Experimental Study on Strength of Polypropylene Fiber Reinforced Cemented Silt Soil
Abstract
1. Introduction
2. Sample Preparation and Test Scheme of Unconfined Compressive Strength
2.1. Preparation of Test Samples
2.2. Test Method
2.3. Analysis of Test Scheme
3. Analysis of Unconfined Compressive Strength and Unconsolidated Undrained Test Result
3.1. Analysis of Unconfined Compressive Strength Results of Fiber Cement Soil
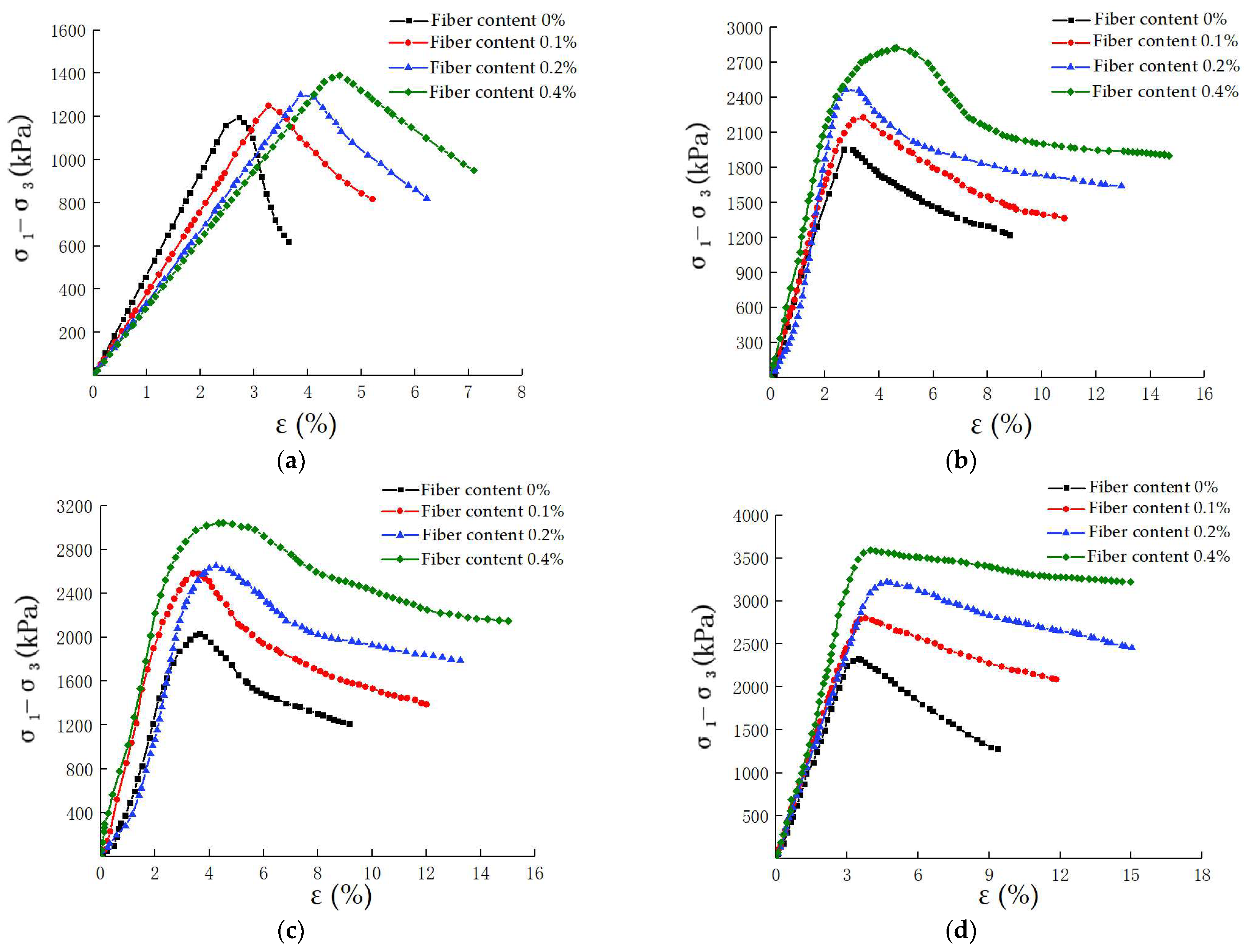
3.2. Effect of Fiber Content and Confining Pressure on Axial Strain—Deviatoric Stress Relationship of Cement Stabilized Soil
3.3. Effect of Polypropylene Fiber Content on Internal Friction Angle and Cohesion
3.4. Stress–Strain Curve Fitting of Fiber Cement Soil with Different Curve Equations
3.4.1. Fitting Curve of Fiber Cement Soil under Uniaxial Compression
- When x = 0, y = 0; when x = 1, y = 1 and dy/dx = 0;
- When x ∈ [0, 1), the first derivative dy/dx of the ascending segment of the curve monotonically decreased and there was no inflection point;
- When x → +∞, y → 0, the value range of y was [0, 1];
- d2y/dx2 = 0, x > 1, and there was an inflection point.
