Land Cover Mapping Using GIS and Remote Sensing Databases for Al Baha Region Saudi Arabia
Abstract
:1. Introduction
2. Study Area
- To the west, a coastal plain, the Tihama;
- To the east, the mountain range of al-Sarawat, or al-Sarat, with an altitude of 1500 to 2450 m (Figure 1b,c). where the low altitude and high slope were observed in Buljurshi, AlMandaq and Al Bahah or in the southern part regions.
3. Materials and Methods
3.1. NDVI Time Series Analysis Using PROBA-V
3.2. Trend Analysis Methods
3.2.1. Man Kendall Test
3.2.2. Sen Slope Estimator Test
3.3. Land Cover Classification
3.4. The Normalized Difference Vegetation Index
3.5. Accuracy Assessment of the Supervised Classification
4. Results
5. Discussion
6. Conclusions
- Esri Sentinel-2 imagery gives the highest performance compared to Landsat 8 OLI with accuracy and kappa test equal to 87% and 84%, respectively.
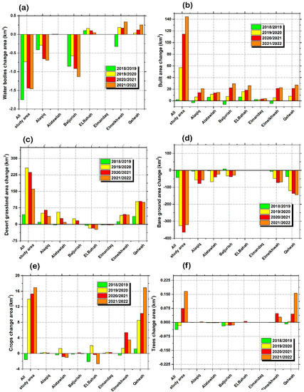
- The land cover classification revealed that the large area of water bodies is localized on Alaqiq (1.45 km2), Baljurish (0.94 km2), and Elmelkhwah (1.57 km2).
- The analysis indicates a great increase in built area between 2017 and 2021 estimated approximately 144 km2 or 28% (from 516.5 to 661.07 km2), especially for Qelwah district by 160% (from 16.97 to 44.16 km2) and Elmelkhwah by 93.06% (from 24.25 to 46.97 km2).
- Overall, the bare ground/rocky mountain area has decreased by approximately 40% at the scale of Al Baha region in the 2017–2021 period most observed in Qelwah (−85%), Elmelkhwah (−68%) and Baljurish (−36%).
- By an area of 9812.3 km2, the desert rangeland area was increased by 160 km2 between 2017/2018 and 2021/2022. For example, Elmelkhwah has been augmented by 3.38% (from 1256 to 1299 km2) and Qelwah by 5.90% (from 1686 to 1785 km2). Conversely, ELBahah has experienced decline in desert rangeland by 4.26% (from 558 to 534 km2), which can be explained by urban growth.
Author Contributions
Funding
Institutional Review Board Statement
Informed Consent Statement
Data Availability Statement
Acknowledgments
Conflicts of Interest
References
- Fischlin, A.; Midgley, G.F.; Price, J.T.; Leemans, R.; Gopal, B.; Turley, C.; Rounsevell, M.D.A.; Dube, O.P.; Tarazona, J.; Velichko, A.A. Ecosystems, their properties, goods, and services. In Climate Change: Impacts, Adaptation and Vulnerability; Contribution of Working Group II to the Fourth Assessment Report of the Intergovernmental Panel on Climate Change; Parry, M.L., Canziani, O.F., Palutikof, J.P., van der Linden, P.J., Hanson, C.E., Eds.; Cambridge University Press: Cambridge, UK, 2007; pp. 211–272. [Google Scholar]
- Food and Agriculture Organization of the United Nations. Land Use in Agriculture by the Numbers. Available online: https://www.fao.org/sustainability/news/detail/en/c/1274219/ (accessed on 1 May 2022).
