Calculation of Nonlimit Active Earth Pressure against Rigid Retaining Wall Rotating about Base
Abstract
:Featured Application
Abstract
1. Introduction
2. Basic Assumptions
- (1)
- The soil slip surface is considered a plane slip surface going through the heel of the wall. If the sliding surface is not a plane passing through the wall heel, the backfill cannot be regarded as a triangular wedge when calculating the earth pressure.
- (2)
- The soil behind the wall is noncohesive with a soil friction angle of φ.
- (3)
- The back of the retaining wall is rough, and the interface friction angle between the wall and the soil is δ. Notably, without special explanation, δ = 2/3 φ. If the wall back is assumed to be smooth, then the distribution of earth pressure is linear, which is inconsistent with the measured value [19].
- (4)
- When the soil behind the wall is in a nonlimit state, developed values are employed by the soil’s and the interface friction angle. Otherwise, when the fill is in the active limit state, the soil’s and interface friction angle take fully developed values.
- (5)
- There is no surcharge effect, and the fill surface is level (q = 0). The obvious law can be obtained that the increase in overload causes the increasing earth pressure. Therefore, the surcharge effect is not considered in the simplification of the model.
- (6)
- The rigid retaining wall rotates outward about the base, leaving no room between the soil mass and the wall.
- (7)
- Backfill is regarded as an isotropic material, because Fathipour’s research [18] indicates that soil inherent anisotropy has less effect on active earth stress.

3. Determination of Friction Angle in A Nonlimiting State
3.1. Qualitative Analysis of Influencing Factors of Nonlimiting State Friction Angle
3.2. Calculation of Nonlimit State FRICTION Angle
3.2.1. Establishing the Friction Angle as A Function of Horizontal Displacement
3.2.2. Value of the Initial Friction Angle
4. Derivation of the Analytical Solution for Active Earth Pressure
4.1. Method of Determining Potential Slip Planes
4.2. Definition of Small Principal Stress Traces Parameters
4.2.1. Definition of Deflection Angle of Principal Stress
4.2.2. Definition of Arc Trace Radius
4.3. Analysis of Unit Forces at Wall–Soil Contact Surfaces and Potential Slip Crack Surfaces