3.4.2. Fitting Curve of Fiber Cement Soil under Confining Pressure
- (1).
- The curve was hyperbolic, and the slope increased with the increase in the confining pressure;
- (2).
- In the hardening stage before reaching the peak, the stress velocity gradually slowed down after reaching the peak.
4. Study on Macro and Micro Mechanism of Polypropylene Fiber Improving Cement-Soil Strength
4.1. Failure Mode of Fiber Cement Soil under Macroscopic Condition
4.2. Failure Mode of Fiber Cement Soil under Micro-State
5. Conclusions
- Through range analysis, the UCS influencing factors of fiber cement soil from high to low were: cement dosage, fiber content, and fiber length; through the orthogonal test, the ratio of the maximum UCS of fiber cement soil was obtained as follows: the cement dosage was 18%, the fiber content was 0.4%, and the fiber length was 3 mm. The UCS could reach 1.63 MPa, which was 4.8 times that of the sample without fiber and the cement dosage was 9%.
- When the cement dosage was 15%, the failure mode of cement solidified soil without fiber was brittle failure, and when cement dosage was 15%, fiber length was 9 mm, the failure mode of cement solidified soil with fiber was plastic failure.
- The UU test showed that when the cement dosage was 15% and the fiber length was 9 mm, with the increase in the fiber content, not only the peak stress and failure strain of fiber-cured soil were improved, but also the cohesion and internal friction angle were gradually increased.
- The stress-strain curves of fiber cement soil and concrete under uniaxial compression were similar, and the equation was established and fitted by using the relative stress-relative strain relationship. The fiber cement soil under confining pressure was established by hyperbolic function and was fitted by Kondner hyperbolic curve.
- The failure mode of fiber cement soil showed that when the cement dosage was 15% and the fiber length was 9 mm, with the increase in the fiber content, the cracks in the failure of cement soil were gradually reduced, indicating that fiber can effectively improve the strength and deformation of cement soil.
