Implementation of Deep Learning Algorithm on a Custom Dataset for Advanced Driver Assistance Systems Applications
Abstract
:1. Introduction
2. Literature Review
3. Technical Overview
3.1. The Evolution of the ADAS System
- Level 0—No Automation: The system performs no automation (control task) but only provides information on onboard or external parameters measured by the vehicle to the driver for his information or warning. This system includes the surround view parking assistance system which uses traditional ultrasonic sensors combined with a camera to provide the driver with a video stream where vehicle lines, curbs, walls, and obstructions are superimposed and highlighted on the video stream to assist the driver. The traffic sign recognition system assists drivers by identifying and providing information on current road rules posted on traffic signs. The system uses the camera video feed from the windshield as input. With the help of computer vision-based text recognition and object detection, deep learning algorithms recognize the information on the signs and provide information and warnings to the driver. A few common applications belonging to Level 0 are:
- -
- Lane Departure Warning: This provides an audio and/or visual warning to the driver if the vehicle is accidentally deviating from the current lane. It is implemented with the help of a forward-facing camera.
- -
- Night Vision: helps the driver with better visibility of the road in low light and dark conditions by using a camera feed and an IR illuminator.
- -
- Blind Spot Detection: provides a visual and optionally auditory warning about obstacles present in the driver’s rear-view blind spot using two short-range radars, which are fixed in the rear corners of the vehicle.
- -
- Forward Collision Warning: makes use of a combination of mid-range RADAR as well as a front-facing camera to provide the driver with audio and visual warnings about an obstacle ahead that may collide with the vehicle.
- Level 1—Driver Assistance: these systems assist the driver in performing the driver’s tasks by controlling a single specific driving function, but they leave the driver in complete control of the vehicle and require them to be alert at all times.
- Level 2—Partial Automation: it is similar to level 1 systems but provides additional automation in the form of combined automated intervention of various level 1 systems but requires the driver to be alert all the time.
- Level 3—Conditional Automation: these systems do not require the driver to be alert all the time, but the driver should be ready to take control of the vehicle at any time if the system determines that it cannot handle the situation and alerts the driver.
