Numerical Simulation of Adaptive Radial Basis NN-Based Non-Singular Fast Terminal Sliding Mode Control with Time Delay Estimator for Precise Control of Dual-Axis Manipulator
Abstract
:Featured Application
Abstract
1. Introduction
2. Enhanced Dynamic Model
3. Controller Design
3.1. Preliminaries
- The input layer consists of an input vector , , where indicates the number of neural networks and indicates the number of inputs for each neural network.
- Note that there is no weight connection between the hidden and input layers, and the hidden layer is composed of neurons. The activation function in a neuron comprises the radial basis function, which is generally a Gaussian function (Figure 5b) and can be expressed as follows:where 𝑗 indicates the number of neurons in the hidden layer of each neural network, while and refer to the mean vector and the width of the Gaussian function of the node in the hidden layer in the neural network.
- The output layer describes the control signal of RBNN as follows:where refers to the weight between the hidden layer and the output layer and is the output of the hidden layer, as follows:
3.2. Proposed Controller Design
3.2.1. Adaptive Radial Basis NN (ARBNN)
3.2.2. Time Delay Estimator (TDE)
3.3. Stability Analysis
4. Simulations
4.1. Simulation Settings
4.2. Simulation Results
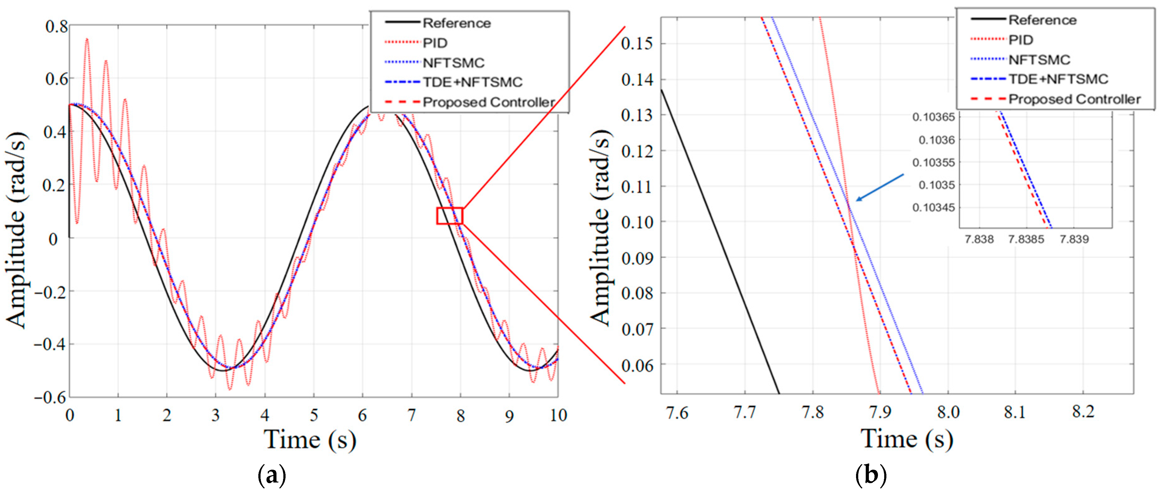
4.2.1. Tracking Periodic Trajectories
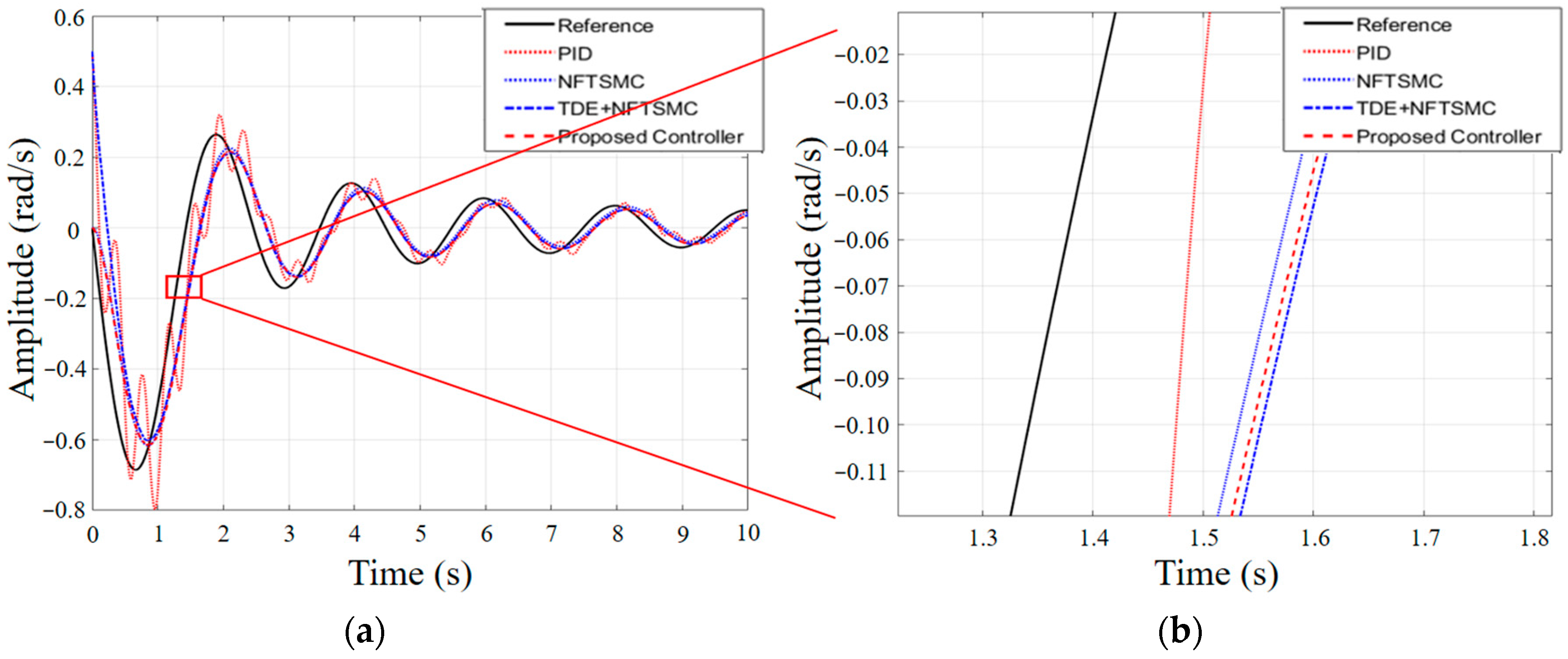
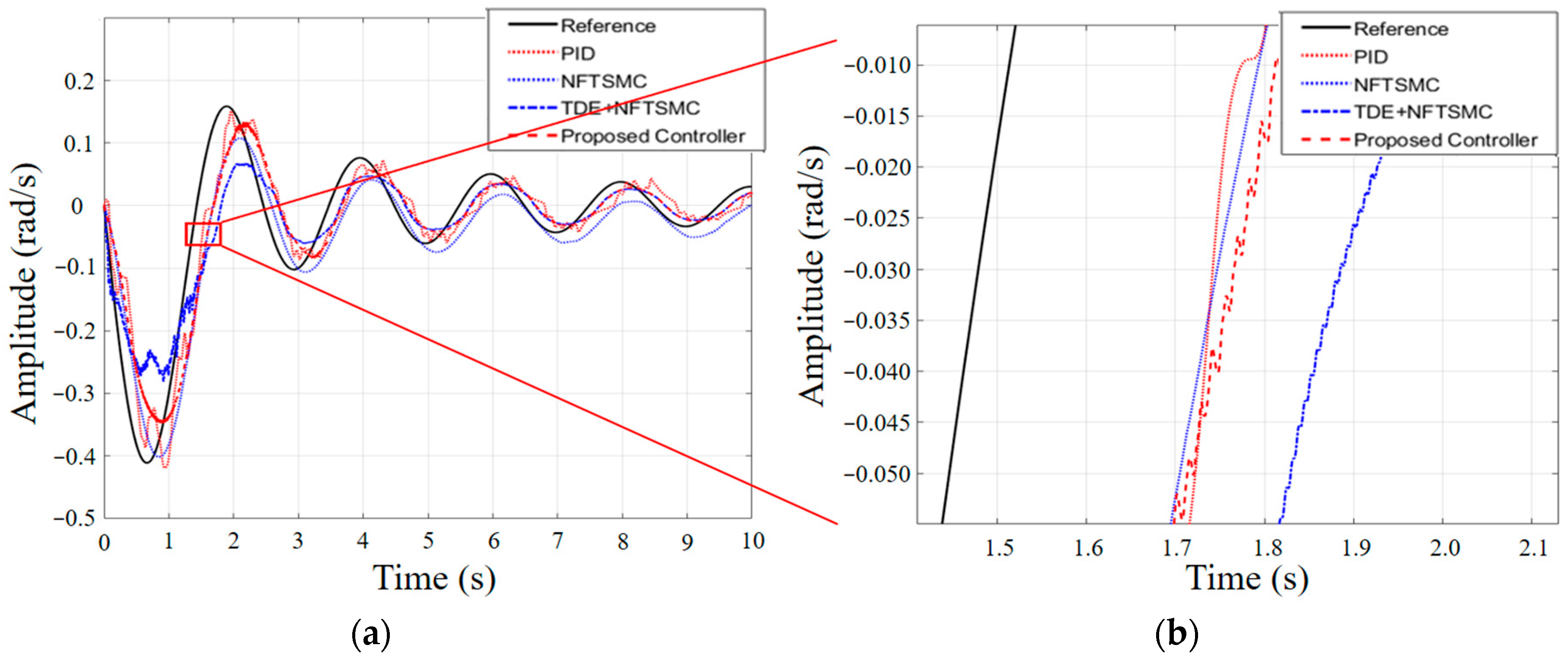
4.2.2. Tracking Aperiodic Trajectories
5. Conclusions
Author Contributions
Funding
Institutional Review Board Statement
Informed Consent Statement
Conflicts of Interest
References
- Ming, J.S.; Huan, H.X. Review of development and application of industrial robot technology. J. Mech. Electr. Eng. 2015, 32, 1–13. [Google Scholar]
