Mitigation of Structural Vibrations of MDOF Oscillators by Modal Coupling Due to Hysteretic Dampers
Abstract
1. Introduction
2. Response to Harmonic Excitation of a Hysteretic SDOF Oscillator
3. 2DOF Systems with Hysteretic Dampers
Modal Features
4. The Phenomenon of Modal Coupling
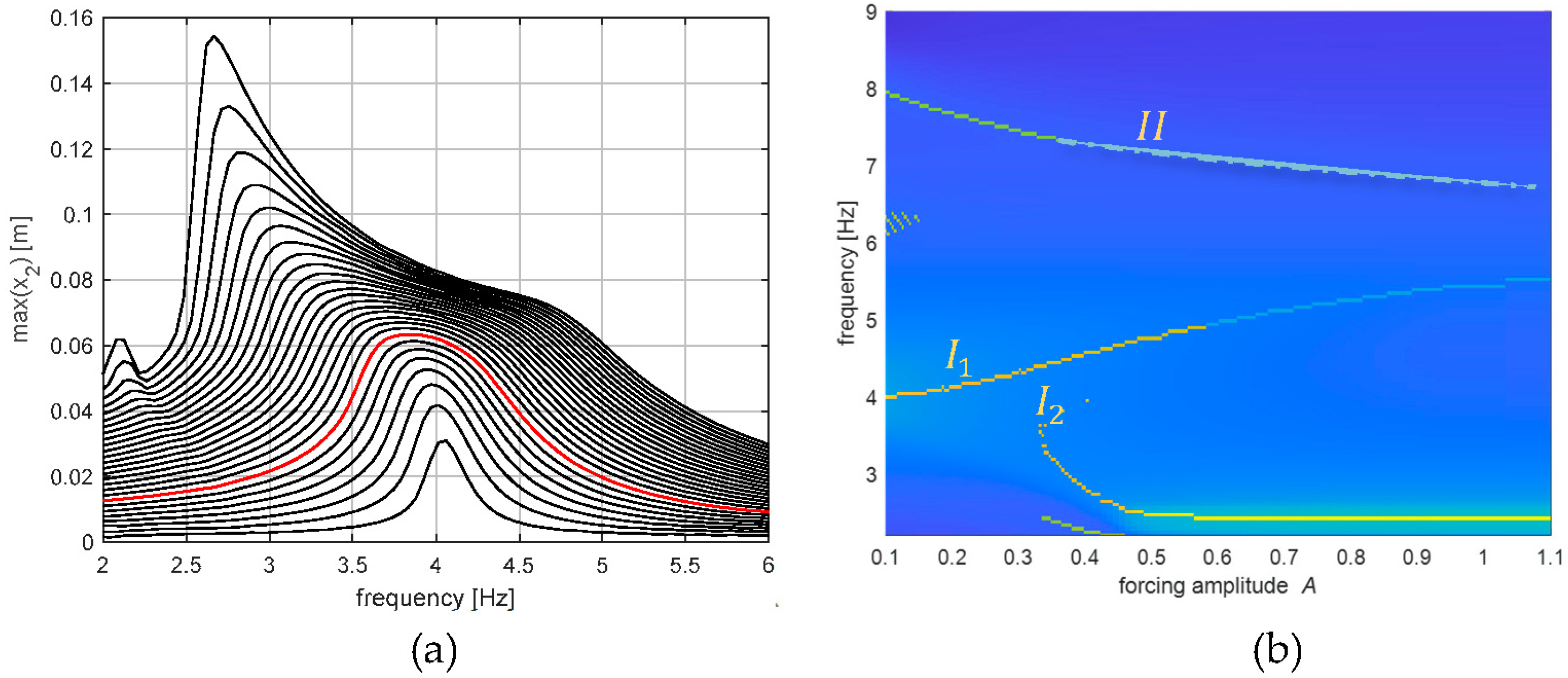
4.1. Top-Hysteresis Configuration (TC)
4.2. Base-Hysteresis Configuration (BC)
5. Conclusions
Author Contributions
Funding
Institutional Review Board Statement
Informed Consent Statement
Data Availability Statement
Conflicts of Interest
Appendix A
| SDOF Name | m1 kg | k1 kN/m | [1/m] | kA kN/m | fy kN | xy m | ||
|---|---|---|---|---|---|---|---|---|
| BW1 | 600 | 440 | 0.3 | 55 | 1 | 1466.7 | 13.3 | 0.0091 |
| BW2 | 600 | 440 | 0.3 | 100 | 10 | 1466.7 | 13.3 | 0.0091 |
| 2DOF Name | m1 kg | m2 kg | k1 kN/m | kd kN/m | [1/m] | ζ1 | k2 kN/m | ζ2 | ω1A Hz | ω2A Hz | ||
|---|---|---|---|---|---|---|---|---|---|---|---|---|
| TC1 1:1 | 1220 | 61 | 1532.6 | 82 | 82 | 1 | 0.14 | 0.02 | 14.51 | 0 | 5.27 | 6.95 |
| TC2 2:1 | 1220 | 101 | 1532.6 | 408 | 55 | 1 | 0.15 | 0.02 | 72 | 0 | 5.35 | 11.5 |
| BC1 3:1 | 256 | 420 | 440 | 300 | 55 | 1 | 0.6 | 0 | 440 | 0.01 | 3.89 | 11.32 |
| BC1n | 256 | 420 | 353 | 1606 | 55 | 1 | 0.6 | 0 | 889 | 0.01 | 3.93 | 13.3 |
| BC2 2:1 | 1220 | 549 | 440 | 2493 | 55 | 1 | 0.15 | 0 | 440 | 0.01 | 4.1 | 8.57 |
References
- Jing, X.J.; Vakakis, A. Exploring nonlinear benefits in engineering. Mech. Syst. Signal Process. 2019, 125, 1–3. [Google Scholar] [CrossRef]
- Vakakis, A.F. Intentional utilization of strong nonlinearity in structural dynamics. Proc. Eng. 2017, 199, 70–77. [Google Scholar] [CrossRef]
- Ture Savadkoohi, A.; Lamarque, C.-H.; Contessa, M.V. Trapping vibratory energy of main linear structures by coupling light systems with geometrical and material non-linearities. Int. J. Non-Linear Mech. 2016, 80, 3–13. [Google Scholar] [CrossRef]
- Vestroni, F.; Casini, P. Mitigation of structural vibrations by hysteretic oscillators in internal resonance. Nonlinear Dyn. 2020, 99, 505–518. [Google Scholar] [CrossRef]
- Liang, Z.; Lee, G.C.; Dargush, G.F.; Song, J. Structural Damping: Applications in Seismic Response Modification; CRC Press: Boca Raton, FL, USA, 2011. [Google Scholar]
- Casalotti, A.; Lacarbonara, W. Tailoring of pinched hysteresis for nonlinear vibration absorption via asymptotic analysis. Int. J. Non-Linear Mech. 2017, 94, 59–71. [Google Scholar] [CrossRef]
- Casini, P.; Vestroni, F. Nonlinear resonances of hysteretic oscillators. Acta Mech. 2018, 229, 939–952. [Google Scholar] [CrossRef]
- Tsiatas, G.C.; Charalampakis, A.E. A new hysteretic nonlinear energy sink (HNES). Commun. Nonlinear Sci. Numer. Simul. 2018, 60, 1–11. [Google Scholar] [CrossRef]
