Research on De-Noising Method of Grounded Electrical Source Airborne Transient Electromagnetic Data Based on Singular Spectrum Analysis
Abstract
:1. Introduction
2. Singular Spectrum Analysis
- (1)
- Embedding
- (2)
- Singular Value Decomposition
- (3)
- Reconstruction
- (4)
- Diagonal averaging
3. Simulation Analysis Using SSA for GREATEM Signal De-Noising
3.1. Parameter Selection
3.1.1. Window Length
- (1)
- Let m particles form a group in an S-dimensional search space, and the ith particle is represented as an S-dimensional vector ; then we substitute into the objective function to calculate the corresponding fitness value.
- (2)
- Let the optimal individual extremum of the current iteration of the ith particle be ; the velocity is ; the optimal global extremum of the particle swarm current iteration is .
- (3)
- Update the speed and position of the ith particle in S dimension according to Equations (12) and (13).
3.1.2. Reconstruction Order
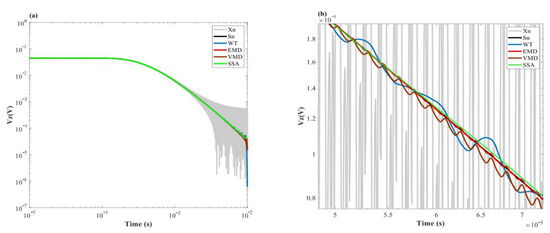
3.2. De-Noising Simulation Analysis for GREATEM Signal with Measured Noise
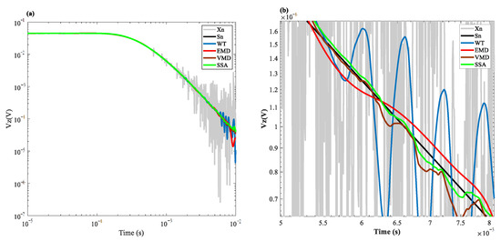
3.3. De-Noising Simulation Analysis for Quasi-Two-Dimensional Earth Model
3.4. Comparison of SSA and Other De-Noising Methods
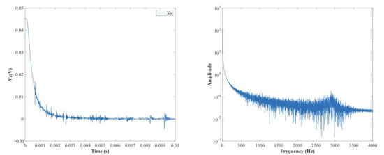
4. Performance of SSA with GREATEM Field Data
5. Conclusions
Author Contributions
Funding
Institutional Review Board Statement
Informed Consent Statement
Data Availability Statement
Acknowledgments
Conflicts of Interest
References
- Mogi, T.; Kusunoki, K.; Kaieda, H.; Ito, H.; Jomori, A.; Jomori, N.; Yuuki, Y. Grounded electrical-source airborne transient electromagnetic (GREATEM) survey of Mount Bandai, north-eastern Japan. Explor. Geophys. 2009, 40, 1–7. [Google Scholar] [CrossRef]
- Xue, G.-Q.; Li, X.; Yu, S.-B.; Chen, W.-Y.; Ji, Y.-J. The Application of Ground-airborne TEM Systems for Underground Cavity Detection in China. J. Environ. Eng. Geophys. 2018, 23, 103–113. [Google Scholar] [CrossRef]
- Li, D.; Tian, Z.; Ma, Y.; Gu, J.; Ji, Y.; Li, S. Application of Grounded Electrical Source Airborne Transient Electromagnetic (GREATEM) System in Goaf Water Detection. J. Environ. Eng. Geophys. 2019, 24, 387–397. [Google Scholar] [CrossRef]
- Wu, X.; Xue, G.; Xiao, P.; Li, J.; Liu, L.; Fang, G. The Removal of the High Frequency Motion-Induced Noise in Helicopter-Borne Transient Electromagnetic Data Based on Wavelet Neural Network. Geophysics 2019, 84, K1–K9. [Google Scholar] [CrossRef]
- Steuer, A.; Smirnova, M.; Becken, M.; Schiffler, M.; Günther, T.; Rochlitz, R.; Yogeshwar, P.; Mörbe, W.; Siemon, B.; Costabel, S.; et al. Comparison of Novel Semi-Airborne Electromagnetic Data with Multi-Scale Geophysical, Petrophysical and Geological Data from Schleiz, Germany. Geoexploration 2020, 182, 104172. [Google Scholar] [CrossRef]
- Lin, J.; Xue, G.Q.; Li, X. Technological innovation of semi-airborne electromagnetic detection method. Chin. J. Geophys. 2021, 64, 2995–3004. [Google Scholar]
- Lu, S.; Liang, B.; Wang, J.; Han, F.; Liu, Q.H. 1-D Inversion of GREATEM Data by Supervised Descent Learning. IEEE Geosci. Remote Sens. Lett. 2021, 19, 1–5. [Google Scholar] [CrossRef]