Author Contributions
Funding
Institutional Review Board Statement
Informed Consent Statement
Data Availability Statement
Conflicts of Interest
References
- Chao, W.; Chen, Y. Analysis of sliding failure mechanism and treatment for taihua a highway embankment slope over soft soils. Chin. J. Rock Mech. Eng. 2007, 7, 1504–1510. [Google Scholar]
- Zhang, W.; Lin, D.; Chen, Y.; Zhou, M. Stability analysis of filled embankment laid on soft subsoil compacted with sand-stone pile. Railw. Eng. 2007, 11, 46–49. [Google Scholar]
- Wu, H. Research of the Settlement Prediction on the Soft Soil Foundation in Yantai Region; Tianjin University: Tianjin, China, 2015. [Google Scholar]
- Ng, K.S. Tensile Behavior of Fiber Reinforced Cemented Soil: A Short Review. In Proceedings of the Advances in Civil Engineering and Science Technology; Goh, L.D., Ng, K.S., Hassan, S.H., Woo, Y.P., Basri, M.H.H., Hamid, M.S.A., Eds.; American Institute of Physics: Melville, NY, USA, 2018; Volume 2020, p. 020001. [Google Scholar]
- Sadat Ali Khan, Z.A.; Afiya, A. Performance of FRC Produced with Mineral Admixtures and Waste Plastic Fibers Under Sulfate Attack. IJITEE 2019, 8, 1101–1107. [Google Scholar] [CrossRef]
- Venkateswararao, T.; Prasad, R.R.; Prasad, D.S.; Ram, D.A. Utilization of Fiber Reinforcement Materials in Flexible Pavement Construction. IJITEE 2019, 8, 160–165. [Google Scholar] [CrossRef]
- Fatahi, B.; Khabbaz, H.; Fatahi, B. Mechanical Characteristics of Soft Clay Treated with Fibre and Cement. Geosynth. Int. 2012, 19, 252–262. [Google Scholar] [CrossRef]
- Zhou, N.; Ouyang, S.; Cheng, Q.; Ju, F. Experimental Study on Mechanical Behavior of a New Backfilling Material: Cement-Treated Marine Clay. Adv. Mater. Sci. Eng. 2019, 2019, 1261694. [Google Scholar] [CrossRef]
- Anggraini, V.; Asadi, A.; Huat, B.B.K.; Nahazanan, H. Effects of Coir Fibers on Tensile and Compressive Strength of Lime Treated Soft Soil. Measurement 2015, 59, 372–381. [Google Scholar] [CrossRef]
- Correia, A.A.S.; Venda Oliveira, P.J.; Custódio, D.G. Effect of Polypropylene Fibres on the Compressive and Tensile Strength of a Soft Soil, Artificially Stabilised with Binders. Geotext. Geomembr. 2015, 43, 97–106. [Google Scholar] [CrossRef]
- Kumar, A.; Gupta, D. Behavior of Cement-Stabilized Fiber-Reinforced Pond Ash, Rice Husk Ash-Soil Mixtures. Geotext. Geomembr. 2016, 44, 466–474. [Google Scholar] [CrossRef]
- Cheng, Q.; Zhang, J.; Zhou, N.; Guo, Y.; Pan, S. Experimental Study on Unconfined Compression Strength of Polypropylene Fiber Reinforced Composite Cemented Clay. Crystals 2020, 10, 247. [Google Scholar] [CrossRef]
- Jayalin, D.; Vellingiri, N.; Raman, S.J. Experimental Research on Durability Properties of High Volume Fly Ash Concrete with Polypropylene Fibre. IJITEE 2019, 8, 1039–1042. [Google Scholar] [CrossRef]
- Liu, J.; Hou, T.; Luo, Y.; Cui, Y. Experimental Study on Unconsolidated Undrained Shear Strength Characteristics of Synthetic Cotton Fiber Reinforced Soil. Geotech. Geol. Eng. 2020, 38, 1773–1783. [Google Scholar] [CrossRef]
- Liu, C.; Lv, Y.; Yu, X.; Wu, X. Effects of Freeze-Thaw Cycles on the Unconfined Compressive Strength of Straw Fiber-Reinforced Soil. Geotext. Geomembr. 2020, 48, 581–590. [Google Scholar] [CrossRef]
- Wu, Y.; Li, Y.; Niu, B. Assessment of the Mechanical Properties of Sisal Fiber-Reinforced Silty Clay Using Triaxial Shear Tests. Sci. World J. 2014, 2014, 436231. [Google Scholar] [CrossRef][Green Version]
