Next Article in Journal
The Study of the Effectiveness of Advanced Algorithms for Learning Neural Networks Based on FPGA in the Musical Notation Classification Task
Previous Article in Journal
High Tracking Control for a New Independent Metering Valve System Using Velocity-Load Feedforward and Position Feedback Methods
 
 
Font Type:
Arial Georgia Verdana
Font Size:
Aa Aa Aa
Line Spacing:
Column Width:
Background:
Article

Research on the Range-Frequency Interference Characteristics of Target Scattering Field in a Shallow Water Waveguide

1
Automation Department, Hangzhou Dianzi University, Hangzhou 310018, China
2
Department of Naval Architecture, Ocean and Civil Engineering, Shanghai Jiaotong University, Shanghai 200240, China
3
Department of Electronic and Information Engineering, Guangdong Ocean University, Zhanjiang 524088, China
*
Author to whom correspondence should be addressed.
Appl. Sci. 2022, 12(19), 9828; https://doi.org/10.3390/app12199828
Submission received: 7 September 2022 / Revised: 24 September 2022 / Accepted: 27 September 2022 / Published: 29 September 2022
(This article belongs to the Section Acoustics and Vibrations)

Abstract

:
Based on the target scattering model and the normal mode theory in a shallow water waveguide, a mathematical model of the acoustic intensity under the coupling condition of the target and the environment was deduced, and the interference striations in the monostatic and bistatic configuration were obtained by simulations. Further, a field experiment was carried out in a lake, and the data were collected for a spherical target in two frequency bands, i.e., 20−40 kHz and 40−80 kHz. The experiment results showed good agreement with the simulations. The results of the simulation and the experiment showed that the existence of the target made the interference phenomenon in shallow water waveguides more complex, and the range-frequency interference characteristics were closely related to the configuration of the sonar system, the target scattering function, the frequency range, and the target movement trajectory. These interference phenomena were found and theoretically analyzed in the paper. The research results can be applied to target detection and recognition, signal parameter estimation, target tracking, and other fields.

1. Introduction

In the shallow water environment, the images of acoustic intensity versus range and frequency show alternately dark and bright striation structures [1,2]. This study started from passive acoustic fields. Bachman [3] and Vianna [4] studied the space−frequency domain distribution of the acoustic intensity of broadband sources at a fixed depth, and Tang [5] and Weng [6] observed the interference striations in the field experiments. All interference striations in these studies are distributed along straight lines. Chuprov [7] introduced the concept of a waveguide invariant, which related the intensity of the wave, the distance from the source to the receiver, and the frequency. Researchers used the waveguide invariant to characterize the interference striations in their studies and applied it to the source depth estimation [8,9], source localization [10,11], and passive ranging [12].
In active acoustic fields, interference striations still exist [13]. When there is a target in active acoustic fields, the interference pattern of the sound field will become more complicated due to the coupling of the target and the environment. There have been a number of recent demonstrations of active sonar striations in underwater acoustic fields. Zurk’s team [14,15] carried out a series of studies. They studied the coherence characteristics of the echo sound field of the active sonar target and proposed an invariance principle similar to that of passive sonar. In their research, the scattering function of the target is approximated by δ and 1 (the former is used to represent a non-mixed target without coupling between scattering modes; the latter is used to represent the scattering function of a target with coupling between scattering modes). The experiments are carried out with the glass sphere and the flat plate as the target, and the structural characteristics of the interference striations are obtained. Later, Tang [16] studied the interference structure of active sonar reverberation signals and proposed an interference striation enhancement algorithm based on a variable window STFT transformation, which made the reverberation interference structure clearer. Goldhahn [17] carried out a controlled tank experiment.
The interference striations features of the active sound field are of great significance and can be applied to many fields, such as target detection [18,19] and target tracking [20]. In the current research, the δ function and 1 are used to approximate the scattering function of a target. This approximation method does not contain the target parameters (shape, structure, material, etc.) and scattering angle information [21]. This leads to the interference striations obtained, which do not reflect the target features. In addition, the impact of a configuration of active sonar and its operating parameter (frequency, wideband, etc.) on the interference striations has not been analyzed theoretically and experimentally in depth. All of the above limit the understanding and application of the active interference striations. Therefore, this paper pays close attention to the following problems: What are the different phenomena of interference striations between the monostatic configuration and the bistatic configuration? What is the effect of the target’s scattering function on the interference striations? How do the sonar work parameters and the motion state of the target affect the interference striations?
The theoretical model of the interference striations was derived based on the normal mode theory and the target scattering theory in shallow water waveguides in Section 2. Simulations were performed for two scenarios, i.e., the monostatic configuration and the bistatic configuration, and the target scattering characteristic and the interference patterns for the two scenarios were obtained in Section 3. Four typical phenomena, i.e., the bending phenomena, the density phenomena, the slope phenomena, and the discontinuity phenomena, were obtained and analyzed theoretically in Section 4, and the above problems were answered in this part. Furthermore, the lake experiment was carried out, and the theory in this paper was verified by the measured data in Section 5.