- Level 4—High Automation: This system is an extension of Level 3 automation, where the system can handle unknown situations based on its decision-making intelligence without the driver’s intervention. It may still require a limited amount of driver intervention in certain conditions.
- Level 5—Full Automation: This level of automation is a scenario where the driver’s intervention is never required for all scenarios. The system is fail-safe and fail-operational, i.e., it has the ability to handle unknown scenarios without the driver’s intervention. The driver may still control the vehicle manually voluntarily (Galvani 2019).
3.2. Technical Overview of Artificial Intelligence
3.2.1. YOLOv3
3.2.2. YOLOv5
4. Materials and Methods
4.1. Dataset Generation
4.2. Model Training
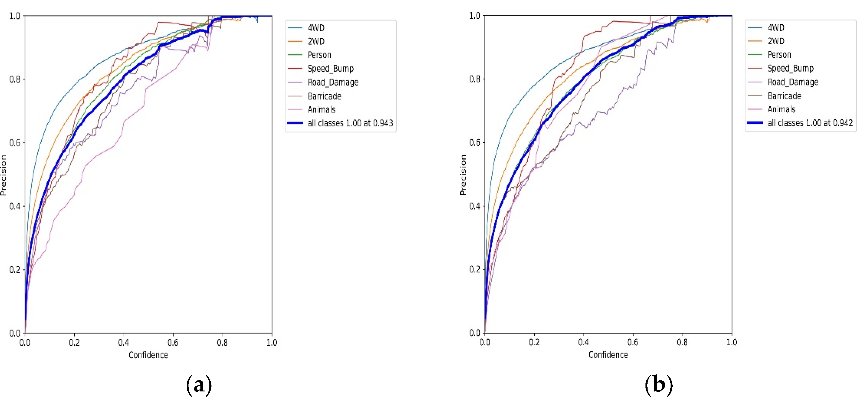
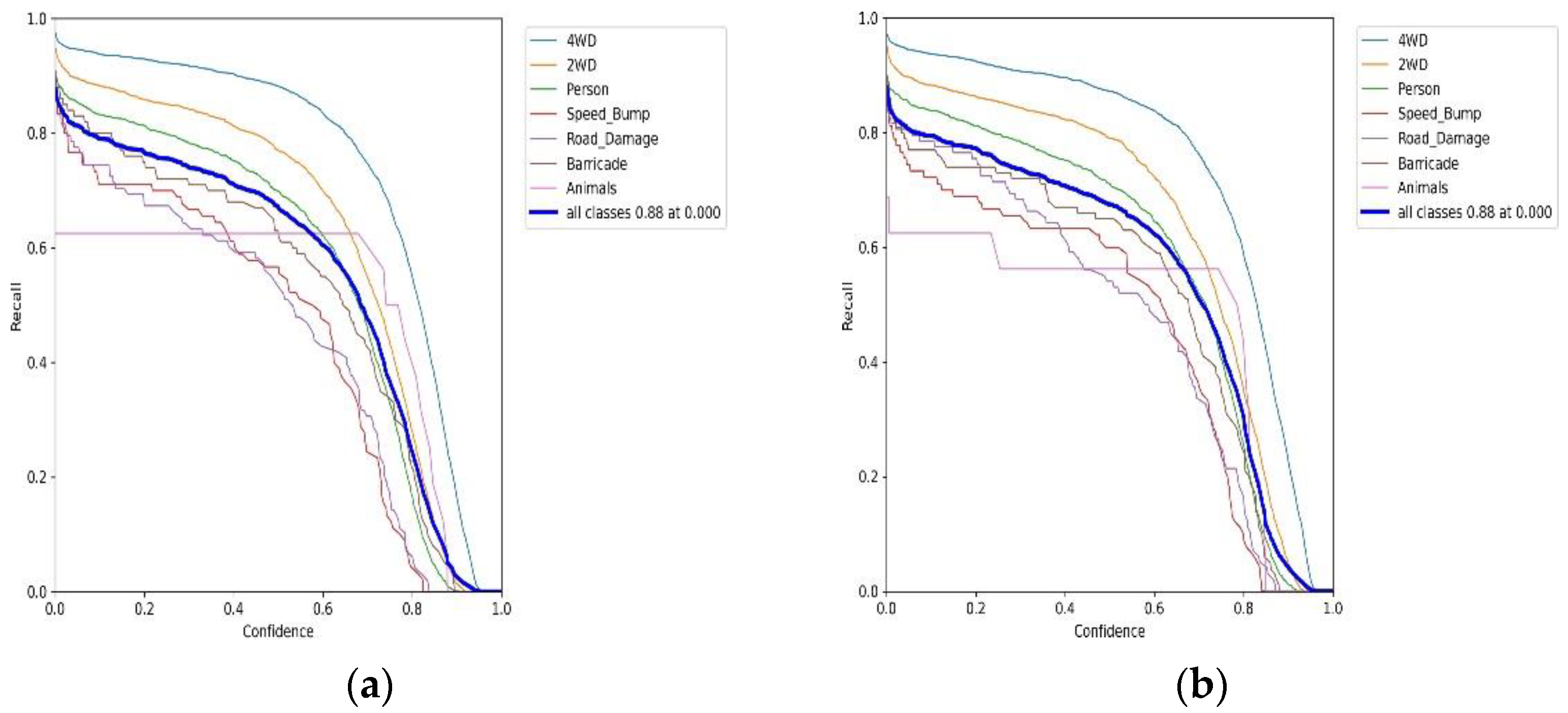
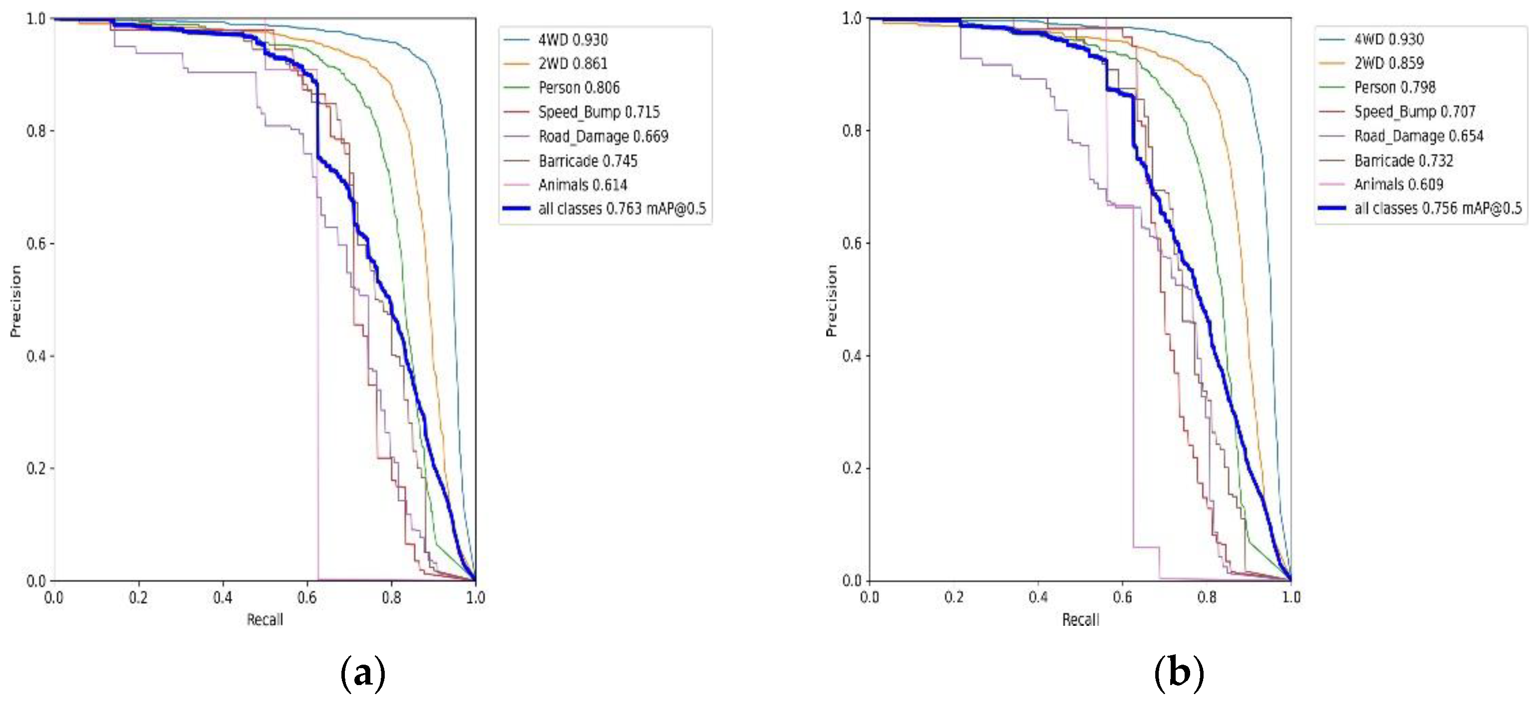
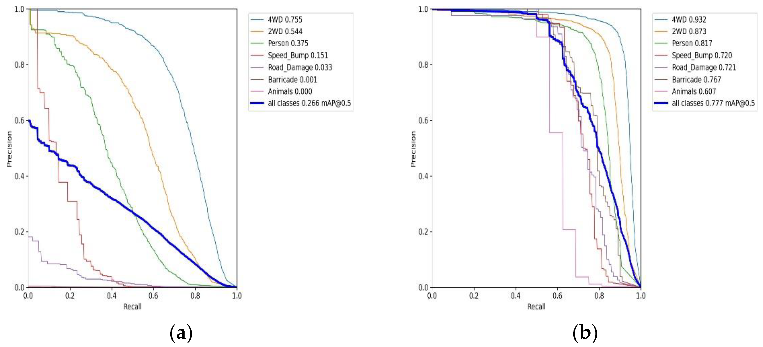
4.3. Model Testing
4.4. Mobile Application
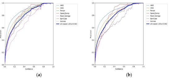
5. Performance Comparison
6. Conclusions
Author Contributions
Funding
Institutional Review Board Statement
Informed Consent Statement
Data Availability Statement
Conflicts of Interest
References
- Accidental Deaths and Suicides in India. Available online: https://ncrb.gov.in/en/accidental-deaths-suicides-in-india (accessed on 20 December 2019).
