Assessment of Soil Heavy Metal Pollution and Its Ecological Risk for City Parks, Vicinity of a Landfill, and an Industrial Area within Guangzhou, South China
Abstract
1. Introduction
2. Materials and Methods
2.1. Study Area and Sampling
2.2. Heavy Metal Content Measurements
2.3. Pollution Indices
2.4. Potential Ecological Risk Index
3. Results
3.1. Heavy Metal Concentrations
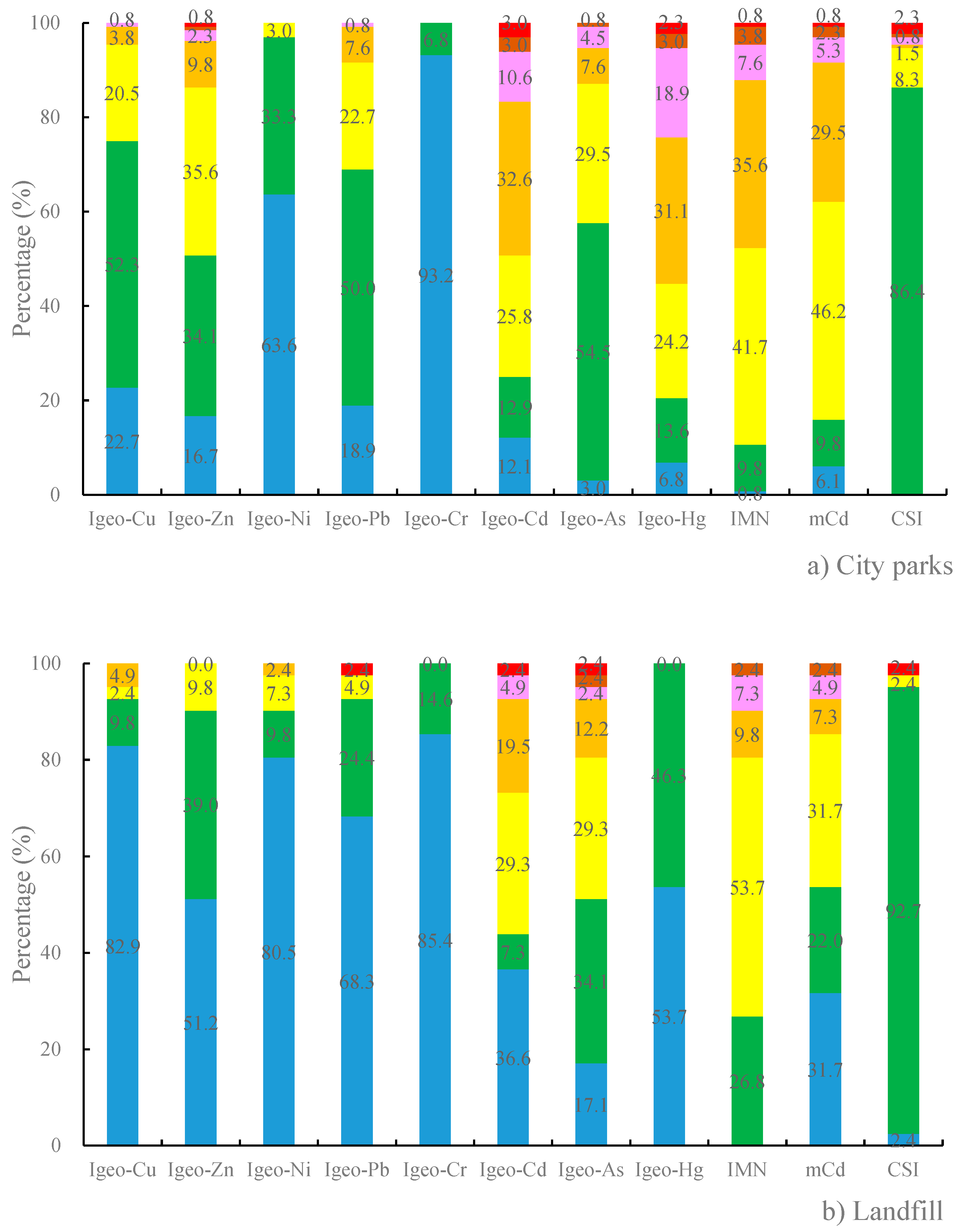
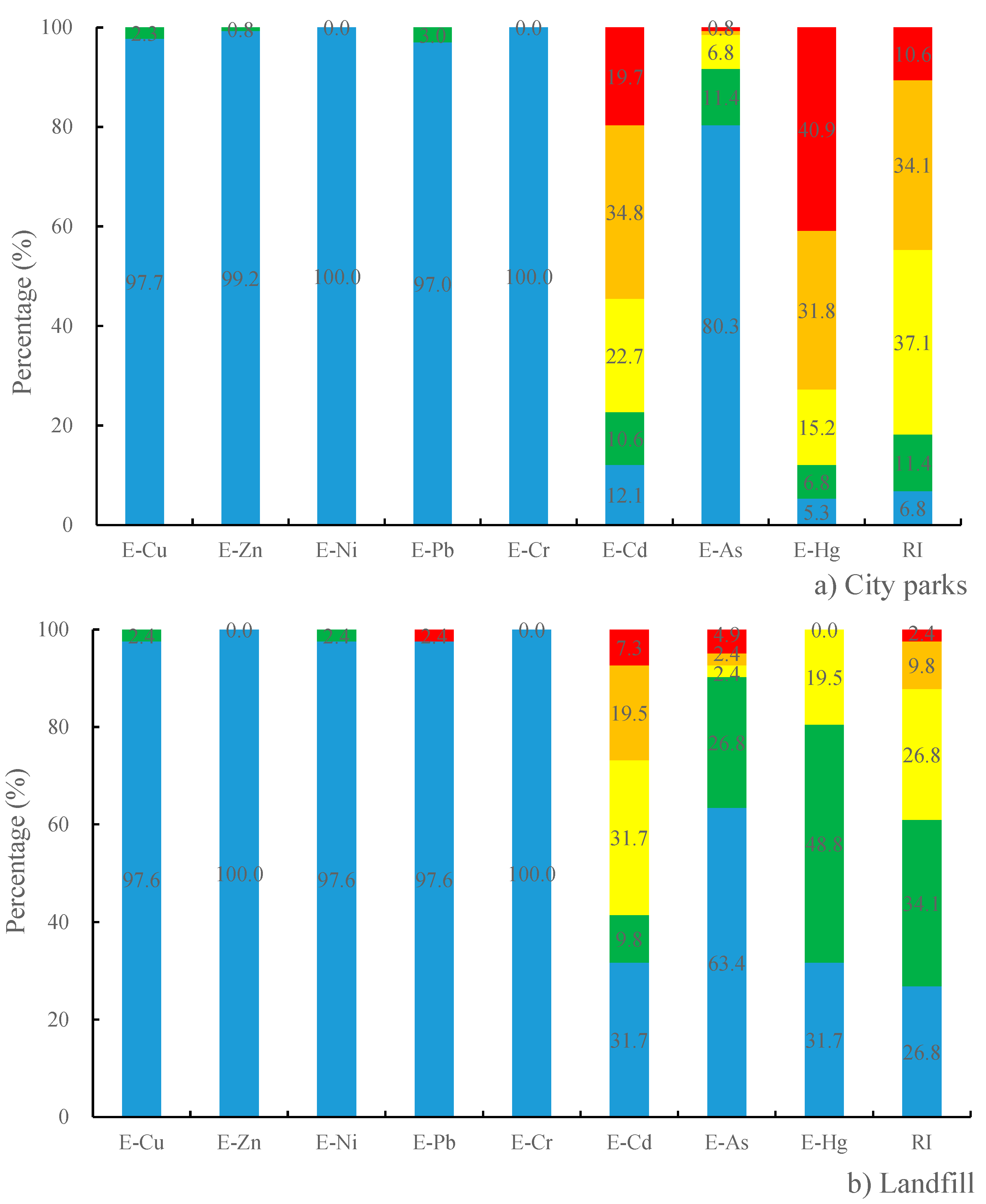
3.2. Pollution Indices
4. Discussion
4.1. Comparison of Assessment Results Using Different Indices
4.2. Ecological Impact of Heavy Metal Pollution
5. Conclusions
Author Contributions
Funding
Institutional Review Board Statement
Informed Consent Statement
Data Availability Statement
Acknowledgments
Conflicts of Interest
References
- Galán, E.; Romero-Baena, A.J.; Aparicio, P.; González, I. A Methodological Approach for the Evaluation of Soil Pollution by Potentially Toxic Trace Elements. J. Geochem. Explor. 2019, 203, 96–107. [Google Scholar] [CrossRef]
- Modabberi, S.; Tashakor, M.; Sharifi Soltani, N.; Hursthouse, A.S. Potentially Toxic Elements in Urban Soils: Source Apportionment and Contamination Assessment. Environ. Monit. Assess. 2018, 190, 715. [Google Scholar] [CrossRef] [PubMed]
- Rastegari Mehr, M.; Keshavarzi, B.; Moore, F.; Sharifi, R.; Lahijanzadeh, A.; Kermani, M. Distribution, Source Identification and Health Risk Assessment of Soil Heavy Metals in Urban Areas of Isfahan Province, Iran. J. Afr. Earth Sci. 2017, 132, 16–26. [Google Scholar] [CrossRef]
- Wang, Z.; Guo, Y.; Zheng, X.; Zhou, X.; Shi, X. Environmental Geochemical Assessment and Health Risk Assessment of a Landfill in Guangzhou. J. Guizhou Univ. (Nat. Sci.) 2021, 38, 52-59+74. [Google Scholar]
- Wu, Y.; Li, X.; Yu, L.; Wang, T.; Wang, J.; Liu, T. Review of Soil Heavy Metal Pollution in China: Spatial Distribution, Primary Sources, and Remediation Alternatives. Resour. Conserv. Recycl. 2022, 181, 106261. [Google Scholar] [CrossRef]
- Wang, J.; Li, S.; Cui, X.; Li, H.; Qian, X.; Wang, C.; Sun, Y. Bioaccessibility, Sources and Health Risk Assessment of Trace Metals in Urban Park Dust in Nanjing, Southeast China. Ecotoxicol. Environ. Saf. 2016, 128, 161–170. [Google Scholar] [CrossRef]
- Zhang, M.; Li, X.; Yang, R.; Wang, J.; Ai, Y.; Gao, Y.; Zhang, Y.; Zhang, X.; Yan, X.; Liu, B.; et al. Multipotential Toxic Metals Accumulated in Urban Soil and Street Dust from Xining City, NW China: Spatial Occurrences, Sources, and Health Risks. Arch. Environ. Contam. Toxicol. 2019, 76, 308–330. [Google Scholar] [CrossRef]
- Tepanosyan, G.; Sahakyan, L.; Belyaeva, O.; Maghakyan, N.; Saghatelyan, A. Human Health Risk Assessment and Riskiest Heavy Metal Origin Identification in Urban Soils of Yerevan, Armenia. Chemosphere 2017, 184, 1230–1240. [Google Scholar] [CrossRef]
- Sun, Y.; Zhou, Q.; Xie, X.; Liu, R. Spatial, Sources and Risk Assessment of Heavy Metal Contamination of Urban Soils in Typical Regions of Shenyang, China. J. Hazard. Mater. 2010, 174, 455–462. [Google Scholar] [CrossRef]
- Zhang, Q.; Yu, R.; Fu, S.; Wu, Z.; Chen, H.Y.H.; Liu, H. Spatial Heterogeneity of Heavy Metal Contamination in Soils and Plants in Hefei, China. Sci. Rep. 2019, 9, 1049. [Google Scholar] [CrossRef]
- Han, Q.; Wang, M.; Cao, J.; Gui, C.; Liu, Y.; He, X.; He, Y.; Liu, Y. Health Risk Assessment and Bioaccessibilities of Heavy Metals for Children in Soil and Dust from Urban Parks and Schools of Jiaozuo, China. Ecotoxicol. Environ. Saf. 2020, 191, 110157. [Google Scholar] [CrossRef] [PubMed]