2. Theoretical Model

A complete active sonar system consists of a source, a receiver, and a target. For the active sonar system in shallow water waveguides, the source transmits an acoustic signal, and the acoustic signal propagates forward. When it encounters the target, it scatters and the scattered field is received by the receiver. A front view of the relative positional relationship between the source, the target, and the receiver is shown in Figure 1, which includes two cases: Figure 1a is the monostatic configuration, and Figure 1b is the bistatic configuration. In Figure 1, r1 is the distance from the source to the target, r2 is the distance from the target to the receiver, the ocean depth is denoted as H, zs is the depth of the source, zt is the depth of the target, and zr is the depth of the receiver.
The acoustic path in the sonar configuration has two parts: the source to the target path (r1) and the target to the receiver path (r2). For a target in the far field, the field point acoustic pressure for small grazing angles can be expressed as:
p r 1 , z t ; r 2 , z r ; z s ; ω = C 2 m n Ψ m z s Ψ m z t e i k m r 1 k m r 1 × S α m , Φ 0 ; α n , Φ Ψ n z t Ψ n z r e i k n r 2 k n r 2 .
The interpretation of Equation (1) is straightforward. The acoustic pressure amplitude of the scattered field is the product of the far-field scattering function and the mode function of the incident and scattered fields. The azimuth of the scattering function is obtained jointly from the source and the field point. Where C = i e i π / 4 / ρ 8 π is the normalization constant, k m and k n are the horizontal wavenumbers of the mth and nth normal modes, respectively.
Supposing B m = Ψ m z s Ψ m z t e i k m r 1 k m r 1 , it is the effect of the mth propagating mode on the sound field, when the acoustic signal propagates between the source and the target. B n = Ψ n z t Ψ n z r e i k n r 2 k n r 2 is the effect of the nth scattering mode, when the acoustic signal is coupled with the target and propagates to the receiver. The scattering function [21] S α m , Φ 0 ; α n , Φ , where α m and Φ 0 are the grazing and azimuth angles of the incident mode m, respectively, and α n and Φ are the grazing and azimuth angles, respectively, corresponding to the scattered mode, is an important property of the target that can reflect the shape, structure, and material of the target, as well as the scattering angle information.
The acoustic intensity of the field scattered from a far-field target can be written as I = | p | 2 . In order to simplify the expression, B m n = C 2 Ψ m z s Ψ m z t k m r 1 Ψ n z r Ψ n z t k n r 2 and S m n = S α m , Φ 0 ; α n , Φ are defined. The acoustic pressure can be expressed as:
p r 1 , z t ; r 2 , z r ; z s ; ω = m n B m n S m n e i ( k m r 1 + k n r 2 ) .
Using this equation, the sound field intensity I = | p | 2 at the receiver can be expressed as:
I = p 2 = m , n p , q B m n B p q S m n S p q e i ( k m r 1 + k n r 2 k p r 1 k q r 2 ) .
In this way, the intensity of the sound field can be quickly calculated with the help of the above equation to produce the range-frequency image of the acoustic intensity. In order to more intuitively explain how the interference pattern is formed, the acoustic pressure representation is converted into the following form:
I = m , n B m n 2 S m n 2 + 2 m , n p > m , q > n B m n B p q S m n S p q cos k m k n r 1 + k p k q r 2 .
The cosine term in Equation (4) represents the interference between any pair of modes in the propagation paths (r1 and r2) of the two acoustic waves. It includes the mutual interference of any two incident modes, the mutual interference of any two scattered modes, and the mutual interference between any incident and scattered modes, which cause the interference phenomenon.
In the interference striations, the acoustic intensity satisfies d I = I w d w + I r d r . Referring to the definition of the sonar waveguide invariant, the active sonar waveguide invariant γ is obtained as:
γ = r b ω I / r b I / ω = β + ϵ .
where ϵ is a function of the phase velocity, the target scattering properties, and the mode function.

3. Simulation

The sound field interference pattern in the ocean waveguide with a pressure-release surface and an ideal rigid bottom can be calculated from Equations (1) and (3). The ocean depth was 50 m. The ocean environment was modeled as an isovelocity channel with a sound speed c of 1500 m/s. The source transmitted the linear frequency-modulated signal (LFM) in three bands: 400−800 Hz, 4000−8000 Hz, and 40−80 kHz. Based on the above model, simulations were performed for two scenarios, i.e., the field with a target observed by an active sonar in monostatic configuration and the field with a target observed by an active sonar in bistatic configuration. The interference patterns for the two scenarios were obtained.