- Madhavi Latha, G.; Nandhi Varman, A.M. Static and Cyclic Load Response of Reinforced Sand through Large Triaxial Tests. JGS Spec. Publ. 2016, 2, 2342–2346. [Google Scholar] [CrossRef]
- Abdi, M.R.; Arjomand, M.A. Pullout Tests Conducted on Clay Reinforced with Geogrid Encapsulated in Thin Layers of Sand. Geotext. Geomembr. 2011, 29, 588–595. [Google Scholar] [CrossRef]
- Chen, X.; Zhang, J.; Li, Z. Shear Behaviour of a Geogrid-Reinforced Coarse-Grained Soil Based on Large-Scale Triaxial Tests—ScienceDirect. Geotext. Geomembr. 2014, 42, 312–328. [Google Scholar] [CrossRef]
- Tang, C.; Shi, B.; Gao, W.; Chen, F.; Cai, Y. Strength and Mechanical Behavior of Short Polypropylene Fiber Reinforced and Cement Stabilized Clayey Soil. Geotext. Geomembr. 2007, 25, 194–202. [Google Scholar] [CrossRef]
- Li, L.; Zhang, J.; Xiao, H.; Hu, Z.; Wang, Z. Experimental Investigation of Mechanical Behaviors of Fiber-Reinforced Fly Ash-Soil Mixture. Adv. Mater. Sci. Eng. 2019, 2019, 1050536. [Google Scholar] [CrossRef]
- Tang, C.-S.; Shi, B.; Cui, Y.-J.; Liu, C.; Gu, K. Desiccation Cracking Behavior of Polypropylene Fiber-Reinforced Clayey Soil. Can. Geotech. J. 2012, 49, 1088–1101. [Google Scholar] [CrossRef]
- Liu, Y.; Zhou, J.; Wu, D.; Kang, T.; Liu, A. Bond Behavior of Recycled Fiber Recycled Concrete with Reinforcement after Freeze-Thaw Cycles. Crystals 2021, 11, 1506. [Google Scholar] [CrossRef]
- Jamsawang, P.; Voottipruex, P.; Horpibulsuk, S. Flexural Strength Characteristics of Compacted Cement-Polypropylene Fiber Sand. J. Mater. Civ. Eng. 2015, 27, 04014243. [Google Scholar] [CrossRef]
- Sukontasukkul, P.; Jamsawang, P. Use of Steel and Polypropylene Fibers to Improve Flexural Performance of Deep Soil–Cement Column. Constr. Build. Mater. 2012, 29, 201–205. [Google Scholar] [CrossRef]
- Cristelo, N.; Cunha, V.M.C.F.; Topa Gomes, A.; Araújo, N.; Miranda, T.; de Lurdes Lopes, M. Influence of Fibre Reinforcement on the Post-Cracking Behaviour of a Cement-Stabilised Sandy-Clay Subjected to Indirect Tensile Stress. Constr. Build. Mater. 2017, 138, 163–173. [Google Scholar] [CrossRef]
- Ekinci, A.; Abki, A.; Mirzababaei, M. Parameters Controlling Strength, Stiffness and Durability of a Fibre-Reinforced Clay. Int. J. Geosynth. Ground Eng. 2022, 8, 6. [Google Scholar] [CrossRef]
- Liu, Y.; Pang, J.; Chen, Q.; Yao, W. Study on Mechanical Properties and Pore Structure of Hybrid Fiber Reinforced Rubber Concrete. Crystals 2021, 11, 1307. [Google Scholar] [CrossRef]
- Gao, L.; Hu, G.; Xu, N.; Fu, J.; Xiang, C.; Yang, C. Experimental Study on Unconfined Compressive Strength of Basalt Fiber Reinforced Clay Soil. Adv. Mater. Sci. Eng. 2015, 2015, 561293. [Google Scholar] [CrossRef]
- Rui-min, C.; Wen-bin, J.; Xiao-fang, Z.; Ze-hua, F. Experimental study on performance of sludge stabilized by CSFG-FR synergy. Rock Soil Mech. 2022, 43, 1020–1030. [Google Scholar] [CrossRef]
- Wang, H.; Liu, C. Effect of Fiber Content on Mechanical Properties of Microbial Solidified Marine Sand. Journal of Yantai Uni-versity (Natural Science and Engineering Edition). Available online: https://kns.cnki.net/kcms/detail/detail.aspx?dbcode=CAPJ&dbname=CAPJLAST&filename=YTSZ20220601001&uniplatform=NZKPT&v=n_uNnZJCz_IRjCeIFvAzjz2umj82ANvD4lzBX5NPuHaUWCo6L9drJbyVWMDI4BxL (accessed on 12 July 2022).