- Tepanosyan, G.; Maghakyan, N.; Sahakyan, L.; Saghatelyan, A. Heavy Metals Pollution Levels and Children Health Risk Assessment of Yerevan Kindergartens Soils. Ecotoxicol. Environ. Saf. 2017, 142, 257–265. [Google Scholar] [CrossRef] [PubMed]
- Lu, Y.; Yin, W.; Huang, L.; Zhang, G.; Zhao, Y. Assessment of Bioaccessibility and Exposure Risk of Arsenic and Lead in Urban Soils of Guangzhou City, China. Environ. Geochem. Health 2011, 33, 93–102. [Google Scholar] [CrossRef] [PubMed]
- Hu, Y.; Liu, X.; Bai, J.; Shih, K.; Zeng, E.Y.; Cheng, H. Assessing Heavy Metal Pollution in the Surface Soils of a Region That Had Undergone Three Decades of Intense Industrialization and Urbanization. Environ. Sci. Pollut. Res. 2013, 20, 6150–6159. [Google Scholar] [CrossRef]
- Famuyiwa, A.O.; Davidson, C.M.; Ande, S.; Oyeyiola, A.O. Potentially Toxic Elements in Urban Soils from Public-Access Areas in the Rapidly Growing Megacity of Lagos, Nigeria. Toxics 2022, 10, 154. [Google Scholar] [CrossRef]
- Chen, H.Z.; Gong, C.S.; Li, W.L.; Li, X.K.; Zhan, Q.J. Characteristic and Evaluation of Soil Pollution by Heavy Metal in Different Functional Zones of Guangzhou. J. Environ Health. 2010, 27, 700–703. [Google Scholar]
- Yan, G.; Mao, L.; Liu, S.; Mao, Y.; Ye, H.; Huang, T.; Li, F.; Chen, L. Enrichment and Sources of Trace Metals in Roadside Soils in Shanghai, China: A Case Study of Two Urban/Rural Roads. Sci. Total Environ. 2018, 631–632, 942–950. [Google Scholar] [CrossRef]
- Rodríguez-Oroz, D.; Vidal, R.; Fernandoy, F.; Lambert, F.; Quiero, F. Metal Concentrations and Source Identification in Chilean Public Children’s Playgrounds. Environ. Monit. Assess. 2018, 190, 703. [Google Scholar] [CrossRef]
- Peng, T.; O’Connor, D.; Zhao, B.; Jin, Y.; Zhang, Y.; Tian, L.; Zheng, N.; Li, X.; Hou, D. Spatial Distribution of Lead Contamination in Soil and Equipment Dust at Children’s Playgrounds in Beijing, China. Environ. Pollut. 2019, 245, 363–370. [Google Scholar] [CrossRef]
- Madrid, L.; Díaz-Barrientos, E.; Madrid, F. Distribution of Heavy Metal Contents of Urban Soils in Parks of Seville. Chemosphere 2002, 49, 1301–1308. [Google Scholar] [CrossRef]
- Gąsiorek, M.; Kowalska, J.; Mazurek, R.; Pająk, M. Comprehensive Assessment of Heavy Metal Pollution in Topsoil of Historical Urban Park on an Example of the Planty Park in Krakow (Poland). Chemosphere 2017, 179, 148–158. [Google Scholar] [CrossRef] [PubMed]
- Adedeji, O.H.; Olayinka, O.O.; Tope-Ajayi, O.O.; Adekoya, A.S. Assessing Spatial Distribution, Potential Ecological and Human Health Risks of Soil Heavy Metals Contamination around a Trailer Park in Nigeria. Sci. Afr. 2020, 10, e00650. [Google Scholar] [CrossRef]
- Wang, X.; Birch, G.F.; Liu, E. Traffic Emission Dominates the Spatial Variations of Metal Contamination and Ecological-Health Risks in Urban Park Soil. Chemosphere 2022, 297, 134155. [Google Scholar] [CrossRef] [PubMed]
- Gu, Y.-G.; Lin, Q.; Gao, Y.-P. Metals in Exposed-Lawn Soils from 18 Urban Parks and Its Human Health Implications in Southern China’s Largest City, Guangzhou. J. Clean. Prod. 2016, 115, 122–129. [Google Scholar] [CrossRef]
- Gu, Y.-G.; Gao, Y.-P. Bioaccessibilities and Health Implications of Heavy Metals in Exposed-Lawn Soils from 28 Urban Parks in the Megacity Guangzhou Inferred from an in Vitro Physiologically-Based Extraction Test. Ecotoxicol. Environ. Saf. 2018, 148, 747–753. [Google Scholar] [CrossRef]