3.1. The Target Scattering Simulation

The target was a sphere with a diameter of 0.5 m in this paper. Figure 2a–c shows the amplitude intensities of the scattering function in three bands: 400−800 Hz, 4000−8000 Hz, and 40−80 kHz, respectively.
In Figure 2, it can be seen that the magnitude of the scattering function was a function of the frequency and the angle. At low frequencies, the scattering function amplitude did not change much between different angles, and the scattering function amplitude did not change much during the movement of the target. The greater the frequency, the greater the difference in amplitude between different angles, and small changes in angle led to greater changes in amplitude, as shown in Figure 1c.

3.2. Monostatic Mode Simulation

The monostatic mode simulation is shown in Figure 1a. The target, the source, and the receiver were all at the same depth of 25 m. The source and the receiver were fixed on the same platform, and the distance between the two was small (0.5 m). The target moved in a direction away from the source.
Figure 3 shows an interference pattern observed by the above configuration for frequencies: 400−800 Hz, 4−8 kHz, and 40−80 kHz. When the target moved a range of 90 m to a range of 60 m, the shape of the striations was similar to the trajectory of the target. The interference pattern of the high-frequency part of the band was wider than that of the low-frequency part, and the striations in the high-frequency band were close. The interference pattern of the active sonar monostatic configuration was basically the same as that of the non-target experiment field.

3.3. Bistatic Mode Simulation

For the bistatic configuration in Figure 1b, the target, the source and the receiver were all at the same depth of 25 m. The distance between the fixed source and the fixed receiver was 60 m. The spherical target with a diameter of 0.5 m moved along the line which was 60 m away from the line where the source and the receiver were located.
Figure 4 shows the interference pattern observed by the above configuration for frequencies: 400−800 Hz, 4−8 kHz, and 40−80 kHz. As the target moved from 78 m to 60 m, the shape of the striations followed the shape of the target’s trajectory. The striations bent more in this configuration, compared to that in the monostatic configuration. The striations were discontinuous, and the sound field intensity of the high-frequency part was more pronounced than that of the low-frequency part. The interference striations were denser at high-frequency bands. In addition, the striations were wide in the high-frequency part and narrow in the low-frequency part at one frequency band.

4. Experimental Verification

4.1. Overview

In November 2020, a test was carried out at the Moganshan Lake (Figure 5d) in Huzhou City, Zhejiang Province, using a spherical target in a monostatic configuration. The device and the test scene are shown in Figure 5. The lake depth was 14 m. The environment was modeled as an isovelocity channel with a sound speed c of 1500 m/s. The target (Figure 5c), the fixed source (Figure 5a), and the fixed receiver (Figure 5b) were at the same depth of 7 m. The distance between the source and the receiver was 4 m. The spherical target with a diameter of 1.2 m moved in the direction indicated by the arrow. This test was performed at frequency bands of 20−40 kHz and 40−80 kHz. The test configuration is shown in Figure 6.
The target echo signal received by the receiver was processed using the following steps: the signal was preprocessed to remove the interference of the noise and the clutter, the track of the target was obtained, a spectrum analysis was performed to obtain the range-frequency image of the echo signal, and the striations characteristics were analyzed.

4.2. Test Results

Figure 7 and Figure 8 show a comparison between the experiment results and the simulation results under the condition shown in Section 4.1.
Figure 7 and Figure 8 show that the striations shape of the simulation results was consistent with that of the experimental results. Figure 7b and Figure 8b show the intensity of the experimental striations varied with frequency. The target moved from near to far, and due to the attenuation characteristics of the signal in water, the intensity of the signal trace was weak at a longer range. The shape of the striations followed the shape of the target’s trajectory. The interference striations at the high frequency were denser than those at the low frequency.

5. The Striations Interference Phenomenon and Its Formation Mechanism

From the above simulation and experimental results, four typical phenomena were observed, namely the bending, the density, the slope, and the discontinuities. These mechanisms were analyzed theoretically as follows.