4.4. Analysis of the Upper and Lower Interfaces of Thin-Layer Units
4.5. Thin-Layer Cell Gravity Analysis
4.6. Equilibrium Control Equation for Thin Layer Cells
5. Verification by Comparison
6. Parameter Sensitivity Analysis
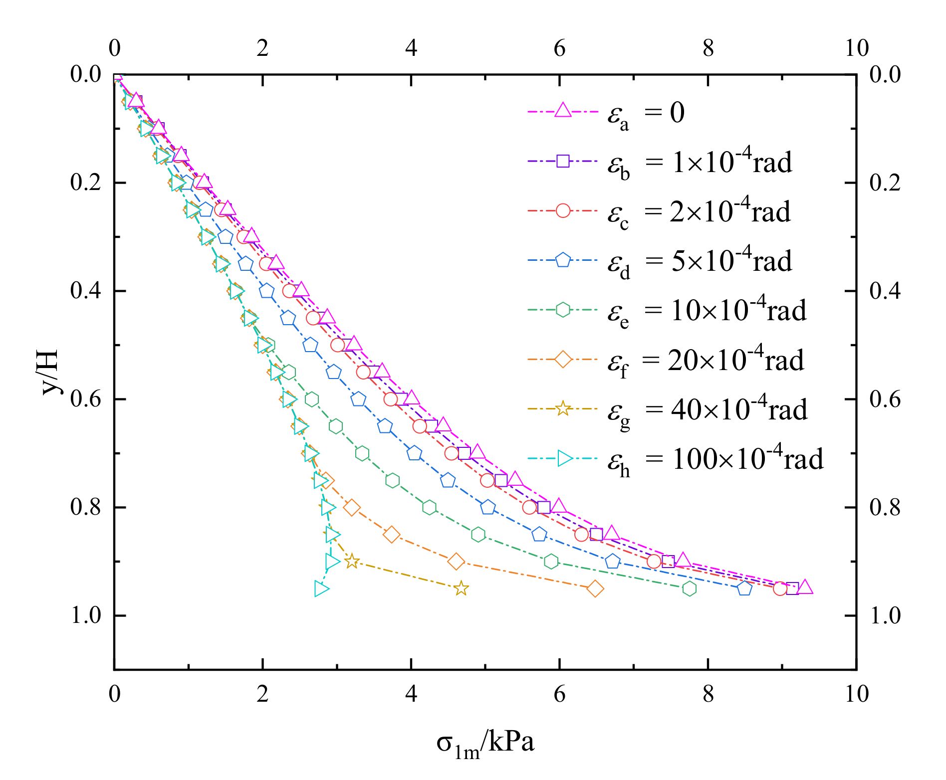
6.1. Analysis of the Effect of the Rotation Angle ε of the Retaining Wall on the Earth Pressure Distribution
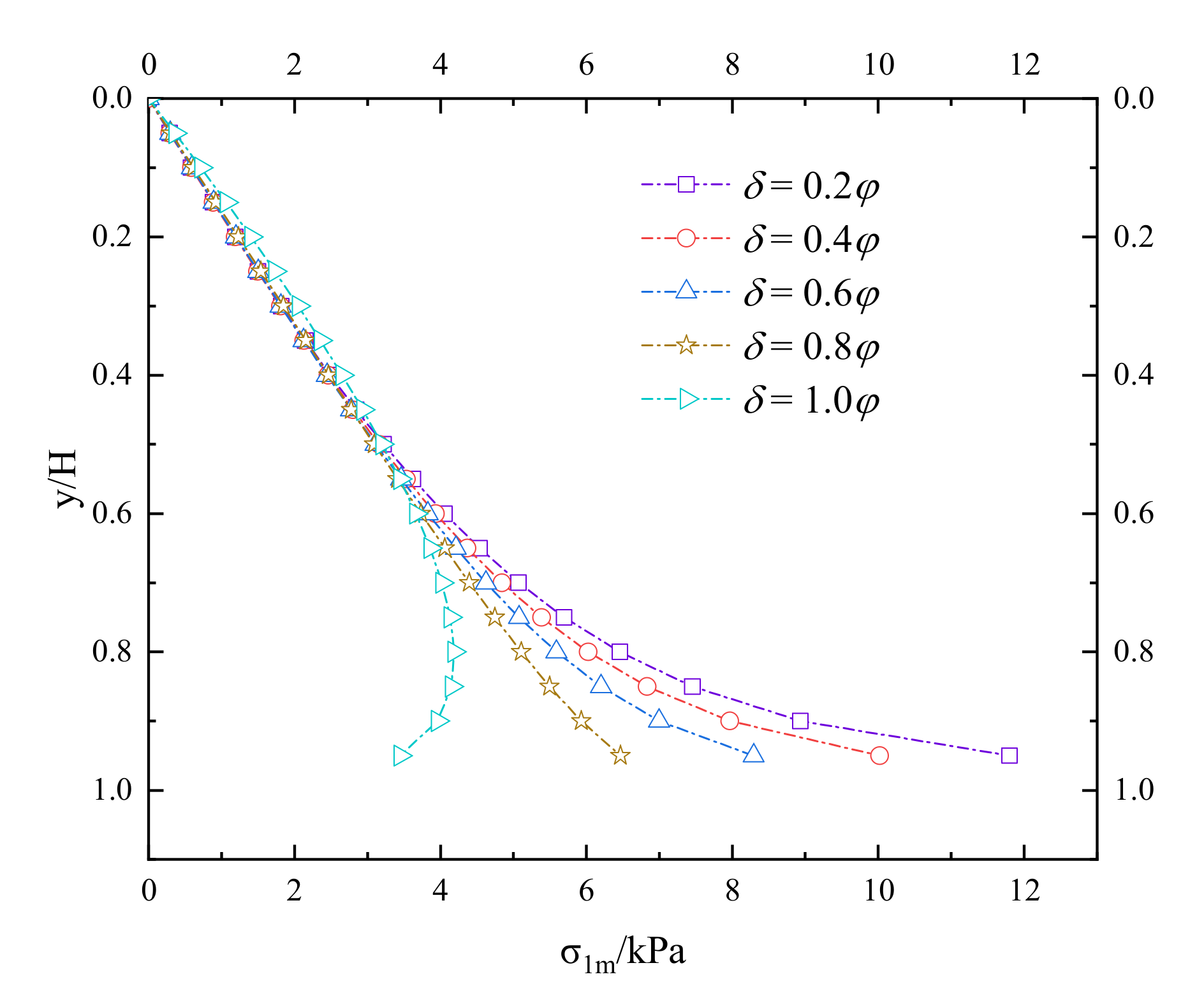
6.2. Analysis of the Effect of Interface Friction Angle δ on the Earth Pressure Distribution
6.3. Effect of Rotation Angle on Resultant Forces
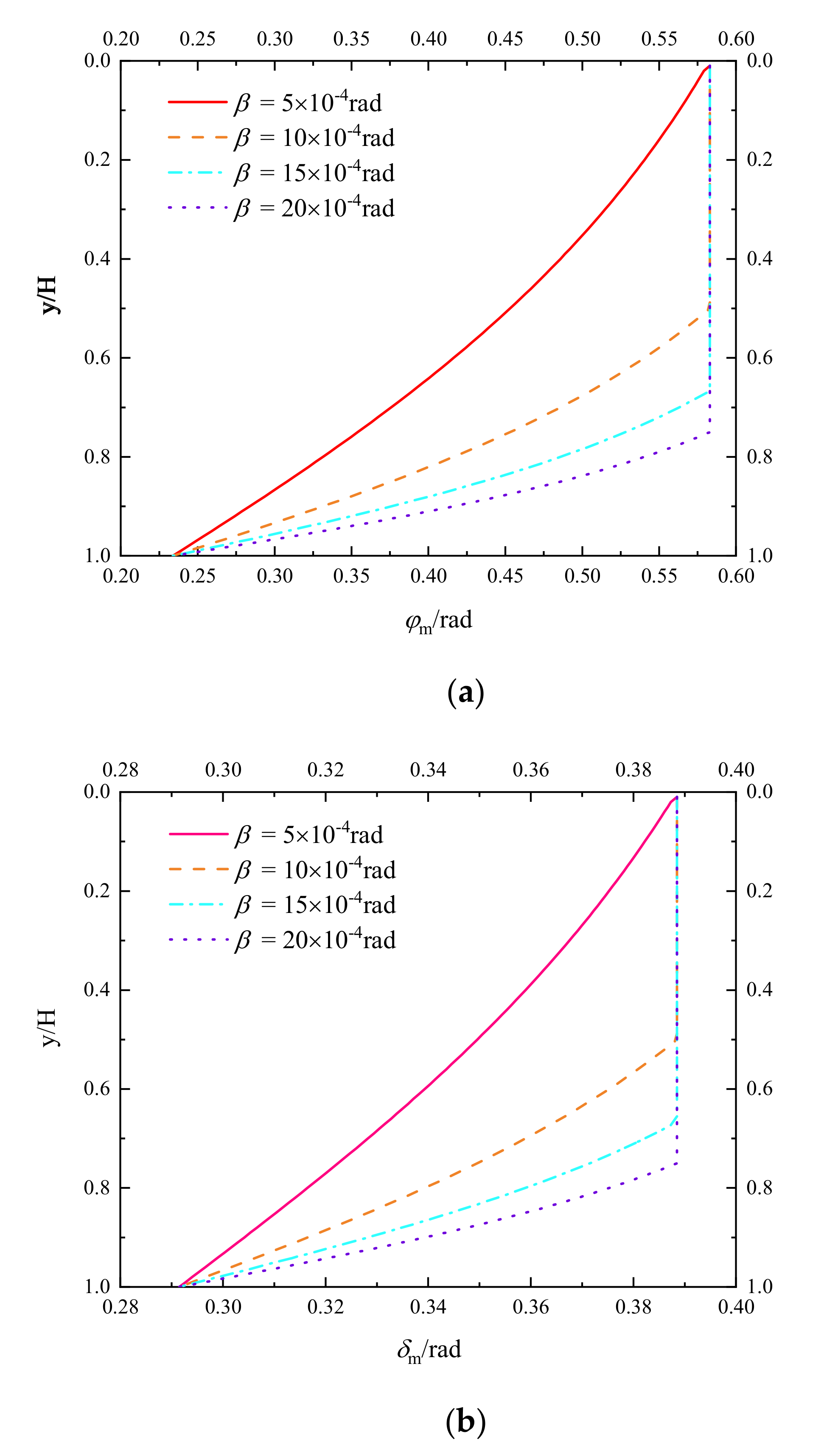
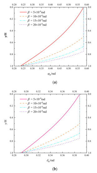
6.4. Friction Angle Effctive Values at Different Angles of Rotation
7. Conclusions
- (1)
- The primary stress traces in RB of retaining walls were utilized for calculating earth pressure in this study. The effect of the soil arch effect on the deflection of the principal stresses was considered, and a curved thin-layer cell method was employed to characterize the inhomogeneity of the stress distribution at the interface above and below the cell. A rigorous theoretical derivation was also performed.