- Nannoni, F.; Mazzeo, R.; Santolini, R.; Protano, G. Multi-Matrix Environmental Monitoring to Assess Heavy Element Distribution around a Municipal Solid Waste Landfill in Italy. Int. J. Environ. Sci. Technol. 2017, 14, 2591–2602. [Google Scholar] [CrossRef]
- Hölzle, I.; Somani, M.; Ramana, G.V.; Datta, M. Heavy Metals in Soil-like Material from Landfills—Resource or Contaminants? J. Clean. Prod. 2022, 133136. [Google Scholar] [CrossRef]
- Xie, W.; Chen, D.; Zhang, H.; Song, G.; Chang, X. An Investigation into Heavy Metals Pollution in a Landfill of Guangzhou. In Proceedings of the 2009 3rd International Conference on Bioinformatics and Biomedical Engineering, Beijing, China, 11–13 June 2009; IEEE: Beijing, China, 2009; pp. 1–4. [Google Scholar]
- Lv, J.; Liu, Y. An Integrated Approach to Identify Quantitative Sources and Hazardous Areas of Heavy Metals in Soils. Sci. Total Environ. 2019, 646, 19–28. [Google Scholar] [CrossRef]
- Tume, P.; González, E.; King, R.W.; Cuitiño, L.; Roca, N.; Bech, J. Distinguishing between Natural and Anthropogenic Sources for Potentially Toxic Elements in Urban Soils of Talcahuano, Chile. J. Soils Sediments 2018, 18, 2335–2349. [Google Scholar] [CrossRef]
- Jin, Z.; Lv, J. Integrated Receptor Models and Multivariate Geostatistical Simulation for Source Apportionment of Potentially Toxic Elements in Soils. CATENA 2020, 194, 104638. [Google Scholar] [CrossRef]
- Ou, C.; Zhu, X.; Hu, L.; Wu, X.; Yu, W.; Wu, Y. Source Apportionment of Soil Contamination Based on Multivariate Receptor and Robust Geostatistics in a Typical Rural–Urban Area, Wuhan City, Middle China. Open Chem. 2020, 18, 244–258. [Google Scholar] [CrossRef]
- Wang, Z.; Chen, X.; Yu, D.; Zhang, L.; Wang, J.; Lv, J. Source Apportionment and Spatial Distribution of Potentially Toxic Elements in Soils: A New Exploration on Receptor and Geostatistical Models. Sci. Total Environ. 2021, 759, 143428. [Google Scholar] [CrossRef] [PubMed]
- Yang, Z.; Li, X.; Wang, Y.; Chang, J.; Liu, X. Trace Element Contamination in Urban Topsoil in China during 2000–2009 and 2010–2019: Pollution Assessment and Spatiotemporal Analysis. Sci. Total Environ. 2021, 758, 143647. [Google Scholar] [CrossRef]
- Li, Y.; Dong, Z.; Feng, D.; Zhang, X.; Jia, Z.; Fan, Q.; Liu, K. Study on the Risk of Soil Heavy Metal Pollution in Typical Developed Cities in Eastern China. Sci. Rep. 2022, 12, 3855. [Google Scholar] [CrossRef] [PubMed]
- Pecina, V.; Brtnický, M.; Baltazár, T.; Juřička, D.; Kynický, J.; Galiová, M.V. Human health and ecological risk assessment of trace elements in urban soils of 101 cities in China: A meta-analysis. Chemosphere 2021, 267, 129215. [Google Scholar] [CrossRef]
- Tume, P.; González, E.; Reyes, F.; Fuentes, J.P.; Roca, N.; Bech, J.; Medina, G. Sources Analysis and Health Risk Assessment of Trace Elements in Urban Soils of Hualpen, Chile. CATENA 2019, 175, 304–316. [Google Scholar] [CrossRef]
- Nazarpour, A.; Watts, M.J.; Madhani, A.; Elahi, S. Source, Spatial Distribution and Pollution Assessment of Pb, Zn, Cu, and Pb, Isotopes in Urban Soils of Ahvaz City, a Semi-Arid Metropolis in Southwest Iran. Sci. Rep. 2019, 9, 5349. [Google Scholar] [CrossRef]
- Zhang, M.; Lu, X.; Shi, D.; Pan, H. Toxic Metal Enrichment Characteristics and Sources of Arid Urban Surface Soil in Yinchuan City, China. J. Arid Land 2018, 10, 653–662. [Google Scholar] [CrossRef]