5.1. The Phenomenon of Striations Bending and Its Generation Mechanism

In the simulation results for the monostatic configuration (Figure 3), the striations were straight in all frequency bands. In Section 4, the striations obtained from the monostatic configuration experiments were also straight. However, in the bistatic configuration (Figure 4), the simulation striations became bent at every frequency band. In order to explain the phenomenon, we started with the definition of the waveguide invariant. From Equation (5), we obtained the relationship between ω and r, that is:
ω = 1 γ Δ ω Δ r b r b .
The invariants γ and Δ ω / Δ r b were constants, and the relationship between ω and the distance r was linear, indicating that the striations shape in the range-frequency spectrogram was approximately consistent with the target motion trajectory. This was verified by the simulation for two scenarios (Figure 3 and Figure 4). The specific factor was determined by the value of the invariant and Δ ω / Δ r b . The white dotted line in Figure 4a, Figure 7b and Figure 8b were the striations predicted by Equation (6). The prediction based on the invariant showed good agreement with the interference pattern obtained by the mathematical model of the sound field interference.
The acoustic path in active sonar had two parts: the source to the target path and the target to the receiver path. For bistatic configuration, the source and the receiver were at two separate locations, and there was a big difference between the distance from the source to the target and the distance from the target to the receiver. The variation of the total distance was nonlinear. When the two paths were combined, the motion trajectory appeared curved. The shape of the striation was consistent with the target trajectory, so the striations appeared the bending phenomenon. However, the devices were in the same location in the monostatic configuration, so the variations of the distance from the target to the source and from the target to the receiver were the same. The variation of the total distance was linear, so the striation patterns were straight. Figure 7 and Figure 8 show the experimental striations had a slight bending compared with the simulation results, because during the lake test, the target sphere could not move completely along the specified straight line due to the actual conditions. The sound source, the receiver, and the target were no longer strictly distributed according to the monostatic configuration. The nonlinear variation of the distance made the striations slightly curved.

5.2. The Phenomenon of the Stripe Density and Its Generation Mechanism

Figure 3 and Figure 4 show the simulation striations for the monostatic configuration and the bistatic configuration. The striations became denser from low frequency to high frequency. The striations were sparse at 400−800 Hz and denser at the 4−8 kHz frequency range. When the frequency was in the range of 40−80 kHz, the striations were denser than those at 4−8 kHz. The density of the striations increased with the frequency. Figure 7 and Figure 8 show the simulation striations and the experimental striations for the monostatic configuration. It can also be observed that the striations in the 20−40 kHz were denser than those in the 40−80 kHz frequency range.
In order to explain this, we took the sound propagation process from the target to the receiver. The number of modes N excited by the signal was related to the frequency f, the depth of the environment H, and the underwater sound speed c. The relationship among them can be expressed as:
N = 2 f H c .
The number of the modes is proportional to the frequency of the signal. In the same environment, the number of the modes of the high-frequency part is more than that of the low-frequency part, so the interference pattern of the high-frequency part is more complicated. For the simulation scenarios in Section 3, the maximum numbers of modes excited by the source at 400−800 Hz, 4−8 kHz, and 40−80 kHz frequency bands were about 53, 533, and 5333, respectively. Similar to simulation experiments, the maximum numbers of modes excited by the source at 20−40 kHz and 40−80 kHz frequency bands were about 746 and 1493, respectively, for the monostatic experimental configuration in Section 4. In comparison, the number of modes excited by signals at high-frequency bands was larger than that of signals at low-frequency bands. The mutual interference between the modes was more obvious, and the interference striations were denser.
In both Section 3 and Section 4, the striations were wide in the high part and narrow in the low part at one frequency band. For example, in Figure 4a, the simulation striations interference length in the range of 400−500 Hz was shorter than that in the range of 600−700 Hz. In Figure 7b, the experimental striations interference length in the range of 20−27 kHz was shorter than that in the range of 27−40 kHz. According to Equation (4), the oscillation period of a sound field with a second-order mode is written as:
L = 2 π k m k n .
This oscillation period is the interference length, and the interference length between modes is inversely proportional to the wavenumber difference. According to the definition of the horizontal wavenumbers, the wavenumber difference between two adjacent modes at the high-frequency part is smaller than the low-frequency part. The corresponding striations interference length is also longer.

5.3. The Phenomenon of Striations Discontinuity and Its Generation Mechanism

In the simulation experiment of the bistatic mode shown in Figure 4, there were discontinued in the interference pattern and the amplitude changed more drastically with the increase in frequency. We did not see these changes in the monostatic mode given in Figure 3. The discontinuity of the striations was related to the magnitude of the scattering function shown in Figure 2.
Figure 9 is the interference striation diagram obtained in the monostatic and bistatic configuration simulation experiments and the variation relationship diagram of the scattering function amplitude during the movement of the target. The variation of the sound field intensity showed agreement with the change of the scattering function amplitude. In Figure 9b, the amplitude of the scattering function was almost zero around 4000–5000 Hz, so the striations appeared discontinuous near the corresponding frequency.
This can explain the reason for the difference in the discontinuity of the striations between the monostatic and bistatic configurations. For the monostatic configuration in Figure 9a, the source and the receiver were located on the same platform, the range between them was extremely small, and the scattering angle was basically kept around 180 degrees during the movement of the target, so the amplitude of the scattering function changed almost smoothly with the change of frequency. For the bistatic configuration shown in Figure 9b,c, the source and the receiver were located in two parts. When the target moved, the scattering angle changed, so the amplitude of the scattering function also changed. The sound field interference striations appeared discontinuous. Comparing Figure 9b,c, the degrees of discontinuities striations with different frequencies were also different. For the bistatic configuration, the scattering angle of the object constantly changed during the target movement, the scattering function amplitude changed drastically at high frequencies. In addition, the degree of discontinuity striations became more obvious. Therefore, the striations discontinuity phenomenon under the condition of 40–80 kHz was more obvious than that at 4–8 kHz. The experimental striations shown in Figure 7b and Figure 8b were the results of the monostatic configuration test, but they showed the phenomenon of striations discontinuity. On the one hand, the signal-to-noise ratio of the signal was large at high frequencies, so the structure of the striations was clearer than at the low frequency. On the other hand, during the lake test, the target sphere did not move along the specified straight line due to the actual conditions. The scattering angle changed while the target sphere moved, so the experimental striations showed the phenomenon of striations discontinuity.