- (2)
- The notion of friction angle developed value was leveraged in this study to develop a nonlinear relationship between the mobilized value of the friction angle and horizontal displacement of the soil to characterize the stress state of the soil behind the wall under nonlimiting situations. Parametric analysis indicated that the closer the soil was to the top of the wall, the higher the friction angle developed value, provided that the wall rotation was a constant.
- (3)
- The analytical solution of the soil pressure strength derived in this paper was compared with the model test data for validation, and the agreement was good. This verified the rationality of the proposed theory. The active earth pressure strength increased monotonically with depth within the wall height in RB. The earth pressure intensity exhibited a linear variation in the upper half of the soil but a stronger nonlinear distribution in the lower half.
- (4)
- The earth pressure intensity distribution decreased as the angle of rotation increased, as revealed in parameter sensitivity experiments. Upon reaching a certain angle of rotation, an inflection point in the earth pressure intensity distribution curve was observed due to the upper soil reaching ultimate equilibrium while the lower soil remained in a nonlimiting state. If the rotation angle was fixed, the horizontal earth pressure strength increased and then decreased as the interface friction angle increased.
- (5)
- Engineers can use the monitoring data of the retaining wall to judge the displacement mode of the retaining wall and select a reasonable calculation method.
- (6)
- This paper on can provide a reference for soil pressure calculation for rotating walls, but the study had some limitations. First of all, it was assumed that the fill behind the wall was of the same nature, without consideration of layering according to soil properties. Secondly, the study was only for the condition of sandy soil. Further research is needed on the earth pressure of rotating walls with cohesive fill soils. Last but not least, reinforced walls and geosynthetics are always used in practical projects. We will study this field in depth in the follow-up work.
Author Contributions
Funding
Institutional Review Board Statement
Informed Consent Statement
Data Availability Statement
Conflicts of Interest
References
- Coulomb, C.A. Essai sur une Application des Règles de Maximis et Minimis Aquelques Problèmes de Statique, Relatifs a l’Architecture; Imprimerie Royale: Paris, France, 1776. (In French) [Google Scholar]
- Rankine, W. On the stability of loose earth. Philos. Trans. R. Soc. Lond. 1857, 147, 9–27. [Google Scholar]
- Terzaghi, K. Theoretical Soil Mechanics; Wiley: New York, NY, USA, 1943; pp. 40–43. [Google Scholar]
- Kingsley, H.W. Geostatic wall pressures. Geotech. Eng. 1989, 115, 1321–1325. [Google Scholar]
- Tsagareli, Z. Experimental investigation of the pressure of a loose medium on re-taining walls with a vertical back face and horizontal backfill surface. Soil Mech. Found. Eng. 1965, 2, 197–200. [Google Scholar] [CrossRef]
- James, R.; Bransby, P. Experimental and theoretical investigations of a passivepressure problem. Geotechnique 1970, 20, 17–37. [Google Scholar] [CrossRef]
- Matsuo, M.; Kenmochi, S.; Yagi, H. Experimental study of retaining wall by field tests. Soils Found. 1978, 18, 27–41. [Google Scholar] [CrossRef]
- Tang, Z. A rigid retaining wall centrifuge model test of cohesive soil. ChongqingJiaotong Univ. 1988, 25, 48–56. [Google Scholar]