- Horváth, A.; Kalicz, P.; Farsang, A.; Balázs, P.; Berki, I.; Bidló, A. Influence of Human Impacts on Trace Metal Accumulation in Soils of Two Hungarian Cities. Sci. Total Environ. 2018, 637–638, 1197–1208. [Google Scholar] [CrossRef]
- Cheng, H.; Li, M.; Zhao, C.; Li, K.; Peng, M.; Qin, A.; Cheng, X. Overview of Trace Metals in the Urban Soil of 31 Metropolises in China. J. Geochem. Explor. 2014, 139, 31–52. [Google Scholar] [CrossRef]
- Wang, S.; Cai, L.-M.; Wen, H.-H.; Luo, J.; Wang, Q.-S.; Liu, X. Spatial Distribution and Source Apportionment of Heavy Metals in Soil from a Typical County-Level City of Guangdong Province, China. Sci. Total Environ. 2019, 655, 92–101. [Google Scholar] [CrossRef] [PubMed]
- Chen, H.; Teng, Y.; Lu, S.; Wang, Y.; Wang, J. Contamination Features and Health Risk of Soil Heavy Metals in China. Sci. Total Environ. 2015, 512–513, 143–153. [Google Scholar] [CrossRef] [PubMed]
- Li, C.; Sanchez, G.M.; Wu, Z.; Cheng, J.; Zhang, S.; Wang, Q.; Li, F.; Sun, G.; Meentemeyer, R.K. Spatiotemporal Patterns and Drivers of Soil Contamination with Heavy Metals during an Intensive Urbanization Period (1989–2018) in Southern China. Environ. Pollut. 2020, 260, 114075. [Google Scholar] [CrossRef]
- Zhou, X.-Y.; Wang, X.-R. Impact of Industrial Activities on Heavy Metal Contamination in Soils in Three Major Urban Agglomerations of China. J. Clean. Prod. 2019, 230, 1–10. [Google Scholar] [CrossRef]
- Xiao, Y.; Guo, M.; Li, X.; Luo, X.; Pan, R.; Ouyang, T. Spatial Distribution, Pollution, and Health Risk Assessment of Heavy Metal in Agricultural Surface Soil for the Guangzhou-Foshan Urban Zone, South China. PLoS ONE 2020, 15, e0239563. [Google Scholar] [CrossRef] [PubMed]
- Li, T.; Jia, C.; Zhang, J.; Zheng, F.; Xian, Z. Heavy metal contamination of green space soils and its ecological risk assessment in industrial district of the pearl river delta. In Proceedings of the 2019 Annual Scientific and Technical Conference of the Chinese Society of Environmental Sciences—Environmental Engineering Technology Innovation and Application Sub-Forum (III), Xi’an, China, 23–25 August 2019; pp. 663–667+755. [Google Scholar]
- Cai, Y.M.; Zhang, Y.L.; Ren, L.L.; Li, C.X.; Wang, G.N.; Huang, H.S. Characteristics and Ecological Risk Assessment of Heavy Metal Pollution in Vegetable Soils of Guangzhou Urban Districts. Guangdong Agric. Sci. 2019, 46, 73–78. [Google Scholar]
- Lei, G.; Chen, Z.; Liu, Q.; Peng, X. The assessments of polluted degree and potential ecological hazards of heavy metals in suburban soil of Guangzhou city. China Environ. Sci. 2013, 33, 49–53. [Google Scholar]
- Zhao, H.; He, B.; Wang, T.Y.; Meng, J.; Xiao, R.B.; Liu, S.R.; Zhou, Y.Q.; Shi, B. Pollution characteristics of heavy metals and source-sink relationship in typical city of the South China. Acta Sci. 2019, 39, 2231–2239. [Google Scholar]
- Shang, S.; Zhong, W.; Wei, Z.; Zhu, C.; Ye, S.; Tang, X.; Chen, Y.; Tian, L.; Chen, B. Heavy Metals in Surface Sediments of Lakes in Guangzhou Public Parks in China and Their Relations with Anthropogenic Activities and Urbanization. Hum. Ecol. Risk Assess. Int. J. 2017, 23, 2002–2016. [Google Scholar] [CrossRef]
- Lu, Y.; Jia, C.; Zhang, G.; Zhao, Y.; Wilson, M.A. Spatial Distribution and Source of Potential Toxic Elements (PTEs) in Urban Soils of Guangzhou, China. Environ. Earth Sci. 2016, 75, 329. [Google Scholar] [CrossRef]