- Zhou, L.M.; Jian, F.; Hai, Z.J. The development and the application of the industrial robot technology. Mach. Build. Autom. 2014, 44, 1–4. [Google Scholar]
- Su, Y.X.; Müller, P.C.; Zheng, C. Global Asymptotic Saturated PID Control for Robot Manipulators. IEEE Trans. Control Syst. Technol. 2010, 18, 1280–1288. [Google Scholar] [CrossRef]
- Martínez, J.I.M. Robust grbf static neuro controller with switch logic for control of robot manipulators. IEEE Trans. Neural Netw. Learn. Syst. 2012, 23, 1053–1064. [Google Scholar] [CrossRef]
- Wai, R.-J.; Muthusamy, R. Fuzzy-Neural-Network Inherited Sliding-Mode Control for Robot Manipulator Including Actuator Dynamics. IEEE Trans. Neural Netw. Learn. Syst. 2013, 24, 274–287. [Google Scholar] [PubMed]
- Zhu, Y.K.; Qiao, J.; Zhang, Y.; Guo, L. High-precision trajectory tracking control for space manipulator with neutral uncertainty and dead zone nonlinearity. IEEE Trans. Control. Syst. Technol. 2019, 27, 2254–2262. [Google Scholar] [CrossRef]
- He, W.; Chen, Y.H.; Yin, Z. Adaptive Neural Network Control of an Uncertain Robot With Full-State Constraints. IEEE Trans. Cybern. 2016, 46, 620–629. [Google Scholar] [CrossRef]
- Van, M.; Mavrovouniotis, M.; Ge, S.S. An Adaptive Backstepping Nonsingular Fast Terminal Sliding Mode Control for Robust Fault-Tolerant Control of Robot Manipulators. IEEE Trans. Syst. Man Cybern. Syst. 2019, 49, 1448–1458. [Google Scholar] [CrossRef]
- Liu, Q.; Li, D.Y.; Ge, S.S.; Ji, R.H.; Ouyang, Z.; Tee, K.P. Adaptive bias RBF neural network control for a robotic manipulator. Neurocomputing 2021, 447, 213–223. [Google Scholar] [CrossRef]
- Jonker, J.B.; Waiboer, R.R.; Aarts, R. Modelling of Joint Friction in Robotic Manipulators with Gear Transmissions. Multibody Dyn. Comput. Methods Appl. 2007, 4, 221–243. [Google Scholar]