- Ma, K.; Liu, j.; Jiang, C.; Ma, X.; Huang, L.; He, C.; Qi, C. Compressive and tensile strength of polymer-based fiber composite sand. J. Cent. South Univ. 2022, 29, 528–545. [Google Scholar] [CrossRef]
- Wang, Z.; Deng, J.; Mei, L.; Wang, B. Experimental study on static characteristics of cement-solidified dredged soil reinforced by polyvinyl alcohol fiber. J. Jiangsu Univ. Sci. Technol. 2021, 35, 104–108. [Google Scholar]
- Wang, Y.; Zhou, M.; Xiang, Y.; Dong, Y.; Hou, H. Effect of Adding Coconut Fiber on Moisture Loss and Cracking Properties of Bottom Ash Based Geopolymer-Soil Solidified Blocks; Environmental Engineering: Beijing, China, 2020; pp. 1–11. Available online: http://kns.cnki.net/kcms/detail/11.2097.X.20220524.2026.010.html (accessed on 24 June 2022).
- Hao, J.; Zhang, H.; Li, G.; Liu, Z.; Huang, J.; Jiang, Z. Strength and cracking characteristics of expansive soil improved by fly ash and sisal fiber. J. Railw. Sci. Eng. 2022, 1–9. [Google Scholar] [CrossRef]
- Siswanto, J.; Latifah, K.; Supriyadi, B.; Rochim, A.; Alzami, F. The Relation of Compressive Strength and Tensile Strength of Bamboo Fibber for Soil Stabilization. J. Phys. Conf. Ser. 2020, 1517, 012075. [Google Scholar] [CrossRef]
- Jiang, P.; Chen, Y.; Li, N.; Zhou, L.; Pu, S.; Wang, W. Strength Properties and Microscopic Mechanism of Lime and Fly Ash Modified Expandable Poly Styrene Lightweight Soil Reinforced by Polypropylene Fiber. Case Stud. Constr. Mater. 2022, 17, e01250. [Google Scholar] [CrossRef]
- Li, Y.; Thielemans, W.; Yuan, Q.; Li, J. PVA Fiber Reinforced Cement Composites with Calcined Cutter Soil Mixing Residue as a Partial Cement Replacement. Constr. Build. Mater. 2022, 326, 126924. [Google Scholar] [CrossRef]
- Shen, Y.; Tang, Y.; Yin, J.; Li, M.; Wen, T. An Experimental Investigation on Strength Characteristics of Fiber-Reinforced Clayey Soil Treated with Lime or Cement. Constr. Build. Mater. 2021, 294, 123537. [Google Scholar] [CrossRef]
- Xiao, Y.; Tong, L.; Che, H.; Guo, Q.; Pan, H. Experimental Studies on Compressive and Tensile Strength of Cement-Stabilized Soil Reinforced with Rice Husks and Polypropylene Fibers. Constr. Build. Mater. 2022, 344, 128242. [Google Scholar] [CrossRef]
- Lu, L.; Liu, C.; Qu, S.; Zhang, M. Experimental Study on the Mechanical and Hydraulic Behaviour of Fibre-Reinforced Cemented Soil with Fly Ash. Constr. Build. Mater. 2022, 321, 126374. [Google Scholar] [CrossRef]
- Gong, J.; Ma, Y.; Fu, J.; Hu, J.; Ouyang, X.; Zhang, Z.; Wang, H. Utilization of Fibers in Ultra-High Performance Concrete: A Review. Compos. Part B Eng. 2022, 241, 109995. [Google Scholar] [CrossRef]
- Tang, C.-S.; Shi, B.; Zhao, L.-Z. Interfacial Shear Strength of Fiber Reinforced Soil. Geotext. Geomembr. 2010, 28, 54–62. [Google Scholar] [CrossRef]
- Liu, J.; Chang, D.; Yu, Q. Influence of Freeze-Thaw Cycles on Mechanical Properties of a Silty Sand. Eng. Geol. 2016, 210, 23–32. [Google Scholar] [CrossRef]
- Li, C.; Austin, U. Validation of Discrete Framework for Fiber Reinforcement. Available online: https://sites.utexas.edu/zornberg/files/2022/03/Li_Zornberg_2003.pdf (accessed on 24 June 2022).