- Papis, M.; Dziewon’ski, T.; Matyjewski, M. Preliminary assessment of the advanced driver assistance systems efficiency from the safety point of view. Autobusy Tech. Eksploat. Syst. Transp. 2017, 371, 37518. [Google Scholar]
- Khan, A.; Harper, C.D.; Hendrickson, C.T.; Samaras, C. Net-societal and net-private benefits of some existing vehicle crash avoidance technologies. Accid. Anal. Prev. 2019, 125, 207–216. [Google Scholar] [CrossRef]
- Spicer, R.; Vahabaghaie, A.; Bahouth, G.; Drees, L.; Martinez von Bülow, R.; Baur, P. Field effectiveness evaluation of advanced driver assistance systems. Traffic Inj. Prev. 2018, 19, S91–S95. [Google Scholar] [CrossRef] [PubMed]
- Thompson, J.P.; Mackenzie, J.R.; Dutschke, J.K.; Baldock, M.R.; Raftery, S.J.; Wall, J. A trial of retrofitted advisory collision avoidance technology in government fleet vehicles. Accid. Anal. Prev. 2018, 115, 34–40. [Google Scholar] [CrossRef] [PubMed]
- Oviedo-Trespalacios, O.; Tichon, J.; Briant, O. Is a flick-through enough? A content analysis of Advanced Driver Assistance Systems (ADAS) user manuals. PLoS ONE 2021, 16, e0252688. [Google Scholar] [CrossRef] [PubMed]
- Galvani, M. History and future of driver assistance. IEEE Instrum. Meas. Mag. 2019, 22, 11–16. [Google Scholar] [CrossRef]
- Benjdira, B.; Khursheed, T.; Koubaa, A.; Ammar, A.; Ouni, K. Car detection using unmanned aerial vehicles: Comparison between faster r-cnn and yolov3. In Proceedings of the 2019 1st International Conference on Unmanned Vehicle Systems-Oman (UVS), Muscat, Oman, 5–7 February 2019; IEEE: Washington, DC, USA, 2019; pp. 1–6. [Google Scholar]
- Al-qaness, M.A.; Abbasi, A.A.; Fan, H.; Ibrahim, R.A.; Alsamhi, S.H.; Hawbani, A. An improved YOLO-based road traffic monitoring system. Computing 2021, 103, 211–230. [Google Scholar] [CrossRef]
- Babayan, P.V.; Ershov, M.D.; Erokhin, D.Y. Neural network-based vehicle and pedestrian detection for video analysis system. In Proceedings of the 2019 8th Mediterranean Conference on Embedded Computing (MECO), Budva, Montenegro, 10–14 June 2019; IEEE: Washington, DC, USA, 2019; pp. 1–5. [Google Scholar]
- Byeon, Y.H.; Kwak, K.C. A performance comparison of pedestrian detection using faster RCNN and ACF. In Proceedings of the 2017 6th IIAI International Congress on Advanced Applied Informatics (IIAI-AAI), Hamamatsu, Japan, 9–13 July 2017; IEEE: Washington, DC, USA, 2017; pp. 858–863. [Google Scholar]
- Rahman, R.; Bin Azad, Z.; Bakhtiar Hasan, M. Densely-Populated Traffic Detection Using YOLOv5 and Non-maximum Suppression Ensembling. In Proceedings of the International Conference on Big Data, IoT, and Machine Learning; Springer: Berlin/Heidelberg, Germany, 2022; pp. 567–578. [Google Scholar]
- Nepal, U.; Eslamiat, H. Comparing YOLOv3, YOLOv4 and YOLOv5 for Autonomous Landing Spot Detection in Faulty UAVs. Sensors 2022, 22, 464. [Google Scholar] [CrossRef] [PubMed]
- Redmon, J.; Divvala, S.; Girshick, R.; Farhadi, A. You only look once: Unified, real-time object detection. In Proceedings of the IEEE Conference on Computer Vision and Pattern Recognition, Las Vegas, NV, USA, 27–30 June 2016; pp. 779–788. [Google Scholar]
- Redmon, J.; Farhadi, A. Yolov3: An incremental improvement. arXiv 2018, arXiv:1804.02767. [Google Scholar]
- Zhu, X.; Lyu, S.; Wang, X.; Zhao, Q. TPH-YOLOv5: Improved YOLOv5 based on transformer prediction head for object detection on drone-captured scenarios. In Proceedings of the IEEE/CVF International Conference on Computer Vision, Montreal, QC, Canada, 10–17 October 2021; pp. 2778–2788. [Google Scholar]
- Skalski, P. Make Sense. Available online: https://github.com/SkalskiP/make-sense/ (accessed on 20 December 2019).