- He, Y.; Xue, G.; Chen, W.; Tian, Z. Three-Dimensional Inversion of Semi-Airborne Transient Electromagnetic Data Based on a Particle Swarm Optimization-Gradient Descent Algorithm. Appl. Sci. 2022, 12, 3042. [Google Scholar] [CrossRef]
- Wang, Y.; Ji, Y.; Li, S.; Lin, J.; Zhou, F.; Yang, G. A wavelet-based baseline drift correction method for grounded electrical source airborne transient electromagnetic signals. Explor. Geophys. 2013, 44, 229–237. [Google Scholar] [CrossRef]
- Li, S.Y.; Lin, J.; Yang, G.H.; Tian, P.P.; Wang, Y.; Yu, S.B.; Ji, Y.J. Ground-Airborne electromagnetic signals de-noising using a combined wavelet transform algorithm. Chin. J. Geophys. Chin. Ed. 2013, 56, 3145–3152. [Google Scholar]
- Li, D.; Wang, Y.; Lin, J.; Yu, S.; Ji, Y. Electromagnetic Noise Reduction in Grounded Electrical-Source Airborne Transient Electromagnetic Signal using a Stationary-Wavelet-Based Denoising Algorithm. Near Surf. Geophys. 2017, 15, 163–173. [Google Scholar] [CrossRef]
- Liu, F.; Li, J.; Liu, L.; Huang, L.; Fang, G. Application of the EEMD method for distinction and suppression of motion-induced noise in grounded electrical source airborne TEM system. Geoexploration 2017, 139, 109–116. [Google Scholar] [CrossRef]
- Ji, Y.; Wu, Q.; Wang, Y.; Lin, J.; Li, N.; Du, S.; Yu, S.; Guan, S. Noise reduction of grounded electrical source airborne transient electromagnetic data using an exponential fitting-adaptive Kalman filter. Explor. Geophys. 2018, 49, 243–252. [Google Scholar] [CrossRef]
- Li, Y.; Gao, S.; Zhang, S.; He, H.; Xian, P.; Yuan, C. The baseline wander correction based on the improved ensemble empirical mode decomposition (EEMD) algorithm for grounded electrical source airborne transient electromagnetic signals. Geosci. Instrum. Methods Data Syst. 2020, 9, 443–450. [Google Scholar] [CrossRef]
- Wu, X.; Xue, G.; He, Y.; Xue, J. Removal of multisource noise in airborne electromagnetic data based on deep learning. Geophysics 2020, 85, B207–B222. [Google Scholar] [CrossRef]
- Wu, Q.; Ma, Y.; Li, D.; Wang, Y.; Ji, Y. Denoising Algorithm of Ground-Airborne Time-Domain Electromagnetic Method Based on Variational Bayesian-Based Adaptive Kalman Filter (VBAKF). Geoexploration 2022, 202, 104674. [Google Scholar]
- Wu, X.; Xue, G.; Zhao, Y.; Lv, P.; Zhou, Z.; Shi, J. A Deep Learning Estimation of the Earth Resistivity Model for the Airborne Transient Electromagnetic Observation. J. Geophys. Res. Solid Earth 2022, 127, 2169–9313. [Google Scholar] [CrossRef]
- Zhu, T.; Yang, W.M.; Feng, B. Study on the transient electromagnetic method of de-noising based on Hilbert-Huang transform. Prog. Geophys. 2019, 34, 2389–2397. [Google Scholar]
- Zhang, B.-M.; Dai, S.-K.; Jiang, Q.-Y.; Yan, J.; Li, G. Time-domain denoising of time-frequency electromagnetic data. Geoexploration 2019, 16, 378–393. [Google Scholar] [CrossRef]
- Broomhead, D.S.; King, G.P. Extracting qualitative dynamics from experimental data. Phys. D Nonlinear Phenom. 1986, 20, 217–236. [Google Scholar] [CrossRef]
- Vautard, R.; Ghil, M. Singular spectrum analysis in nonlinear dynamics, with applications to paleoclimatic time series. Phys. D Nonlinear Phenom. 1989, 35, 395–424. [Google Scholar] [CrossRef]
- Zhu, D.; Liu, T.Y.; Li, H.W. Separation of potential field based on singular spectrum analysis. Acta Geophys. Sin. 2018, 61, 3800–3811. [Google Scholar]