5.4. The Relationship between Striations Slope and Its Generation Mechanism

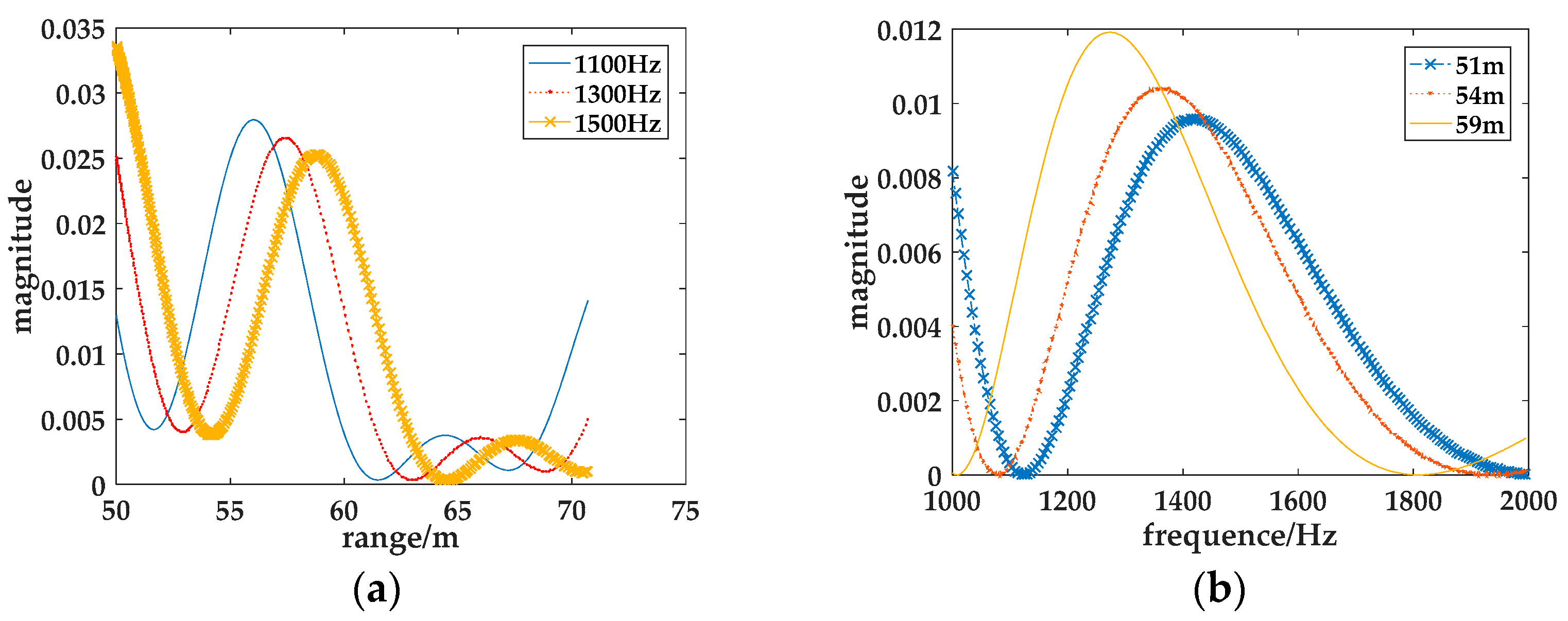
In either the bistatic or monostatic configuration, the distribution of the interference striations was very regular, and there seemed to be a constrained relationship between the slope of the striations and the range and frequency of the source. Assuming the target was far away from the source, Figure 10a shows the relationship between the intensity of the sound field and the range when the frequencies were different. Figure 10b shows the relationship between the intensity of the sound field and the frequency of the source signal when the range changed.
With the increase of the distance, the frequency increased. The value of ϵ in Equation (5) was zero for the simulation results of the monostatic mode. The mathematical relationship for the waveguide invariant under the monostatic configuration is the same as that obtained for the passive sonar. For the monostatic simulation results in Figure 3, we obtained the values of the waveguide invariant under different distances and different frequencies as shown in Table 1.
For the bistatic simulation results in Figure 4, the calculation results of the waveguide invariants are shown in Table 2. In the bistatic configuration, the slope value Δ ω / Δ r is replaced by the slope of the tangent line for curved striations.
Similar to the simulation, the value of the lake test striations waveguide invariant was calculated. Taking Figure 7b as an example, for the striations A (f was 40 kHz, r was 51 m, and Δ ω / Δ r was 817 Hz/m), the calculated value of the waveguide invariant was 1.042. In the same way, the waveguide invariant value of the striations B was calculated to be 1.057. According to the above idea, in Figure 7, the value of the waveguide invariant for the lake test was about 1.046 at 20−40 kHz, and in Figure 8, the value at 40−80 kHz was about 1.104.
Comparing the data in the above table, it can be seen that the value of the waveguide invariant at long distances tended to be 1. When the frequency was the same, the slope Δ ω / Δ r was small when the distance was large. When the distance was the same, the slope Δ ω / Δ r was large when the frequency was large. That mean if any element between the distance and the frequency changed, the other element compensated for it, so that there was a restrictive relationship between the changes.