- Basili, M.; Casini, P.; Morelli, L.; Vestroni, F. Vibration Mitigation of Rail Noise Barriers by Hysteretic Absorbers. J. App. Comp. Mech. 2021, 7, 1205–1217. [Google Scholar]
- Nayfeh, A.H.; Balachandran, B. Applied Nonlinear Dynamics: Analytical, Computational, and Experimental Methods; Wiley: New York, NY, USA, 1995. [Google Scholar]
- Vakakis, A.F. Non-linear normal modes and their applications in vibration theory: An overview. Mech. Syst. Signal Process. 1997, 11, 3–22. [Google Scholar] [CrossRef]
- Vestroni, F.; Luongo, A.; Paolone, A. A perturbation method for evaluating nonlinear normal modes of a piecewise linear 2-DOF system. Nonlinear Dyn. 2008, 54, 379–393. [Google Scholar] [CrossRef]
- Wiercigroch, M.; de Kraker, B. Applied Nonlinear Dynamics and Chaos of Mechanical Systems with Discontinuities; World Scientific Series in Nonlinear Science, Series A; World Scientific: Singapore, 2000; Volume 28. [Google Scholar]
- Awrejcewicz, J.; Dzyubak, L.; Lamarque, C.H. Modelling of hysteresis using Masing–Bouc-Wen’s framework and search of conditions for the chaotic responses. Commun. Nonliner Sci. Numer. Simul. 2008, 13, 939–958. [Google Scholar] [CrossRef]
- Rand, R.H.; Pak, C.H.; Vakakis, A.F. Bifurcation of nonlinear normal modes in a class of two degree of freedom systems. Acta Mech. 1992, 3, 129–145. [Google Scholar]
- Casini, P.; Vestroni, F. Characterization of bifurcating Nonlinear Normal Modes in piecewise linear mechanical systems. Int. J. Non-Linear Mech. 2011, 46, 142–150. [Google Scholar] [CrossRef]
- Vestroni, F.; Noori, M. Hysteresis in mechanical systems: Modeling and dynamic response. Int. J. Non-Linear Mech. 2002, 37, 1261–1262. [Google Scholar] [CrossRef]
- Al-Bender, F.; Symens, W.; Swevers, J.; Van Brussel, H. Theoretical analysis of the dynamic behavior of hysteresis elements in mechanical systems. Int. J. Non-Linear Mech. 2004, 39, 1721–1735. [Google Scholar] [CrossRef]
- Masuda, A.; Noori, M. Optimization of hysteretic characteristics of damping devices based on pseudoelastic shape memory alloys. Int. J. Non-Linear Mech. 2002, 37, 1375–1386. [Google Scholar] [CrossRef]
- Lacarbonara, W.; Vestroni, F. Nonclassical responses of oscillators with hysteresis. Nonlinear Dyn. 2003, 32, 235–258. [Google Scholar] [CrossRef]
- Xiong, H.; Kong, X.; Li, H.; Yang, Z. Vibration analysis of nonlinear systems with the bilinear hysteretic oscillator by using incremental harmonic balance method. Commun. Nonlinear Sci. Numer. Simul. 2017, 42, 437. [Google Scholar] [CrossRef]
- Vaiana, N.; Sessa, S.; Marmo, F.; Rosati, L. Nonlinear dynamic analysis of hysteretic mechanical systems by combining a novel rate-independent model and an explicit time integration method. Nonlinear Dyn. 2019, 98, 2879–2901. [Google Scholar] [CrossRef]