- Ren, H. Research on De-noising Method of Full Wave MRS Signal Based on Singular Spectrum Analysis; Jilin University: Changchun, China, 2018. [Google Scholar]
- Maddirala, A.K.; Rafi, A.S. Separation of Sources from Single-Channel EEG Signals using Independent Component Analysis. IEEE Trans. Instrum. Meas. 2018, 67, 382–393. [Google Scholar] [CrossRef]
- Huang, W.; Wang, R.; Chen, Y.; Li, H.; Gan, S. Damped multichannel singular spectrum analysis for 3D random noise attenuation. Geophysics 2016, 81, V261–V270. [Google Scholar] [CrossRef]
- Wang, J.X.; Lian, L.Z.; Shen, Y.Z. Application of singular spectral analysis to GPS station coordinate monitoring series. J. Tongji Univ. 2013, 41, 282–288. [Google Scholar]
- Eberhart, R.C.; Shi, Y.H. Particle Swarm Optimization: Developments, Applications and Resources. In Proceedings of the 2001 IEEE Congress on Evolutionaty Computation, Seoul, Korea, 27–30 May 2001; pp. 81–86. [Google Scholar]
- Pace, F.; Santilano, A.; Godio, A. A Review of Geophysical Modeling Based on Particle Swarm Optimization. Surv. Geophys. 2021, 42, 505–549. [Google Scholar] [CrossRef]













| Signal | SNR (dB) | RMSE |
|---|---|---|
| Synthetic GREATEM signal | 26.0822 | 0.0011 |
| Signal de-noised by WT | 39.6726 | 2.2990 × 10−4 |
| Signal de-noised by EMD | 26.9985 | 9.8755 × 10−4 |
| Signal de-noised by VMD | 30.1032 | 6.8469 × 10−4 |
| Signal de-noised by SSA | 54.2960 | 4.2744 × 10−5 |
| Signal | SNR (dB) | RMSE |
|---|---|---|
| Synthetic GREATEM signal | 29.3049 | 0.0031 |
| Signal de-noised by WT | 51.8377 | 2.3079 × 10−4 |
| Signal de-noised by EMD | 49.3527 | 3.0723 × 10−4 |
| Signal de-noised by VMD | 47.5233 | 3.7892 × 10−4 |
| Signal de-noised by SSA | 64.5133 | 5.3631 × 10−5 |
Publisher’s Note: MDPI stays neutral with regard to jurisdictional claims in published maps and institutional affiliations. |
© 2022 by the authors. Licensee MDPI, Basel, Switzerland. This article is an open access article distributed under the terms and conditions of the Creative Commons Attribution (CC BY) license (https://creativecommons.org/licenses/by/4.0/).
Share and Cite
Luan, H.; Yu, X.; Wang, Y.; Wu, Q.; Tian, B. Research on De-Noising Method of Grounded Electrical Source Airborne Transient Electromagnetic Data Based on Singular Spectrum Analysis. Appl. Sci. 2022, 12, 10116. https://doi.org/10.3390/app121910116
Luan H, Yu X, Wang Y, Wu Q, Tian B. Research on De-Noising Method of Grounded Electrical Source Airborne Transient Electromagnetic Data Based on Singular Spectrum Analysis. Applied Sciences. 2022; 12(19):10116. https://doi.org/10.3390/app121910116
Chicago/Turabian StyleLuan, Hui, Xiaoyang Yu, Yingying Wang, Qiong Wu, and Baofeng Tian. 2022. "Research on De-Noising Method of Grounded Electrical Source Airborne Transient Electromagnetic Data Based on Singular Spectrum Analysis" Applied Sciences 12, no. 19: 10116. https://doi.org/10.3390/app121910116
APA StyleLuan, H., Yu, X., Wang, Y., Wu, Q., & Tian, B. (2022). Research on De-Noising Method of Grounded Electrical Source Airborne Transient Electromagnetic Data Based on Singular Spectrum Analysis. Applied Sciences, 12(19), 10116. https://doi.org/10.3390/app121910116