- Nath, B.; Ni-Meister, W.; Choudhury, R. Impact of urbanization on land use and land cover change in Guwahati city, India and its implication on declining groundwater level. Groundw. Sustain. Dev. 2021, 12, 100500. [Google Scholar] [CrossRef]
- Galleguillos, M.; Gimeno, F.; Puelma, C.; Zambrano-Bigiarini, M.; Lara, A.; Rojas, M. Disentangling the effect of future land use strategies and climate change on streamflow in a Mediterranean catchment dominated by tree plantations. J. Hydrol. 2021, 595, 126047. [Google Scholar] [CrossRef]
- Zerouali, B.; Chettih, M.; Alwetaishi, M.; Abda, Z.; Elbeltagi, A.; Santos, C.A.G.; Hussein, E.E. Evaluation of Karst Spring Discharge Response Using Time-Scale-Based Methods for a Mediterranean Basin of Northern Algeria. Water 2021, 13, 2946. [Google Scholar] [CrossRef]
- Dimple, D.; Rajput, J.; Al-Ansari, N.; Elbeltagi, A.; Zerouali, B.; Santos, C.A.G. Determining the Hydrological Behaviour of Catchment Based on Quantitative Morphometric Analysis in the Hard Rock Area of Nand Samand Catchment, Rajasthan, India. Hydrology 2022, 9, 31. [Google Scholar] [CrossRef]
- Stavi, I.; de Pinho, J.R.; Paschalidou, A.K.; Adamo, S.B.; Galvin, K.; de Sherbinin, A.; Even, T.; Heaviside, C.; van der Geest, K. Food security among dryland pastoralists and agropastoralists: The climate, land-use change, and population dynamics nexus. Anthr. Rev. 2021, 20530196211007512. [Google Scholar] [CrossRef]
- Fonseca, C.A.B.D.; Al-Ansari, N.; Silva, R.M.D.; Santos, C.A.G.; Zerouali, B.; Oliveira, D.B.D.; Elbeltagi, A. Investigating Relationships between Runoff–Erosion Processes and Land Use and Land Cover Using Remote Sensing Multiple Gridded Datasets. ISPRS Int. J. Geo-Inf. 2022, 11, 272. [Google Scholar] [CrossRef]
- DeFries, R.S.; Townshend, J.R.G. NDVI-derived land cover classifications at a global scale. Int. J. Remote Sens. 1994, 15, 3567–3586. [Google Scholar] [CrossRef]
- Lunetta, R.S.; Knight, J.F.; Ediriwickrema, J.; Lyon, J.G.; Worthy, L.D. Land-cover change detection using multi-temporal MODIS NDVI data. Remote Sens. Environ. 2006, 105, 142–154. [Google Scholar] [CrossRef]
- Julien, Y.; Sobrino, J.A.; Mattar, C.; Ruescas, A.B.; Jimenez-Munoz, J.C.; Soria, G.; Hidalgo, V.; Atitar, M.; Franch, B.; Cuenca, J. Temporal analysis of normalized difference vegetation index (NDVI) and land surface temperature (LST) parameters to detect changes in the Iberian land cover between 1981 and 2001. Int. J. Remote Sens. 2011, 32, 2057–2068. [Google Scholar] [CrossRef]
- Li, W.; Saphores, J.D.M.; Gillespie, T.W. A comparison of the economic benefits of urban green spaces estimated with NDVI and with high-resolution land cover data. Landsc. Urban Plan. 2015, 133, 105–117. [Google Scholar] [CrossRef]
- Shao, Y.; Lunetta, R.S.; Wheeler, B.; Iiames, J.S.; Campbell, J. B An evaluation of time-series smoothing algorithms for land-cover classifications using MODIS-NDVI multi-temporal data. Remote Sens. Environ. 2016, 174, 258–265. [Google Scholar] [CrossRef]
- Han, J.C.; Huang, Y.; Zhang, H.; Wu, X. Characterization of elevation and land cover dependent trends of NDVI variations in the Hexi region, northwest China. J. Environ. Manag. 2019, 232, 1037–1048. [Google Scholar] [CrossRef] [PubMed]
- Novillo, C.J.; Arrogante-Funes, P.; Romero-Calcerrada, R. Recent NDVI trends in mainland Spain: Land-cover and phytoclimatic-type implications. ISPRS Int. J. Geo-Inf. 2019, 8, 43. [Google Scholar] [CrossRef]