- Li, J.H.; Lu, Y.; Zhang, C.; Deng, X.L.; Lian, J. The status quo and potential ecological risks assessment of heavy metals in agricultural soils near a petrochemical complex in Guangzhou. Chinese J. Soil Sci. 2011, 42, 1242–1246. [Google Scholar]
- Zhuo, W.S.; Tang, J.F.; Guan, D.S. The Distributive Character and Pollution Assessment of Heavy Metals in Urban Soil of Guangzhou. Acta Sci. Nat. Univ. Sunyatseni 2009, 48, 47–51. [Google Scholar]
- Wang, C.M.; Gao, Y.H.; Zhang, D.W.; He, Q.J.; Lv, Y. Investigation and Assessment of Heavy Metals in Soil and Plants from a Sealed Landfill in Zengcheng, Guangzhou, China. J. Agro-Environ. Sci. 2013, 32, 714–720. [Google Scholar]
- Cai, Q.-Y.; Mo, C.-H.; Li, H.-Q.; Lü, H.; Zeng, Q.-Y.; Li, Y.-W.; Wu, X.-L. Heavy Metal Contamination of Urban Soils and Dusts in Guangzhou, South China. Environ. Monit. Assess. 2013, 185, 1095–1106. [Google Scholar] [CrossRef]
- Zhang, X.M. Heavy Metal Pollution and Ecological Risk Assessment of Soil in A Dictrict of Guangzhou. Guangzhou Chem. Ind. 2020, 48, 152–154+197. [Google Scholar]
- Li, C.; Sun, G.; Wu, Z.; Zhong, H.; Wang, R.; Liu, X.; Guo, Z.; Cheng, J. Soil Physiochemical Properties and Landscape Patterns Control Trace Metal Contamination at the Urban-Rural Interface in Southern China. Environ. Pollut. 2019, 250, 537–545. [Google Scholar] [CrossRef] [PubMed]
- Wang, Y.S.; Liu, C.J.; Chen, X.Y.; Chen, J.X.; Wu, S.S.; Yang, W.C.; Huang, D.J. Pollution Risk Assessment of Heavy Metals in Soils Around a Municipal Solid Waste Incinerator. J. S. China Norm. Univ. 2020, 52, 57–64. [Google Scholar]
- Lei, G.; Liu, Q.; Chen, Z.; Peng, X.; Zhang, Y.; Ding, C.; Zhao, S. Comparative Study on Characters of Soil Heavy Metal Pollution in Different Industries. Soils 2013, 45, 1023–1027. [Google Scholar]
- Liang, M.J.; Xiong, F.; Zeng, J.W.; Yu, W.D.; Zhang, Y.L.; Zhou, S.J. Heavy Metal Pollution and Ecological Risk Assessment of Farmland Soil Around Three Types of Industrial Enterprises in Guangzhou Suburb. Guangdong Agric. Sci. 2021, 48, 103–110. [Google Scholar]
- Tatomir, A.; McDermott, C.; Bensabat, J.; Class, H.; Edlmann, K.; Taherdangkoo, R.; Sauter, M. Conceptual Model Development Using a Generic Features, Events, and Processes (FEP) Database for Assessing the Potential Impact of Hydraulic Fracturing on Groundwater Aquifers. Adv. Geosci. 2018, 45, 185–192. [Google Scholar] [CrossRef]
- Vega, A.S.; Arce, G.; Rivera, J.I.; Acevedo, S.E.; Reyes-Paecke, S.; Bonilla, C.A.; Pastén, P. A Comparative Study of Soil Metal Concentrations in Chilean Urban Parks Using Four Pollution Indexes. Appl. Geochem. 2022, 141, 105230. [Google Scholar] [CrossRef]
- Kowalska, J.B.; Mazurek, R.; Gąsiorek, M.; Zaleski, T. Pollution Indices as Useful Tools for the Comprehensive Evaluation of the Degree of Soil Contamination–A Review. Environ. Geochem. Health 2018, 40, 2395–2420. [Google Scholar] [CrossRef] [PubMed]
- Obiri-Nyarko, F.; Duah, A.A.; Karikari, A.Y.; Agyekum, W.A.; Manu, E.; Tagoe, R. Assessment of Heavy Metal Contamination in Soils at the Kpone Landfill Site, Ghana: Implication for Ecological and Health Risk Assessment. Chemosphere 2021, 282, 131007. [Google Scholar] [CrossRef]
- Xie, Z.Y.; Zhang, Y.J.; Chen, D.Q.; Yang, J.J.; Liang, Y.J. Research on assessment methods for soil heavy metal pollution: A case study of Guangzhou. J. Agro-Environ. Sci. 2016, 35, 1329–1337. [Google Scholar]