- Pak, C.H. On the stability behaviour of bifurcated normal modes in coupled nonlinear systems. J. Appl. Mech. 1989, 56, 155–161. [Google Scholar] [CrossRef]
- Masiani, R.; Capecchi, D.; Vestroni, F. Resonant and coupled response of hysteretic two-degree-of-freedom systems using harmonic balance method. Int. J. Non-Linear Mech. 2002, 37, 1421–1434. [Google Scholar] [CrossRef]
- Visintin, A. Differential Models of Hysteresis; Springer: Berlin/Heidelberg, Germany, 1994. [Google Scholar]
- Antonelli, M.; Carboni, B.; Lacarbonara, W.; Bernardini, D.; Kalmar-Nagy, T. Quantifying Rate-Dependence of a Nonlinear Hysteretic Device. In Nonlinear Dynamics of Structures, Systems and Devices, Proceedings of the 1st International Nonlinear Dynamics Conference, NODYCON, Rome, Italy, 17–19 February 2019; Springer: Cham, Switzerland, 2020; pp. 347–355. [Google Scholar]
- Bouc, R. Forced vibrations of mechanical systems with hysteresis. In Proceedings of the Fourth Conference on Nonlinear Oscillations, Prague, Czech Republic, 5–9 September 1967. [Google Scholar]
- Wen, Y.K. Method of random vibration of hysteretic systems. ASCE J. Eng. Mech. 1976, 102, 249–263. [Google Scholar] [CrossRef]
- Ni, Y.Q.; Ko, J.M.; Wong, C.W. Identification of non-linear hysteretic isolators from periodic vibration tests. J. Sound Vibr. 1998, 217, 747–756. [Google Scholar] [CrossRef]
- Ismail, M.; Ikhouane, F.; Rodellar, J. The Hysteresis Bouc-Wen Model, a Survey. Arch. Comput. Methods Eng. 2009, 16, 161–188. [Google Scholar] [CrossRef]
- Zhang, Z.; Tian, X.; Ge, X. Dynamic Characteristics of the Bouc–Wen Nonlinear Isolation System. Appl. Sci. 2021, 11, 6106. [Google Scholar] [CrossRef]
- Vestroni, F.; Casini, P. Nonlinear dynamics and phenomena in oscillators with hysteresis. In Modern Trends in Structural and Solid Mechanics; Challamel, N., Kaplunov, J., Takewaki, I., Eds.; ISTE: London, UK; Wiley: Hoboken, NJ, USA, 2021. [Google Scholar]
- Capecchi, D.; Vestroni, F. Periodic response of a class of hysteretic oscillators. Int. J. Non-Linear Mech. 1990, 25, 309–317. [Google Scholar] [CrossRef]
- Den Hartog, J.P. Mechanical Vibrations; McGraw-Hill: New York, NY, USA, 1934. [Google Scholar]
- Dai, J.; Xu, Z.D.; Gai, P.P. Dynamic analysis of viscoelastic tuned mass damper system under harmonic excitation. J. Vib. Control 2019, 25, 1768–1779. [Google Scholar] [CrossRef]
- Vakakis, A.F.; Manevitch, L.; Gendelman, O.; Bergman, L. Dynamics of linear discrete systems connected to local, essentially non-linear attachments. J. Sound Vib. 2003, 264, 559–577. [Google Scholar] [CrossRef]
- Laxalde, D.; Thouverez, F.; Sinou, J.J. Dynamics of a linear oscillator connected to a small strongly non-linear hysteretic absorber. Int. J. Non-Linear Mech. 2006, 41, 969–978. [Google Scholar] [CrossRef]