- Baeza, S.; Paruelo, J.M. Land use/land cover change (2000–2014) in the Rio de la Plata grasslands: An analysis based on MODIS NDVI time series. Remote Sens. 2020, 12, 381. [Google Scholar] [CrossRef]
- Palafox-Juárez, E.B.; López-Martínez, J.O.; Hernández-Stefanoni, J.L.; Hernández-Nuñez, H. Impact of urban land-cover changes on the spatial-temporal land surface temperature in a tropical city of Mexico. ISPRS Int. J. Geo-Inf. 2021, 10, 76. [Google Scholar] [CrossRef]
- Verhoeven, V.B.; Dedoussi, I.C. Annual satellite-based NDVI-derived land cover of Europe for 2001–2019. J. Environ. Manag. 2022, 302, 113917. [Google Scholar] [CrossRef]
- Morawitz, D.F.; Blewett, T.M.; Cohen, A.; Alberti, M. Using NDVI to Assess Vegetative Land Cover Change in Central Puget Sound. Environ. Monit. Assess. 2006, 114, 85–106. [Google Scholar] [CrossRef]
- Jeevalakshmi, D.; Reddy, S.N.; Manikiam, B. Land cover classification based on NDVI using LANDSAT8 time series: A case study Tirupati region. In Proceedings of the International Conference on Communication and Signal Processing (ICCSP), Chennai, India, 6–8 April 2016; pp. 1332–1335. [Google Scholar]
- Aredehey, G.; Mezgebu, A.; Girma, A. Land-use land-cover classification analysis of Giba catchment using hyper temporal MODIS NDVI satellite images. Int. J. Remote Sens. 2018, 39, 810–821. [Google Scholar] [CrossRef]
- Dafalla, M.S.; Ibrahim, I.S.; Abdel Magid, H.M.; Ibrahim, M.M.M.; Elhag, A.M.H. Mapping and Assessment of Land Use/ Land Cover Using Remote Sensing and GIS. Case study: Potential Area for Dates Palm in Al-Qassim Region, Central Saudi Arabia. Int. J. Sci. Res. Publ. 2013, 3, 5. [Google Scholar]
- Alqurashi, A.A.; Kumar., L. Land Use and Land Cover Change Detection in the Saudi Arabian Desert Cities of Makkah and Al-Taif Using Satellite Data. Adv. Remote Sens. 2014, 3, 106–119. [Google Scholar] [CrossRef]
- Rahman, M.T. Detection of Land Use/Land Cover Changes and Urban Sprawl in Al-Khobar, Saudi Arabia: An Analysis of Multi-Temporal Remote Sensing Data. ISPRS Int. J. Geo-Inf. 2016, 5, 15. [Google Scholar] [CrossRef]
- Rahman, M.T.; Aldosary, A.S.; Mortoja, M.G. Modeling Future Land Cover Changes and Their Effects on the Land Surface Temperatures in the Saudi Arabian Eastern Coastal City of Dammam. Land 2017, 6, 36. [Google Scholar] [CrossRef]
- Salih, A. Classification and Mapping of Land Cover Types and Attributes in Al-Ahsaa Oasis, Eastern Region, Saudi Arabia Using Landsat-7 Data. J. Remote Sens. GIS 2018, 7, 228. [Google Scholar] [CrossRef]
- Abdallah, S.; Elmohemen, M.A.; Hemdan, S.; Ibrahem, K. Assessment of land use/land cover changes induced by Jizan Dam, Saudi Arabia, and their effect on soil organic carbon. Arab. J. Geosci. 2019, 12, 350. [Google Scholar] [CrossRef]
- Alharthi, A.; El-Sheikh, M.A.; Elhag, M.; Alatar, A.A.; Abbadi, G.A.; Abdel-Salam, E.M.; Arif, I.A.; Baeshen, A.A.; Eid, E.M. Remote sensing of 10 years changes in the vegetation cover of the northwestern coastal land of Red Sea, Saudi Arabia. Saudi J. Biol. Sci. 2020, 27, 3169–3179. [Google Scholar] [CrossRef]
- Waltham, N.J.; Elliott, M.; Lee, S.Y.; Lovelock, C.; Duarte, C.M.; Buelow, C.; Simenstad, C.; Nagelkerken, I.; Claassens, L.; Wen, C.K.; et al. UN Decade on Ecosystem Restoration 2021–2030—What chance for success in restoring coastal ecosystems? Front. Mar. Sci. 2020, 7, 71. [Google Scholar] [CrossRef]
- Unep. 2022. Available online: https://www.unep.org/ar/alakhbar-walqss/alnshrat-alshfyt/alamm-almthdt-tdw-albldan-aly-alwfa-baltzamatha-lastadt-mlyar (accessed on 3 April 2022).