- Nordin, M.; Gutmanb, P.O. Controlling mechanical systems with backlash—A survey. Automatica 2002, 38, 1633–1649. [Google Scholar] [CrossRef]
- Vörös, J. Modeling and identification of systems with backlash. Automatica 2010, 46, 369–374. [Google Scholar] [CrossRef]
- Lai, G.Y.; Liu, Z.; Zhang, Y.; Chen, C.L.P. Adaptive Fuzzy Tracking Control of Nonlinear Systems With Asymmetric Actuator Backlash Based on a New Smooth Inverse. IEEE Trans. Cybern. 2016, 46, 1250–1262. [Google Scholar] [CrossRef] [PubMed]
- Dash, C.S.K.; Behera, A.K.; Dehuri, S.; Cho, S.-B. Radial basis function neural networks: A topical state-of-the-art survey. Open Comput. Sci. 2016, 6, 33–63. [Google Scholar] [CrossRef]
- Strumiłło, P.; Kamiński, W. Radial Basis Function Neural Networks: Theory and Applications. Neural Netw. Soft Comput. 2003, 19, 107–119. [Google Scholar]
- Hung, J.Y.; Gao, W.B.; Hung, J.C. Variable structure control: A survey. IEEE Trans. Ind. Electron. 1993, 40, 2–22. [Google Scholar] [CrossRef]
- Wang, C.X.; Tang, J.W.; Jiang, B.P.; Wu, Z.T. Sliding-mode variable structure control for complex automatic systems: A survey. Math. Biosci. Eng. 2022, 19, 2616–2640. [Google Scholar] [CrossRef]
- Pisano, A.; Usai, E. Sliding mode control: A survey with applications in math. Math. Comput. Simul. 2011, 81, 954–979. [Google Scholar] [CrossRef]
- He, W.; Huang, B.; Dong, Y.T.; Li, Z.J.; Su, C.-Y. Adaptive Neural Network Control for Robotic Manipulators With Unknown Deadzone. IEEE Trans. Cybern. 2018, 48, 2670–2682. [Google Scholar] [CrossRef]
- Ahmed, S.; Wang, H.P.; Tian, Y. Adaptive High-Order Terminal Sliding Mode Control Based on Time Delay Estimation for the Robotic Manipulators With Backlash Hysteresis. IEEE Trans. Syst. Man Cybern. Syst. 2021, 51, 1128–1137. [Google Scholar] [CrossRef]