- Wu, Q.; Tam, N.F.Y.; Leung, J.Y.S.; Zhou, X.; Fu, J.; Yao, B.; Huang, X.; Xia, L. Ecological Risk and Pollution History of Heavy Metals in Nansha Mangrove, South China. Ecotoxicol. Environ. Saf. 2014, 104, 143–151. [Google Scholar] [CrossRef] [PubMed]
- Wang, Z.; Guo, Y.; Shi, X.L. Assessment of Heavy Metal Pollution in Soil of an Industrial Zone in Guangzhou. Environ. Sci. Technol. 2021, 38, 52–59+74. [Google Scholar]
- Lin, M.; Li, S.; Sun, X.; Yang, S.; Li, J. Heavy Metal Contamination in Green Space Soils of Beijing, China. Acta Agric. Scand. Sect. B. Soil Plant Sci. 2018, 68, 291–300. [Google Scholar] [CrossRef]
- Xie, T.; Wang, M.; Chen, W.; Uwizeyimana, H. Impacts of Urbanization and Landscape Patterns on the Accumulation of Heavy Metals in Soils in Residential Areas in Beijing. J. Soils Sediments 2019, 19, 148–158. [Google Scholar] [CrossRef]
- Wang, M.; Han, Q.; Gui, C.; Cao, J.; Liu, Y.; He, X.; He, Y. Differences in the Risk Assessment of Soil Heavy Metals between Newly Built and Original Parks in Jiaozuo, Henan Province, China. Sci. Total Environ. 2019, 676, 1–10. [Google Scholar] [CrossRef]
- Guan, D.S.; Peart, M.R. Heavy metal concentrations in plants and soils at roadside locations and parks of urban Guangzhou. J. Environ. Sci. 2006, 18, 495–502. [Google Scholar]
- Lv, Y.; Cao, Y.J. Investigation and evaluation of landfill closure soil and plant heavy metals. China Sci. Technol. Overv. 2013, 32, 714–720. [Google Scholar]
- Gu, Y.-G.; Gao, Y.-P.; Lin, Q. Contamination, Bioaccessibility and Human Health Risk of Heavy Metals in Exposed-Lawn Soils from 28 Urban Parks in Southern China’s Largest City, Guangzhou. Appl. Geochem. 2016, 67, 52–58. [Google Scholar] [CrossRef]
- Li, Y.J.; Zhang, K.Y. Character of content and contamination evaluation for heavy metal in the soil of Guangzhou parks. China Gard. Digest. 2012, 28, 43–45. [Google Scholar]
- Mazurek, R.; Kowalska, J.B.; Gąsiorek, M.; Zadrożny, P.; Wieczorek, J. Pollution Indices as Comprehensive Tools for Evaluation of the Accumulation and Provenance of Potentially Toxic Elements in Soils in Ojców National Park. J. Geochem. Explor. 2019, 201, 13–30. [Google Scholar] [CrossRef]
- Santos-Francés, F.; Martínez-Graña, A.; Zarza, C.; Sánchez, A.; Rojo, P. Spatial Distribution of Heavy Metals and the Environmental Quality of Soil in the Northern Plateau of Spain by Geostatistical Methods. Int. J. Environ. Res. Public. Health 2017, 14, 568. [Google Scholar] [CrossRef]
- Pejman, A.; Nabi Bidhendi, G.; Ardestani, M.; Saeedi, M.; Baghvand, A. A New Index for Assessing Heavy Metals Contamination in Sediments: A Case Study. Ecol. Indic. 2015, 58, 365–373. [Google Scholar] [CrossRef]
- Kowalska, J.; Mazurek, R.; Gąsiorek, M.; Setlak, M.; Zaleski, T.; Waroszewski, J. Soil Pollution Indices Conditioned by Medieval Metallurgical Activity—A Case Study from Krakow (Poland). Environ. Pollut. 2016, 218, 1023–1036. [Google Scholar] [CrossRef]
- Müller, G. Index of geoaccumulation in sediments of the Rhine River. GeoJournal 1969, 2, 108–118. [Google Scholar]
- Förstner, U.; Ahlf, W.; Calmano, W.; Kersten, M. Sediment criteria development. In Sediments and Environmental Geochemistry; Heling, D., Rothe, P., Förstner, U., Stoffers, P., Eds.; Springer: Berlin/Heidelberg, Germany, 1990; pp. 311–338. ISBN 978-3-642-75099-1. [Google Scholar]
- Ghrefat, H.A.; Abu-Rukah, Y.; Rosen, M.A. Application of Geoaccumulation Index and Enrichment Factor for Assessing Metal Contamination in the Sediments of Kafrain Dam, Jordan. Environ. Monit. Assess. 2011, 178, 95–109. [Google Scholar] [CrossRef]