- de AL-Sheikh, A.B.Y. The degradation of vegetation, and its impact on eco-tourism in the Jazan Province. Geogr. Res. 2013, 100–102, 1–61. [Google Scholar]
- Oumoudden, S.; Zahrani, K.A. “Tourisification” of the Spiritual and/or spiritualization of the Cultural. Between Pilgrimage and Consumerism. The emergence of religious tourism in Saudi Arabia. Tour. Rev. 2021, 20. [Google Scholar]
- Nurunnabi, M. Transformation from an oil-based economy to a knowledge-based economy in Saudi Arabia: The direction of Saudi vision 2030. J. Knowl. Econ. 2017, 8, 536–564. [Google Scholar] [CrossRef]
- Khan, S.I. Saudi Vision 2030: New Avenue of Tourism in Saudi Arabia. Stud. Indian Place Names 2020, 70, 2394–3114. [Google Scholar]
- Abubakar, I.R.; Dano, U.L. Sustainable urban planning strategies for mitigating climate change in Saudi Arabia. Environ. Dev. Sustain. 2020, 22, 5129–5152. [Google Scholar] [CrossRef]
- AlArjani, A.; Modibbo, U.M.; Ali, I.; Sarkar, B. A new framework for the sustainable development goals of Saudi Arabia. J. King Saud Univ. Sci. 2021, 33, 101477. [Google Scholar] [CrossRef]
- Alatawi, A.S. Conservation action in Saudi Arabia: Challenges and opportunities. Saudi J. Biol. Sci. 2022, 29, 3466–3472. [Google Scholar] [CrossRef] [PubMed]
- Proba-v. Belgian Platform on Earth Observation. Available online: https://eo.belspo.be/fr/proba-v/ (accessed on 1 May 2022).
- Proba-v. Belgian Platform on Earth Observation. Available online: https://proba-v-mep.esa.int/applications/time-series-viewer/app/app.html/ (accessed on 1 May 2022).
- Dimitrov, P.; Dong, Q.; Eerens, H.; Gikov, A.; Filchev, L.; Roumenina, E.; Jelev, G. Sub-pixel crop type classification using PROBA-V 100 m NDVI time series and reference data from Sentinel-2 classifications. Remote Sens. 2019, 11, 1370. [Google Scholar] [CrossRef]
- Hameid, N.A.; Bannari, A. The relationship between vegetation and rainfall in central Sudan. Int. J. Remote Sens. Appl. 2016, 6, 30–40. [Google Scholar]
- Zhang, X.; Zhang, M.; Zheng, Y.; Wu, B. Crop mapping using PROBA-V time series data at the Yucheng and Hongxing farm in China. Remote Sens. 2016, 8, 915. [Google Scholar] [CrossRef]
- Mann, H.B. Non-parametric tests against trend. Econometrica 1945, 13, 163–171. [Google Scholar] [CrossRef]
- Kendall, M.G. Rank Correlation Methods, 4th ed.; Charles Griffin: London, UK, 1975. [Google Scholar]
- Sen, P.K. Estimates of the regression coefficient based on Kendall’s tau. Am. Stat. Assoc. Bull. 1968, 63, 1379–1389. [Google Scholar] [CrossRef]
- United States Geological Survey. Available online: https://earthexplorer.usgs.gov/ (accessed on 1 October 2021).
- Esri and Cover. Available online: https://livingatlas.arcgis.com/landcover/ (accessed on 1 October 2021).