6. Conclusions

In this paper, based on the target scattering characteristics and the normal mode theory in a shallow water waveguide, a mathematical model of the acoustic intensity under the coupling condition of the target and the environment was deduced. Through simulation and lake tests, the range-frequency interference patterns of the target scattering field in the shallow water waveguide were obtained, and four typical phenomena named the bending, the density, the slope, and the discontinuities were found and explained, as follows:
  • The relationship between the range and the frequency changed linearly, so the shape of the striations followed the shape of the target’s trajectory. The propagation path of the sound wave in the system and the position distributions of the source and receiver made the interference striations of the bistatic configuration more complicated than that of the monostatic configuration;
  • The number of the modes of the high-frequency part was larger than that of the low-frequency part, so the interference striations of the high-frequency part were denser than those of the low-frequency part;
  • There was a constraint relationship between the slope of the interference striations and the range and frequency. If any element between the range and the frequency changed, other elements compensated for it;
  • The interference striations were affected by the amplitude of the scattering function. The higher the frequency, the more severe the changes in the amplitude of the scattering function with the incident and reflected angles. The interference striations in the acoustic intensity appeared discontinuous due to the change in the amplitude of the scattering function.
In conclusion, the interference striations of the target scattering field in the shallow water waveguide were closely related to the configuration of the sonar system, the target scattering function, the frequency range, the target motion trajectory, etc. An in-depth analysis of the mechanisms causing these interference phenomena is of great value to target detection and recognition, signal parameter estimation, and target tracking.

Author Contributions

Conceptualization, T.S. and J.F.; methodology, H.Z. and P.Z.; validation, T.S. and H.Z.; formal analysis, Y.G.; writing—original draft preparation, T.S. and H.Z.; writing—review and editing, H.Z.; funding acquisition, T.S., P.Z. and Y.G. All authors have read and agreed to the published version of the manuscript.

Funding

This work was supported by the Natural Science Foundation of China (No. 11974084), Zhejiang Provincial Natural Science Foundation of China (No. LZ20F010002), and the funding from the Extension Fund from Underwater Test and Control Technology Key Laboratory (No. YS24071802).

Institutional Review Board Statement

Not applicable.

Informed Consent Statement

Not applicable.

Data Availability Statement

Not applicable.

Acknowledgments

This article uses experimental data collected by Shanghai Jiaotong University, and we gratefully acknowledge the teachers and the students.

Conflicts of Interest

The authors declare no conflict of interest.