- Martínez, L.L.G.; Poleto, C. Assessment of Diffuse Pollution Associated with Metals in Urban Sediments Using the Geoaccumulation Index (Igeo). J. Soils Sediments 2014, 14, 1251–1257. [Google Scholar] [CrossRef]
- Hakanson, L. An Ecological Risk Index for Aquatic Pollution Control.a Sedimentological Approach. Water Res. 1980, 14, 975–1001. [Google Scholar] [CrossRef]
- Abrahim, G.M.S.; Parker, R.J. Assessment of Heavy Metal Enrichment Factors and the Degree of Contamination in Marine Sediments from Tamaki Estuary, Auckland, New Zealand. Environ. Monit. Assess. 2007, 136, 227–238. [Google Scholar] [CrossRef] [PubMed]
- Long, E.R.; Macdonald, D.D.; Smith, S.L.; Calder, F.D. Incidence of Adverse Biological Effects within Ranges of Chemical Concentrations in Marine and Estuarine Sediments. Environ. Manag. 1995, 19, 81–97. [Google Scholar] [CrossRef]
- Xu, Z.Q.; Ni, S.J.; Tuo, X.G.; Zhang, C.J. Calculation of heavy metals’ toxicity coefficient in the evaluation of potential ecological risk index. Environ. Sci. Technol. 2008, 31, 112–115. [Google Scholar]
- China National Environmental Monitoring Centre. The Background Values of Soil Elements in China; China Environmental Science Press: Beijing, China, 1990. [Google Scholar]
- Liu, Y.; Hu, L.S.; Zhang, C.X.; Xie, M.Y.; Xie, X.M.; Huang, C.S. Spatial Distribution and Risk Assessment of Heavy Metals in Contaminated Soil in Guangzhou. J. Wuhan Inst. Technol. 2018, 40, 127–131. [Google Scholar]






| Index | Description and Aim of Use | Formula | Classifications of Contamination Situation |
|---|---|---|---|
| Geoaccumulation index (Igeo) | Igeo determines metal contamination in soil with respect to natural background level as a reference [80]. Classification criteria according to Förstner et al. [81]. | —measured heavy metal content, —background value of heavy metal content, —the petrogenesis effect, usually set to 1.5 [82,83] | ≤0: unpolluted; 0–1: slightly polluted; 1–2: moderately polluted; 2–3: moderately to highly polluted; 3–4: highly polluted; 4–5: seriously polluted; ≥5: extremely seriously polluted. |
| Improved Nemerow index (IMN) | IMN allows the assessment of the overall degree of soil pollution and includes the contents of all analyzed elements. The contamination factor is substituted by the Igeo [76,77]. | —the maximum value of the Igeo of all metals in a sample, —the arithmetic mean of the Igeo of all metals in a sample | <0.5: uncontaminated; 0.5–1: slightly contaminated; 1–2: moderately contaminated; 2–3: moderately to heavily contaminated; 3–4: heavily contaminated; 4–5: heavily to extremely contaminated; ≥5: extremely contaminated. |
| Degree of contamination (mCd) | mCd assesses the degree of contamination in soil [84,85]. | —measured heavy metal content, —background value of heavy metal content | <1.5: nil to very low degree of contamination; 1.5–2: low degree of contamination; 2–4: moderate degree of contamination; 4–8: high degree of contamination; 8–16: very high degree of contamination; 16–32: extremely high degree of contamination; ≥32: ultra-high degree of contamination. |
| Contamination security index (CSI) | CSI, introduced by Pejman et al. [78], is informative about the heavy metal pollution intensity in soil. | —weight for each heavy metal, calculated according to Pejman et al. [78], —measured heavy metal content, effects range low , and effects range median , given by Long et al. [86] | <0.5: uncontaminated; 0.5–1.5: low severity of contamination; 1.5–2.5: moderate severity of contamination; 2.5–3: moderate to high severity of contamination; 3–4: high severity of contamination; 4–5: very high severity of contamination; ≥5: ultra-high severity of contamination. |