- Ding, M.; Zhang, Y.; Liu, L.; Zhang, W.; Wang, Z.; Bai, W. The relationship between NDVI and precipitation on the Tibetan Plateau. J Geogr. Sci. 2007, 17, 259–268. [Google Scholar] [CrossRef]
- Guan, Q.; Yang, L.; Guan, W.; Wang, F.; Liu, Z.; Xu, C. Assessing vegetation response to climatic variations and human activities: Spatiotemporal NDVI variations in the Hexi Corridor and surrounding areas from 2000 to 2010. Theor. Appl. Climatol. 2019, 135, 1179–1193. [Google Scholar] [CrossRef]
- Davenport and Nicholson. On the relation between rainfall and the Normalized Difference Vegetation Index for diverse vegetation types in East Africa. Int. J. Remote Sens. 1993, 14, 2369–2389. [CrossRef]
- Topaloğlu, R.H.; Sertel, E.; Musaoğlu, N. Assessment of classification accuracies of sentinel-2 and landsat-8 data for land cover/use mapping. Int. Arch. Photogramm. Remote Sens. Spat. Inf. Sci. 2016, 41, 1055–1059. [Google Scholar] [CrossRef]
- Sánchez-Espinosa, A.; Schröder, C. Land use and land cover mapping in wetlands one step closer to the ground: Sentinel-2 versus landsat 8. J. Environ. Manag. 2019, 247, 484–498. [Google Scholar] [CrossRef] [PubMed]
- Lima, T.A.; Beuchle, R.; Langner, A.; Grecchi, R.C.; Griess, V.C.; Achard, F. Comparing Sentinel-2 MSI and Landsat 8 OLI imagery for monitoring selective logging in the Brazilian Amazon. Remote Sens. 2019, 11, 961. [Google Scholar] [CrossRef]
- Mallinis, G.; Mitsopoulos, I.; Chrysafi, I. Evaluating and comparing Sentinel 2A and Landsat-8 Operational Land Imager (OLI) spectral indices for estimating fire severity in a Mediterranean pine ecosystem of Greece. Gisci. Remote Sens. 2018, 55, 1–18. [Google Scholar] [CrossRef]
- El-Hazek, A.N. Cost of dams in Al-Baha Province, Kingdom of Saudi Arabia. J. Environ. Eng. Sci. 2013, 2, 77. [Google Scholar]
- El-Hazek, A.N. Optimum water storage in Al-Baha, Kingdom of Saudi Arabia. Am. J. Environ. Sci. 2014, 4, 19–24. [Google Scholar]
- Alzamil, W.; AlQarni, A.A. Urban sprawl on the natural environment in Al-Baha region in the Kingdom of Saudi Arabia. In The Geographical Environment Forum with Vision 2030, (Arabic version); El Aimra University: Riyadh, Saudi Arabia, 2019. (In Arabic) [Google Scholar]
- SPA. General/Environment Signing an Agreement to Establish a Coffee Development City in Al-Baha Region. 2021. Available online: https://www.spa.gov.sa/2299787/ (accessed on 1 December 2021).