References

  1. Weston, D.E. Rays, modes, interference and the effect of shear flow in underwater acoustics. J. Sound Vib. 1969, 9, 80–89. [Google Scholar] [CrossRef]
  2. Guthrie, A.N. Long-range low-frequency CW propagation in the deep ocean: Antigua-Newfoundland. J. Acoust. Soc. Am. 1974, 56, 58–69. [Google Scholar] [CrossRef]
  3. Bachman, R.T. Broadband interference patterns in shallow water. J. Acoust. Soc. Am. 1983, 74, S2–S3. [Google Scholar] [CrossRef]
  4. Vianna, M.L.; Soares-Filho, W. Broadband noise propagation in a Pekeris waveguide. J. Acoust. Soc. Am. 1986, 79, 76–83. [Google Scholar] [CrossRef]
  5. Tang, S. Research on deep-ocean waveguide invariant characters. Tech. Acoust. 2013, 32, 262–264. [Google Scholar]
  6. Weng, J.B.; Li, F.H.; Guo, Y.G. The sound filed frequency-range interference patterns in deep water theory and experiment. Acta Acust. 2016, 41, 13. [Google Scholar]
  7. Chuprov, S.D.; Mal’tsev, N.E. An invariant of the spatial-frequency interference pattern of the acoustic field in a layered ocean. Doklady Akademii Nauk SSSR (Proc. Russian Acad. Sci.) 1981, 257, 475–479. [Google Scholar]
  8. Emmetiere, R.; Bonnel, J.; Pernot, M.G. Passive source depth discrimination in deep-water. J. Acoust. Soc. Am. 2018, 144, 1769. [Google Scholar] [CrossRef]
  9. Yang, K.D.; Xu, L.Y.; Yang, Q.L.; Duan, R. Striation-based source depth estimation with a vertical line array in the deep ocean. J. Acoust. Soc. Am. 2018, 143, EL8–EL12. [Google Scholar] [CrossRef] [PubMed]
  10. Song, X.J. Underwater Acoustic Target Passive Localization Technology Based on Sound Field Interference Structure. Ph.D. thesis, Harbin Engineering University, Harbin, China, 2017. [Google Scholar]
  11. Meng, R.J.; Zhou, S.H.; Li, F.H.; Qi, J.B. Discrimination of normal modes of low-frequency sound field interference in shallow sea waveguides. Acta Phys. Sin. 2019, 68, 200–210. [Google Scholar] [CrossRef]
  12. Xu, G.J.; Da, L.L.; Zhao, J.X.; Zhang, L. The target motion parameters estimation based on the acoustic interference structure similarity match. ACTA Acust. 2020, 45, 527–534. [Google Scholar]
  13. Quijano, J.E.; Zurk, L.M.; Rouseff, D. Demonstration of the invariance principle for active sonar. J. Acoust. Soc. Am. 2008, 123, 1329–1337. [Google Scholar] [CrossRef] [PubMed]
  14. Zurk, L.M.; Ou, H.H.; Campbell, R.L. Effect of the target scattering function on active waveguide invariance striations. In Proceedings of the OCEANS 2010 MTS/IEEE SEATTLE, Seattle, WA, USA, 20–23 September 2010; IEEE: Piscataway, NJ, USA, 2010; pp. 1–5. [Google Scholar]
  15. Quijano, J.E.; Campbell, R.L.; Oesterlein, T.G.; Zurk, L.M. Experimental observations of active invariance striations in a tank environment. J. Acoust. Soc. Am. 2010, 128, 611–618. [Google Scholar] [CrossRef] [PubMed]
  16. Tang, H.; Wang, F.Y. Shallow sea active sonar reverberation interference structure characteristics and enhancement method. Acoust. Electron. Eng. 2020, 2, 1–5. [Google Scholar]
  17. Goldhahn, R.; Hickman, G.; Krolik, J.L. Waveguide Invariant Reverberation Mitigation for Active Sonar. In Proceedings of the 2007 IEEE International Conference on Acoustics, Speech and Signal Processing—ICASSP ‘07, Honolulu, HI, USA, 15–20 April 2007; IEEE: Piscataway, NJ, USA, 2007; pp. II941–II944. [Google Scholar]
  18. Goldhahn, R.; Hickman, G.; Krolik, J. Waveguide invariant broadband target detection and reverberation estimation. J. Acoust. Soc. Am. 2008, 124, 2841–2851. [Google Scholar] [CrossRef] [PubMed]
  19. Ren, Q.Y.; Pu, S.C.; Guo, S.M.; Ma, L.; Liao, T.J. Continuous Estimation of Moving Vessel Distance Using Broadband Sound Field Interfering Structural Properties. Acta Acoust. 2018, 43, 163–168. [Google Scholar]
  20. Quijano, J.E.; Zurk, L.M. Use of the invariance principle for target tracking in active sonar geometries. In Proceedings of the OCEANS 2006, Boston, MA, USA, 18–21 September 2006; IEEE: Piscataway, NJ, USA, 2007; pp. 1–5. [Google Scholar]
  21. Ingenito, F. Scattering from an object in a stratified medium. J. Acoust. Soc. Am. 1987, 82, 2051–2059. [Google Scholar] [CrossRef]
Figure 1. Front view of the relative positional relationship: (a) monostatic configuration; (b) bistatic configuration.
Figure 1. Front view of the relative positional relationship: (a) monostatic configuration; (b) bistatic configuration.
Applsci 12 09828 g001
Figure 2. The amplitude intensities of the scattering function: (a) 400−800 Hz; (b) 4−8 kHz; (c) 40−80 kHz.
Figure 2. The amplitude intensities of the scattering function: (a) 400−800 Hz; (b) 4−8 kHz; (c) 40−80 kHz.
Applsci 12 09828 g002
Figure 3. The simulation results in the monostatic configuration: (a) the interference pattern for 400−800 Hz; (b) the interference pattern for 4−8 kHz; (c) the interference pattern for 40−80 kHz; (d) the motion trajectory.
Figure 3. The simulation results in the monostatic configuration: (a) the interference pattern for 400−800 Hz; (b) the interference pattern for 4−8 kHz; (c) the interference pattern for 40−80 kHz; (d) the motion trajectory.
Applsci 12 09828 g003
Figure 4. The simulation results in the bistatic configuration: (a) the interference pattern for 400−800 Hz; (b) the interference pattern for 4−8 kHz; (c) the interference pattern for 40−80 kHz; (d) the motion trajectory.
Figure 4. The simulation results in the bistatic configuration: (a) the interference pattern for 400−800 Hz; (b) the interference pattern for 4−8 kHz; (c) the interference pattern for 40−80 kHz; (d) the motion trajectory.
Applsci 12 09828 g004
Figure 5. Test device and test scene: (a) the source; (b) the receiver; (c) the target sphere; (d) the test scene.
Figure 5. Test device and test scene: (a) the source; (b) the receiver; (c) the target sphere; (d) the test scene.
Applsci 12 09828 g005
Figure 6. Schematic diagram of the experiment.
Figure 6. Schematic diagram of the experiment.
Applsci 12 09828 g006
Figure 7. Comparison between the experiment result and the simulation result at 20−40 kHz: (a) simulation result; (b) experiment result; (c) the motion trajectory.
Figure 7. Comparison between the experiment result and the simulation result at 20−40 kHz: (a) simulation result; (b) experiment result; (c) the motion trajectory.
Applsci 12 09828 g007
Figure 8. Comparison between the experiment result and the simulation result at 40−80 kHz: (a) simulation result; (b) experiment result; (c) the motion trajectory.
Figure 8. Comparison between the experiment result and the simulation result at 40−80 kHz: (a) simulation result; (b) experiment result; (c) the motion trajectory.
Applsci 12 09828 g008
Figure 9. Comparison of interference striations and scattering function amplitudes: (a) the result of the monostatic configuration for 4−8 kHz; (b) the result of the bistatic configuration for 4−8 kHz; (c) the result of the bistatic configuration for 40−80 kHz.
Figure 9. Comparison of interference striations and scattering function amplitudes: (a) the result of the monostatic configuration for 4−8 kHz; (b) the result of the bistatic configuration for 4−8 kHz; (c) the result of the bistatic configuration for 40−80 kHz.
Applsci 12 09828 g009
Figure 10. The sound field intensity variation: (a) the variations at different distances; (b) the variations at different frequencies.
Figure 10. The sound field intensity variation: (a) the variations at different distances; (b) the variations at different frequencies.
Applsci 12 09828 g010
Table 1. The slopes and waveguide invariants for the monostatic configuration.
Table 1. The slopes and waveguide invariants for the monostatic configuration.
Distance (m)Frequency ω (Hz) Slope Δ ω / Δ r β
2080036.3630.909
2880026.6670.933
4866012.3810.990
268000285.7140.929
438000181.8180.977
485300113.0431.022
1780,0004444.4440.944
2980,0002666.6660.967
4861,0001312.5001.033
Table 2. The slopes and invariants for the bistatic configuration.
Table 2. The slopes and invariants for the bistatic configuration.
Distance (m)Frequency ω (Hz) Slope Δ ω / Δ r γ
5365014.0001.142
5563010.7140.935
575009.2961.059
527400153.1751.076
534900100.0001.082
556900142.8571.139
5275,0001642.8571.139
5558,0001285.7141.029
5670,0001142.8601.084
Publisher’s Note: MDPI stays neutral with regard to jurisdictional claims in published maps and institutional affiliations.