| RI Values | Risk Intensity | |
|---|---|---|
| <40 | <150 | Low ecological risk |
| 40–80 | 150–300 | Moderate ecological risk |
| 80–160 | 300–600 | Considerable ecological risk |
| 160–320 | 600–1200 | High ecological risk |
| ≥320 | ≥1200 | Very high ecological risk |
| Area | Cu | Zn | Ni | Pb | Cr | As | Cd | Hg | |
|---|---|---|---|---|---|---|---|---|---|
| City parks | Min | 8.2 | 18.0 | 6.4 | 22.2 | 13.0 | 6.3 | 0.012 | 0.006 |
| Max | 240.0 | 3660.0 | 65.1 | 564.0 | 145.0 | 305.0 | 15.800 | 11.950 | |
| Ave | 44.0 | 203.0 | 19.9 | 105.0 | 51.7 | 34.7 | 0.599 | 0.804 | |
| Std. | 32.0 | 351.7 | 9.2 | 77.1 | 18.1 | 35.7 | 1.502 | 1.329 | |
| CV (%) | 73.0 | 173.2 | 46.4 | 73.4 | 35.0 | 103.2 | 251.8 | 165.4 | |
| Landfill | Min | 8.3 | 13.0 | 4.8 | 14.8 | 12.0 | 5.3 | 0.010 | 0.006 |
| Max | 160.0 | 268.0 | 127.5 | 5420.0 | 145.0 | 604.0 | 3.150 | 0.217 | |
| Ave | 24.4 | 83.2 | 19.3 | 177.7 | 44.6 | 56.4 | 0.310 | 0.105 | |
| Std. | 28.2 | 55.4 | 22.8 | 839.6 | 27.6 | 109.2 | 0.515 | 0.059 | |
| CV (%) | 115.6 | 66.6 | 118.4 | 472.5 | 61.9 | 193.8 | 165.8 | 59.2 | |
| Industrial area | Min | 9.6 | 56.0 | 8.0 | 46.0 | 21.0 | 5.1 | 0.101 | 0.043 |
| Max | 2365.0 | 5640.0 | 136.8 | 942.0 | 1120.0 | 78.5 | 17.650 | 1.570 | |
| Ave | 170.4 | 601.1 | 30.8 | 204.6 | 107.0 | 19.3 | 1.415 | 0.353 | |
| Std. | 407.2 | 1080.6 | 28.9 | 200.4 | 162.2 | 14.0 | 2.452 | 0.312 | |
| CV (%) | 239.0 | 179.8 | 93.7 | 97.9 | 151.6 | 72.5 | 173.3 | 88.5 | |
| Background value of surface soil (A horizon) in Guangdong) * | 17.0 | 47.3 | 14.4 | 36.0 | 50.5 | 8.9 | 0.056 | 0.078 | |
Publisher’s Note: MDPI stays neutral with regard to jurisdictional claims in published maps and institutional affiliations. |
© 2022 by the authors. Licensee MDPI, Basel, Switzerland. This article is an open access article distributed under the terms and conditions of the Creative Commons Attribution (CC BY) license (https://creativecommons.org/licenses/by/4.0/).
Share and Cite
Zhou, H.; Ouyang, T.; Guo, Y.; Peng, S.; He, C.; Zhu, Z. Assessment of Soil Heavy Metal Pollution and Its Ecological Risk for City Parks, Vicinity of a Landfill, and an Industrial Area within Guangzhou, South China. Appl. Sci. 2022, 12, 9345. https://doi.org/10.3390/app12189345
Zhou H, Ouyang T, Guo Y, Peng S, He C, Zhu Z. Assessment of Soil Heavy Metal Pollution and Its Ecological Risk for City Parks, Vicinity of a Landfill, and an Industrial Area within Guangzhou, South China. Applied Sciences. 2022; 12(18):9345. https://doi.org/10.3390/app12189345
Chicago/Turabian StyleZhou, Huimin, Tingping Ouyang, Yu Guo, Shasha Peng, Chenjian He, and Zhaoyu Zhu. 2022. "Assessment of Soil Heavy Metal Pollution and Its Ecological Risk for City Parks, Vicinity of a Landfill, and an Industrial Area within Guangzhou, South China" Applied Sciences 12, no. 18: 9345. https://doi.org/10.3390/app12189345
APA StyleZhou, H., Ouyang, T., Guo, Y., Peng, S., He, C., & Zhu, Z. (2022). Assessment of Soil Heavy Metal Pollution and Its Ecological Risk for City Parks, Vicinity of a Landfill, and an Industrial Area within Guangzhou, South China. Applied Sciences, 12(18), 9345. https://doi.org/10.3390/app12189345