| Time Series | N | Test Z | Signific. | Q | Qmin95 | Qmax95 | B | Bmin95 | Bmax95 |
|---|---|---|---|---|---|---|---|---|---|
| 2013 | 8 | * | 0.006 | - | - | 0.10 | - | - | |
| 2014 | 36 | −2.17 | * | −0.001 | −0.002 | 0.000 | 0.13 | 0.15 | 0.11 |
| 2015 | 36 | −0.07 | 0.000 | 0.000 | 0.000 | 0.10 | 0.10 | 0.10 | |
| 2016 | 36 | −0.96 | 0.000 | −0.001 | 0.000 | 0.11 | 0.13 | 0.11 | |
| 2017 | 35 | −1.38 | 0.000 | 0.000 | 0.000 | 0.11 | 0.12 | 0.11 | |
| 2018 | 37 | 2.60 | ** | 0.001 | 0.000 | 0.002 | 0.09 | 0.10 | 0.08 |
| 2019 | 36 | 1.76 | + | 0.001 | 0.000 | 0.001 | 0.10 | 0.12 | 0.09 |
| 2020 | 36 | 1.59 | 0.001 | 0.000 | 0.001 | 0.11 | 0.12 | 0.10 | |
| 2021 | 16 | −2.08 | * | −0.003 | −0.006 | 0.000 | 0.15 | 0.17 | 0.12 |
| Water Bodies | Desert Grassland | Bare Ground/Mountain | Small Trees/Flooded Vegetation | Built Area/Roads/Dry Wadi | Vegetation/Grass | Total User | |
|---|---|---|---|---|---|---|---|
| Water bodies | 2 | 0 | 0 | 0 | 0 | 0 | 2 |
| Desert grassland | 0 | 15 | 16 | 0 | 0 | 0 | 31 |
| Bare ground/Mountain | 0 | 0 | 9 | 0 | 0 | 0 | 9 |
| Small Trees/Flooded vegetation | 0 | 0 | 3 | 10 | 0 | 1 | 14 |
| Built area/roads/Dry Wadi | 0 | 1 | 1 | 2 | 3 | 1 | 8 |
| Vegetation/Grass | 0 | 0 | 0 | 0 | 0 | 6 | 6 |
| Total producer | 2 | 16 | 29 | 12 | 3 | 8 | 70 |
| Water Bodies and River | Trees | Flooded Vegetation | Crops | Built Area and Road | Bare Ground Mountain | Desert Rangeland | Total User | |
|---|---|---|---|---|---|---|---|---|
| Water bodies and river | 8 | 1 | 0 | 0 | 0 | 0 | 0 | 9 |
| Trees | 0 | 3 | 0 | 0 | 0 | 0 | 0 | 3 |
| Flooded vegetation | 0 | 0 | 1 | 0 | 0 | 0 | 0 | 1 |
| Crops | 0 | 0 | 0 | 11 | 1 | 1 | 0 | 13 |
| Built area and road | 0 | 0 | 0 | 1 | 15 | 0 | 1 | 17 |
| Bare ground Mountain | 0 | 0 | 0 | 0 | 0 | 11 | 0 | 11 |
| Desert Rangeland | 0 | 0 | 0 | 0 | 0 | 4 | 12 | 16 |
| Total producer | 8 | 4 | 1 | 12 | 16 | 16 | 13 | 70 |
Publisher’s Note: MDPI stays neutral with regard to jurisdictional claims in published maps and institutional affiliations. |
© 2022 by the authors. Licensee MDPI, Basel, Switzerland. This article is an open access article distributed under the terms and conditions of the Creative Commons Attribution (CC BY) license (https://creativecommons.org/licenses/by/4.0/).
Share and Cite
Shrahily, R.Y.; Alsharif, M.A.; Mobarak, B.A.; Alzandi, A.A. Land Cover Mapping Using GIS and Remote Sensing Databases for Al Baha Region Saudi Arabia. Appl. Sci. 2022, 12, 8115. https://doi.org/10.3390/app12168115
Shrahily RY, Alsharif MA, Mobarak BA, Alzandi AA. Land Cover Mapping Using GIS and Remote Sensing Databases for Al Baha Region Saudi Arabia. Applied Sciences. 2022; 12(16):8115. https://doi.org/10.3390/app12168115
Chicago/Turabian StyleShrahily, Raid Yahia, Mohammad Ambarak Alsharif, Babikir Ahmed Mobarak, and Abdulrhman Ali Alzandi. 2022. "Land Cover Mapping Using GIS and Remote Sensing Databases for Al Baha Region Saudi Arabia" Applied Sciences 12, no. 16: 8115. https://doi.org/10.3390/app12168115
APA StyleShrahily, R. Y., Alsharif, M. A., Mobarak, B. A., & Alzandi, A. A. (2022). Land Cover Mapping Using GIS and Remote Sensing Databases for Al Baha Region Saudi Arabia. Applied Sciences, 12(16), 8115. https://doi.org/10.3390/app12168115