- Van, M.; Ge, S.S.; Ren, H.L. Finite time fault tolerant control for robot manipulators using time delay estimation and con-tinuous nonsingular fast terminal sliding mode control. IEEE Trans. Cybern. 2017, 47, 1681–1693. [Google Scholar] [CrossRef] [PubMed]
- Hernandez, C.B.; Petit, D.; Alpizar, I.R.; Nishi, T.; Kikuchi, S.; Matsubara, T.; Harada, K. Learning force control for contact-rich manipulation tasks with rigid position-controlled robots IEEE Robot. Autom. Lett. 2020, 5, 5709–5716. [Google Scholar] [CrossRef]
- Yang, L.; Yang, J. Nonsingular fast terminal sliding-mode control for nonlinear dynamical systems. Int. J. Robust Nonlinear Control 2010, 21, 1865–1879. [Google Scholar] [CrossRef]
- Anđelić, N.; Lorencin, I.; Mrzljak, V.; Carl, Z. Friction Modeling of Robot Manipulator Joints. In Proceedings of the International Conference on Innovative Technologies, Belgrade, Serbia, 11–13 September 2019. [Google Scholar]

















| Parameters | Descriptions | Values |
|---|---|---|
| Gravity | 9.81 | |
| Mass of link 1 | 2.0 kg | |
| Mass of link 2 | 0.85 kg | |
| Length of link 1 | 0.35 m | |
| Length of link 2 | 0.31 m | |
| Half Length of link 1 | 0.175 m | |
| Half Length of link 2 | 0.155 m | |
| Inertia of link 1 | ||
| Inertia of link 2 |
| Controller | Joint 1 | Joint 2 | ||
|---|---|---|---|---|
| Position | Velocity | Position | Velocity | |
| PID | 282.000 | 1143.000 | 59.000 | 730.000 |
| NFTSMC | 15.000 | 694.000 | 65.000 | 717.000 |
| NFTSMC+TDE | 2.716 | 676.000 | 3.892 | 693.000 |
| Proposed | 0.080 | 674.000 | 0.214 | 692.000 |
| Controller | Joint 1 | Joint 2 | ||
|---|---|---|---|---|
