; Ding, X.; Song, Y. Effects of lignin on physical and mechanical properties of red clay. Sci. Technol. Eng. 2021, 21, 5922–5928. [Google Scholar]
- Li, J.; Chen, X.; Huang, X.; Xu, K. Mechanical properties and microstructure test of zinc-contaminated red clay. J. Henan Univ. Sci. Technol. 2020, 41, 99–104. [Google Scholar]
- Tan, L. Overview and development of research on microstructure of soils. Geotech. Mech. 1983, 1, 73–86. [Google Scholar]
- Liao, Y.; Yu, P. Microstructure of red clay and its probabilistic model. J. Eng. Geol. 1994, 1, 27–37. [Google Scholar]
- Zhou, X.; Liao, Y. Colloidal chemical characteristics of structural linkages between red clay particles. J. Guizhou Univ. Technol. 2004, 1, 26–29. [Google Scholar]
- Lu, H.; Liao, Z.; Wang, Q.; Zhao, Y.; Chen, W. Microstructure and deformation strength properties of lead-contaminated clay. J. Rock Mech. Eng. 2014, 33 (Suppl. S2), 4252–4257. [Google Scholar]
- Jiang, S.L.; Qiang, X.; Ping, W. Effect of lead (II) on the mechanical behavior and microstructure development of a Chinese clay. Appl. Clay Sci. 2015, 105–106, 92–199. [Google Scholar]
- Zhang, T.; Li, J.; Wang, P.; Huang, X.; Xue, Q. Experimental study on the mechanical properties and microscopic mechanism of lead-contaminated soil cured by magnesium phosphate cement. Geotechnics 2016, 37 (Suppl. S2), 279–286. [Google Scholar] [CrossRef]
- Lv, H.; Xue, X.; Jiang, Y.; Yin, G.; Zeng, Z. Microstructure analysis of Liuzhou red clay based on mercury injection test and nitrogen adsorption test. Sci. Technol. Eng. 2020, 20, 14619–14624. [Google Scholar]
- Jin, P.; Zhen, W.; Chen, B.; Sun, D.A.; Gao, Y.; Xiong, Y. Effect of microstructure on water retention behavior of lateritic clay over a wide suction range. Geomech. Eng. 2021, 25, 417–428. [Google Scholar]
- Song, Y.; Wang, J.Q.; Chen, X.J.; Yu, S.Z.; Ban, R.L.; Yang, X.; Zhang, X.; Han, Y. Study the effects of dry-wet cycles and cadmium pollution on the mechanical properties and microstructure of red clay. Environ. Pollut. 2022, 302, 119037. [Google Scholar] [CrossRef] [PubMed]





| Natural Moisture Content (%) | Soil Particle Relative Density | Liquid Limit (%) | Plastic Limit (%) | Maximum Dry Densityg·cm−3 | Optimum Moisture Content (%) |
|---|---|---|---|---|---|
| 27.3 | 2.69 | 62 | 47 | 1.55 | 30 |
| Heavy Metal Pollution Concentration | 0% | 0.1% | 0.5% | 1.0% |
| Porosity | 56.82% | 59.62% | 62.97% | 63.73% |
Publisher’s Note: MDPI stays neutral with regard to jurisdictional claims in published maps and institutional affiliations. |
© 2022 by the authors. Licensee MDPI, Basel, Switzerland. This article is an open access article distributed under the terms and conditions of the Creative Commons Attribution (CC BY) license (https://creativecommons.org/licenses/by/4.0/).
Share and Cite
Song, Y.; Dong, S.; Ding, S.; Geng, Y.; Huang, Y.; Li, H. Effect of Lead Ion Contamination on the Microstructure of Guilin Red Clay. Appl. Sci. 2022, 12, 9888. https://doi.org/10.3390/app12199888
Song Y, Dong S, Ding S, Geng Y, Huang Y, Li H. Effect of Lead Ion Contamination on the Microstructure of Guilin Red Clay. Applied Sciences. 2022; 12(19):9888. https://doi.org/10.3390/app12199888
Chicago/Turabian StyleSong, Yu, Shuaishuai Dong, Song Ding, Yukun Geng, Yaoyi Huang, and Hui Li. 2022. "Effect of Lead Ion Contamination on the Microstructure of Guilin Red Clay" Applied Sciences 12, no. 19: 9888. https://doi.org/10.3390/app12199888
APA StyleSong, Y., Dong, S., Ding, S., Geng, Y., Huang, Y., & Li, H. (2022). Effect of Lead Ion Contamination on the Microstructure of Guilin Red Clay. Applied Sciences, 12(19), 9888. https://doi.org/10.3390/app12199888