- Zeynalian, M.; Ronagh, H.R.; Dux, P. Analytical Description of Pinching, Degrading, and Sliding in a Bilinear Hys-teretic System. J. Eng. Mech. 2012, 138, 1381–1387. [Google Scholar]
- Carpineto, N.; Lacarbonara, W.; Vestroni, F. Hysteretic tuned mass dampers for structural vibration mitigation. J. Sound Vib. 2013, 333, 1302–1318. [Google Scholar] [CrossRef]
- Carboni, B.; Lacarbonara, W. Nonlinear dynamic characterization of a new hysteretic device: Experiments and computations. Nonlinear Dyn. 2016, 83, 23–39. [Google Scholar] [CrossRef]
- Bagheri, S.; Rahmani-Dabbagh, V. Seismic response control with inelastic tuned mass dampers. Eng. Struct. 2018, 172, 712–722. [Google Scholar] [CrossRef]
- Salvatori, A.; Carboni, B.; Lacarbonara, W. Nonlinear dynamic response of an isolation system with superelastic hysteresis and negative stiffness. Nonlinear Dyn. 2022, 107, 1765–1790. [Google Scholar] [CrossRef]
- Krack, M.; Bergman, L.A.; Vakakis, A.F. On the efficacy of friction damping in the presence of nonlinear modal interactions. J. Sound Vib. 2016, 370, 209–220. [Google Scholar] [CrossRef]
- Jo, H.; Yabuno, H. Amplitude reduction of primary resonance of nonlinear oscillator by a dynamic vibration absorber using nonlinear coupling. Nonlinear Dyn. 2009, 55, 67–78. [Google Scholar] [CrossRef]
- Ji, J.C. Design of a nonlinear vibration absorber using three-to-one internal resonances. Mech. Syst. Signal Process. 2014, 42, 236–246. [Google Scholar] [CrossRef]
- Casini, P.; Vestroni, F. The role of the hysteretic restoring force on modal interactions in nonlinear dynamics. Int. J. Non-Linear Mech. 2022, 143, 104029. [Google Scholar] [CrossRef]









Publisher’s Note: MDPI stays neutral with regard to jurisdictional claims in published maps and institutional affiliations. |
© 2022 by the authors. Licensee MDPI, Basel, Switzerland. This article is an open access article distributed under the terms and conditions of the Creative Commons Attribution (CC BY) license (https://creativecommons.org/licenses/by/4.0/).
Share and Cite
Casini, P.; Vestroni, F. Mitigation of Structural Vibrations of MDOF Oscillators by Modal Coupling Due to Hysteretic Dampers. Appl. Sci. 2022, 12, 10079. https://doi.org/10.3390/app121910079
Casini P, Vestroni F. Mitigation of Structural Vibrations of MDOF Oscillators by Modal Coupling Due to Hysteretic Dampers. Applied Sciences. 2022; 12(19):10079. https://doi.org/10.3390/app121910079
Chicago/Turabian StyleCasini, Paolo, and Fabrizio Vestroni. 2022. "Mitigation of Structural Vibrations of MDOF Oscillators by Modal Coupling Due to Hysteretic Dampers" Applied Sciences 12, no. 19: 10079. https://doi.org/10.3390/app121910079
APA StyleCasini, P., & Vestroni, F. (2022). Mitigation of Structural Vibrations of MDOF Oscillators by Modal Coupling Due to Hysteretic Dampers. Applied Sciences, 12(19), 10079. https://doi.org/10.3390/app121910079