| Position | Velocity | Position | Velocity | |
| PID | 26.600 | 110.200 | 6.400 | 52.700 |
| NFTSMC | 1.900 | 81.100 | 7.800 | 54.300 |
| NFTSMC+TDE | 2.200 | 107.900 | 15.500 | 56.800 |
| Proposed | 1.200 | 82.600 | 3.800 | 53.800 |
Publisher’s Note: MDPI stays neutral with regard to jurisdictional claims in published maps and institutional affiliations. |
© 2022 by the authors. Licensee MDPI, Basel, Switzerland. This article is an open access article distributed under the terms and conditions of the Creative Commons Attribution (CC BY) license (https://creativecommons.org/licenses/by/4.0/).
Share and Cite
Wu, J.-W.; Cen, W.-S.; Ho, C.-C. Numerical Simulation of Adaptive Radial Basis NN-Based Non-Singular Fast Terminal Sliding Mode Control with Time Delay Estimator for Precise Control of Dual-Axis Manipulator. Appl. Sci. 2022, 12, 9605. https://doi.org/10.3390/app12199605
Wu J-W, Cen W-S, Ho C-C. Numerical Simulation of Adaptive Radial Basis NN-Based Non-Singular Fast Terminal Sliding Mode Control with Time Delay Estimator for Precise Control of Dual-Axis Manipulator. Applied Sciences. 2022; 12(19):9605. https://doi.org/10.3390/app12199605
Chicago/Turabian StyleWu, Jim-Wei, Wen-Shan Cen, and Cheng-Chang Ho. 2022. "Numerical Simulation of Adaptive Radial Basis NN-Based Non-Singular Fast Terminal Sliding Mode Control with Time Delay Estimator for Precise Control of Dual-Axis Manipulator" Applied Sciences 12, no. 19: 9605. https://doi.org/10.3390/app12199605
APA StyleWu, J.-W., Cen, W.-S., & Ho, C.-C. (2022). Numerical Simulation of Adaptive Radial Basis NN-Based Non-Singular Fast Terminal Sliding Mode Control with Time Delay Estimator for Precise Control of Dual-Axis Manipulator. Applied Sciences, 12(19), 9605. https://doi.org/10.3390/app12199605