- Olivas, E.S.; Guerrero, J.D.M.; Martinez-Sober, M.; Magdalena-Benedito, J.R.; Serrano, L. (Eds.) Handbook of Research on Machine Learning Applications and Trends: Algorithms, Methods, and Techniques: Algorithms, Methods, and Techniques; IGI Global: Hershey, PA, USA, 2009. [Google Scholar]
- Padilla, R.; Netto, S.L.; Da Silva, E.A. A survey on performance metrics for object-detection algorithms. In Proceedings of the 2020 International Conference on Systems, Signals and Image Processing (IWSSIP), Niteroi, Brazil, 1–3 July 2020; IEEE: Washington, DC, USA, 2020; pp. 237–242. [Google Scholar]
- Ao, D.; Li, J. Subjective assessment for an advanced driver assistance system: A case study in China. J. Intell. Connect. Veh. 2022, 5, 112–122. [Google Scholar] [CrossRef]





















| Sno Citation | F1-Score | mAP (>0.5) |
|---|---|---|
| 1 Benjdira et al., 2019 | 99.94% | N/A |
| 2 Al-qaness et al., 2021 | N/A | 88% |
| 3 Nepal and Eslamiat 2022 | 65.5% | 63.3% |
| 4 Babayan et al., 2019 | N/A | 88.3% |
| 5 Byeon and Kwak 2017 | 24.24% | N/A |
| 6 Rahman et al., 2022 | N/A | 45.8% |
| 7 Proposed Work | 76.32% | 75.55% |
Publisher’s Note: MDPI stays neutral with regard to jurisdictional claims in published maps and institutional affiliations. |
© 2022 by the authors. Licensee MDPI, Basel, Switzerland. This article is an open access article distributed under the terms and conditions of the Creative Commons Attribution (CC BY) license (https://creativecommons.org/licenses/by/4.0/).
Share and Cite
Neelam Jaikishore, C.; Podaturpet Arunkumar, G.; Jagannathan Srinath, A.; Vamsi, H.; Srinivasan, K.; Ramesh, R.K.; Jayaraman, K.; Ramachandran, P. Implementation of Deep Learning Algorithm on a Custom Dataset for Advanced Driver Assistance Systems Applications. Appl. Sci. 2022, 12, 8927. https://doi.org/10.3390/app12188927
Neelam Jaikishore C, Podaturpet Arunkumar G, Jagannathan Srinath A, Vamsi H, Srinivasan K, Ramesh RK, Jayaraman K, Ramachandran P. Implementation of Deep Learning Algorithm on a Custom Dataset for Advanced Driver Assistance Systems Applications. Applied Sciences. 2022; 12(18):8927. https://doi.org/10.3390/app12188927
Chicago/Turabian StyleNeelam Jaikishore, Chathura, Gautam Podaturpet Arunkumar, Ajitesh Jagannathan Srinath, Harikrishnan Vamsi, Kirtaan Srinivasan, Rishabh Karthik Ramesh, Kathirvelan Jayaraman, and Prakash Ramachandran. 2022. "Implementation of Deep Learning Algorithm on a Custom Dataset for Advanced Driver Assistance Systems Applications" Applied Sciences 12, no. 18: 8927. https://doi.org/10.3390/app12188927
APA StyleNeelam Jaikishore, C., Podaturpet Arunkumar, G., Jagannathan Srinath, A., Vamsi, H., Srinivasan, K., Ramesh, R. K., Jayaraman, K., & Ramachandran, P. (2022). Implementation of Deep Learning Algorithm on a Custom Dataset for Advanced Driver Assistance Systems Applications. Applied Sciences, 12(18), 8927. https://doi.org/10.3390/app12188927