- Zainal, S.M.I.S.; Hejazi, F.; Aziz, F.N.A.A.; Jaafar, M.S. Constitutive Modeling of New Synthetic Hybrid Fibers Reinforced Concrete from Experimental Testing in Uniaxial Compression and Tension. Crystals 2020, 10, 885. [Google Scholar] [CrossRef]
- Donkor, P.; Obonyo, E. Compressed Soil Blocks: Influence of Fibers on Flexural Properties and Failure Mechanism. Constr. Build. Mater. 2016, 121, 25–33. [Google Scholar] [CrossRef]











| Water Content/% | Density/ (g/cm3) | Dry Density/ (g/cm3) | Relative Density of Particle/- | Void Ratio/- | Liquid Limit/% | Plastic Limit/% | Liquidity Index/- | Plasticity Limit Index/% |
|---|---|---|---|---|---|---|---|---|
| 60 | 1.65 | 1.03 | 2.71 | 1.64 | 46.2 | 26.4 | 1.7 | 19.8 |
| Type | Density/ (g/cm3) | Diameter/mm | Tensile Strength/MPa | Elastic Modulus/MPa | Melting Point/°C | Burning Point/°C | Acid-Alkali Resistance | Dispersion |
|---|---|---|---|---|---|---|---|---|
| Polypropylene | 0.91 | 0.045–0.18 | ≥350 | ≥3500 | 165–175 | 590 | High | good |
| Level | Factor | ||
|---|---|---|---|
| A Cement Dosage/% | B Fiber Content/% | C Fiber Length/mm | |
| 1 | 9 | 0 | 3 |
| 2 | 12 | 0.1 | 6 |
| 3 | 15 | 0.2 | 9 |
| 4 | 18 | 0.4 | 12 |
| Group Number | Level/Cement Dosage | Level/Fiber Content | Level/Fiber Length |
|---|---|---|---|
| 1 | 1/9% | 1/0% | 1/- |
| 2 | 1/9% | 2/0.1% | 2/6 mm |
| 3 | 1/9% | 3/0.2% | 3/9 mm |
| 4 | 1/9% | 4/0.4% | 4/12 mm |
| 5 | 2/12% | 1/0% | 2/- |
| 6 | 2/12% | 2/0.1% | 1/3 mm |
| 7 | 2/12% | 3/0.2% | 4/12 mm |
| 8 | 2/12% | 4/0.4% | 3/9 mm |
| 9 | 3/15% | 1/0% | 3/- |
| 10 | 3/15% | 2/0.1% | 4/12 mm |
| 11 | 3/15% | 3/0.2% | 1/3 mm |
| 12 | 3/15% | 4/0.4% | 2/6 mm |
| 13 | 4/18% | 1/0% | 4/- |
| 14 | 4/18% | 2/0.1% | 3/9 mm |
| 15 | 4/18% | 3/0.2% | 2/6 mm |
| 16 | 4/18% | 4/0.4% | 1/3 mm |
| Group Number | Level/Cement Dosage | Level/Fiber Content | Level/Fiber Length | UCS/MPa |
|---|---|---|---|---|
| 1 | 1/9% | 1/0% | 1/- | 0.34 |
| 2 | 1/9% | 2/0.1% | 2/6 mm | 0.38 |
| 3 | 1/9% | 3/0.2% | 3/9 mm | 0.48 |
| 4 | 1/9% | 4/0.4% | 4/12 mm | 0.58 |
| 5 | 2/12% | 1/0% | 2/- | 0.62 |
| 6 | 2/12% | 2/0.1% | 1/3 mm | 0.67 |
| 7 | 2/12% | 3/0.2% | 4/12 mm | 0.74 |
| 8 | 2/12% | 4/0.4% | 3/9 mm | 0.83 |
| 9 | 3/15% | 1/0% | 3/- | 0.74 |
| 10 | 3/15% | 2/0.1% | 4/12 mm | 1.12 |
| 11 | 3/15% | 3/0.2% | 1/3 mm | 1.09 |
| 12 | 3/15% | 4/0.4% | 2/6 mm | 1.22 |
| 13 | 4/18% | 1/0% | 4/- | 1.13 |
| 14 | 4/18% | 2/0.1% | 3/9 mm | 1.39 |
| 15 | 4/18% | 3/0.2% | 2/6 mm | 1.41 |
| 16 | 4/18% | 4/0.4% | 1/3 mm | 1.63 |
| Group Number | A | B | C |