Share and Cite

MDPI and ACS Style

Sun, T.; Zhang, H.; Fan, J.; Zhang, P.; Guo, Y. Research on the Range-Frequency Interference Characteristics of Target Scattering Field in a Shallow Water Waveguide. Appl. Sci. 2022, 12, 9828. https://doi.org/10.3390/app12199828

AMA Style

Sun T, Zhang H, Fan J, Zhang P, Guo Y. Research on the Range-Frequency Interference Characteristics of Target Scattering Field in a Shallow Water Waveguide. Applied Sciences. 2022; 12(19):9828. https://doi.org/10.3390/app12199828

Chicago/Turabian Style

Sun, Tongjing, Hao Zhang, Jun Fan, Peizhen Zhang, and Yunfei Guo. 2022. "Research on the Range-Frequency Interference Characteristics of Target Scattering Field in a Shallow Water Waveguide" Applied Sciences 12, no. 19: 9828. https://doi.org/10.3390/app12199828

APA Style

Sun, T., Zhang, H., Fan, J., Zhang, P., & Guo, Y. (2022). Research on the Range-Frequency Interference Characteristics of Target Scattering Field in a Shallow Water Waveguide. Applied Sciences, 12(19), 9828. https://doi.org/10.3390/app12199828

Note that from the first issue of 2016, this journal uses article numbers instead of page numbers. See further details here.

Article Metrics

Back to TopTop