- Yang, M.; Dai, X.; Zhao, M.; Luo, H. Experimental study on active earth pressure of cohesionless soil with limited width behind retaining wall. Chin. J. Geotech. Eng. 2016, 38, 131–137. (In Chinese) [Google Scholar]
- Dou, G.; Xia, J.; Yu, W.; Yuan, F.; Bai, W. Non-limit passive soil pressure on rigid retaining walls. Int. J. Min. Sci. Technol. 2017, 27, 581–587. [Google Scholar] [CrossRef]
- Yang, T.; He, H.J. Calculation of unlimited passive earth pressure in the model of RBT movement. Adv. Mater. Res. 2011, 250–253, 1572–1577. [Google Scholar] [CrossRef]
- Wang, S.; Cheng, Y. Determination of active earth pressure behind retaining wall rotating about wall toe. Rock Soil Mech. 2011, 32, 2139–2145. (In Chinese) [Google Scholar]
- Li, D.; Wang, W.; Zhang, Q. Lateral Earth Pressure behind Walls Rotating about Base considering Arching Effects. Math. Probl. Eng. 2014, 2014, 715891. [Google Scholar] [CrossRef]
- Cao, W.; Zhang, H.; Liu, T.; Tan, X. Analytical solution for the active earth pressure of cohesionless soil behind an inclined retaining wall based on the curved thin-layer element method. Comput. Geotech. 2020, 128, 103851. [Google Scholar] [CrossRef]
- Smita, P.; Kousik, D. Study of Active Earth Pressure behind a Vertical Retaining Wall Subjected to Rotation about the Base. Int. J. Geomech. 2020, 20, 04020028. [Google Scholar]
- Conte, E.; Troncone, A.; Vena, M. A method for the design of embedded cantilever retaining walls under static and seismic loading. Geotechnique 2017, 67, 1081–1089. [Google Scholar] [CrossRef]
- Jayatheja, M.; Anasua, G.R. Earth Pressures on Retaining Walls backfilled with Red Soil admixed with Building Derived Materials under Rotational Failure mode. Geomech. Geoengin. 2021, 1912409. [Google Scholar] [CrossRef]
- Fathipour, H.; Payan, M.; Chenari, R.J. Limit analysis of lateral earth pressure on geosynthetic- reinforced retaining structures using finite element and second-order cone programming. Comput. Geotech. 2021, 134, 104119. [Google Scholar] [CrossRef]
- Fang, Y.; Isao, I. Static earth pressures with various wall movements. Geotech. Eng. 1986, 112, 317–333. [Google Scholar] [CrossRef]
- Wang, S.C.; Sun, B.J.; Shao, Y. Modified Computational Method for Active earth pressure. Rock Soil Mech. 2015, 36, 1375–1379. (In Chinese) [Google Scholar]
- Xie, T.; Luo, Q.; Zhang, L. Relationship between earth pressure and wall displacement based on Coulomb Earth pressure model. Chin. J. Geotech. Eng. 2018, 40, 194–200. (In Chinese) [Google Scholar]
- Chen, L. Active earth pressure of retaining wall considering wall movement. Eur. J. Environ. Civ. Eng. 2014, 18, 910–926. [Google Scholar] [CrossRef]
- Xu, R.Q.; Liao, B.; Wu, J. Computational Method for active earth pressure of cohensive soil under non-limit state. Rock Soil Mech. 2013, 34, 148–154. [Google Scholar]
- Keshvarz, A.; Ebrahimi, M. The effects of the soil-wall adhesion and friction angle on the active lateral earth pressure of circular Retaining walls. Int. J. Civ. Eng. 2016, 14, 97–105. [Google Scholar] [CrossRef]
- Chang, M. Lateral earth pressures behind rotating walls. Can. Geotech. J. 1997, 34, 498–509. [Google Scholar] [CrossRef]
- Gong, C.; Yu, J.; Xu, R.; Wei, G. Calculation of earth pressure against rigid retaining wall rotating outward about base. J. Zhejiang Univ. Eng. Sci. 2005, 39, 1690–1694. (In Chinese) [Google Scholar]
- Sangchul, B. Active earth pressure behind retaining walls. Geotech. Eng. 1985, 111, 407–412. [Google Scholar]