|---|---|---|---|
| K1 | 1.78 | 2.83 | 3.73 |
| K2 | 2.86 | 3.56 | 3.63 |
| K3 | 4.17 | 3.72 | 3.44 |
| K4 | 5.56 | 4.26 | 3.57 |
| k1 | 0.45 | 0.71 | 0.93 |
| k2 | 0.72 | 0.89 | 0.91 |
| k3 | 1.04 | 0.93 | 0.86 |
| k4 | 1.39 | 1.07 | 0.89 |
| R | 3.78 | 1.43 | 0.29 |
| Parameter | Fiber Content 0% | Fiber Content 0.1% | Fiber Content 0.2% | Fiber Content 0.4% |
|---|---|---|---|---|
| a3 | 1 | 1 | 1 | 1 |
| b1 | 2.5460 | 2.3190 | 2.2811 | 1.9494 |
| Adjusted R square | 0.7517 | 0.9602 | 0.9627 | 0.9714 |
| Confining Pressure/kPa | Coefficient | Fiber Content 0% | Fiber Content 0.1% | Fiber Content 0.2% | Fiber Content 0.4% |
|---|---|---|---|---|---|
| 100 | a | 0.5835 | 0.6447 | 0.4269 | 0.4469 |
| b | −0.4246 | −0.4190 | −0.3179 | 0.1280 | |
| c | 0.9637 | 0.8233 | 1.0824 | 0.4732 | |
| Adjusted R square | 0.9799 | 0.9814 | 0.8995 | 0.9454 | |
| 200 | a | 1.1294 | 0.6319 | 0.7354 | 0.3867 |
| b | −1.3522 | −0.3211 | −0.7873 | 0.1586 | |
| c | 1.2736 | 0.7578 | 1.1376 | 0.4773 | |
| Adjusted R square | 0.9684 | 0.9677 | 0.9077 | 0.9837 | |
| 400 | a | 0.9701 | 0.4561 | 0.3877 | 0.2294 |
| b | −1.1155 | −0.2172 | −0.0523 | 0.1804 | |
| c | 1.1869 | 0.8218 | 0.7383 | 0.7000 | |
| Adjusted R square | 0.9930 | 0.9832 | 0.9811 | 0.9656 | |
Publisher’s Note: MDPI stays neutral with regard to jurisdictional claims in published maps and institutional affiliations. |
© 2022 by the authors. Licensee MDPI, Basel, Switzerland. This article is an open access article distributed under the terms and conditions of the Creative Commons Attribution (CC BY) license (https://creativecommons.org/licenses/by/4.0/).
Share and Cite
Yang, X.; Liang, S.; Hou, Z.; Feng, D.; Xiao, Y.; Zhou, S. Experimental Study on Strength of Polypropylene Fiber Reinforced Cemented Silt Soil. Appl. Sci. 2022, 12, 8318. https://doi.org/10.3390/app12168318
Yang X, Liang S, Hou Z, Feng D, Xiao Y, Zhou S. Experimental Study on Strength of Polypropylene Fiber Reinforced Cemented Silt Soil. Applied Sciences. 2022; 12(16):8318. https://doi.org/10.3390/app12168318
Chicago/Turabian StyleYang, Xiulian, Shihua Liang, Zhenkun Hou, Deluan Feng, Yao Xiao, and Shizong Zhou. 2022. "Experimental Study on Strength of Polypropylene Fiber Reinforced Cemented Silt Soil" Applied Sciences 12, no. 16: 8318. https://doi.org/10.3390/app12168318
APA StyleYang, X., Liang, S., Hou, Z., Feng, D., Xiao, Y., & Zhou, S. (2022). Experimental Study on Strength of Polypropylene Fiber Reinforced Cemented Silt Soil. Applied Sciences, 12(16), 8318. https://doi.org/10.3390/app12168318