- Niedostatkiewicz, M.; Lesniewska, D.; Jacek, T. Experimental Analysis of Shear Zone Patterns in Cohesionless for Earth Pressure Problems Using Particle Image Velocimetry. Strain 2011, 47, 218–231. [Google Scholar] [CrossRef]
- Bourgeois, E.; Soyez, L.; Kouby, A.L. Experimental and numerical study of the behavior of a reinforced-earth wall subjected to a local load. Comput. Geotech. 2011, 38, 515–525. [Google Scholar]
- Hu, J.Q.; Zhang, Y.X.; Chen, L. Study on active earth pressure on retaining wall in non-limit state. Chin. J. Geotech. Eng. 2013, 35, 381–387. (In Chinese) [Google Scholar]
- Sherif, M.; Fang, Y.; Sherif, R.I. Ka and Ko behind rotating and non-yielding walls. Geotech. Eng. 1984, 110, 41–56. [Google Scholar] [CrossRef]
- Xu, R.Q. Methods of earth pressure calculation for excavation. J. Zhejiang Univ. Eng. Sci. 2000, 34, 370–375. (In Chinese) [Google Scholar]
- Matsuzawa, H.; Hararika, H. Analyses of active earth pressure against rigid retaining walls subjected to different modes of movement. Soils Found. 1996, 36, 51–65. [Google Scholar] [CrossRef]
- Naikai, T. Finite element computations for active and passive earth pressure probems of retaining wall. Soils Found. 1985, 25, 98–112. [Google Scholar] [CrossRef]
- Li, G.; Zhang, B.; Yu, Y.Z. Soil Mechanics, 2nd ed.; Tsinghua University Press: Beijing, China, 2013; p. 223. ISBN 978-7-302-33176-6. (In Chinese) [Google Scholar]
- Sanjay, K.S. Dynamic active thrust from c–φ soil backfills. Soil Dyn. Earthq. Eng. 2011, 31, 526–529. [Google Scholar]
- Zhou, Y.T. Active earth pressure against rigid retaining wall considering effects of wall–soil friction and inclinations. KSCEJ. Civ. Eng. 2018, 22, 4901–4908. [Google Scholar] [CrossRef]
- Liu, H.; Kong, D.Z. Active Earth Pressure of Finite Width Soil Considering Intermediate Principal Stress and Soil Arching Effects. Int. J. Geomech. 2022, 22, 04021294. [Google Scholar] [CrossRef]







| Soil Types and Properties of Materials | K0 | |
|---|---|---|
| Gravelly soil | 0.17 | |
| Sand soil | e = 0.5 | 0.23 |
| e = 0.6 | 0.34 | |
| e = 0.7 | 0.52 | |
| e = 0.8 | 0.6 | |
| Silty soil and powdered clay | w = 15–20% | 0.43–0.54 |
| w = 25–30% | 0.60–0.75 | |
| Clay | Hard clay | 0.11–0.25 |
| Compact clay | 0.33–0.45 | |
| Plastic clay | 0.61–0.82 | |
| Peat soil | High organic matter content | 0.24–0.37 |
| Low organic matter content | 0.40–0.65 | |
| Sandy silty soil | 0.33 | |
Publisher’s Note: MDPI stays neutral with regard to jurisdictional claims in published maps and institutional affiliations. |
© 2022 by the authors. Licensee MDPI, Basel, Switzerland. This article is an open access article distributed under the terms and conditions of the Creative Commons Attribution (CC BY) license (https://creativecommons.org/licenses/by/4.0/).
Share and Cite
Wang, Z.; Liu, X.; Wang, W. Calculation of Nonlimit Active Earth Pressure against Rigid Retaining Wall Rotating about Base. Appl. Sci. 2022, 12, 9638. https://doi.org/10.3390/app12199638
Wang Z, Liu X, Wang W. Calculation of Nonlimit Active Earth Pressure against Rigid Retaining Wall Rotating about Base. Applied Sciences. 2022; 12(19):9638. https://doi.org/10.3390/app12199638
Chicago/Turabian StyleWang, Zeyue, Xinxi Liu, and Weiwei Wang. 2022. "Calculation of Nonlimit Active Earth Pressure against Rigid Retaining Wall Rotating about Base" Applied Sciences 12, no. 19: 9638. https://doi.org/10.3390/app12199638
APA StyleWang, Z., Liu, X., & Wang, W. (2022). Calculation of Nonlimit Active Earth Pressure against Rigid Retaining Wall Rotating about Base. Applied Sciences, 12(19), 9638. https://doi.org/10.3390/app12199638

