Effect of Freeze-Thaw Damage on the Physical, Mechanical, and Acoustic Behavior of Sandstone in Urumqi
Abstract
:1. Introduction
2. Material and Methods
2.1. Material Characterization
2.2. Sample Preparation
2.3. Experimental Methods
2.3.1. Freeze-Thaw Cycle Tests
2.3.2. Physical and Mechanical Tests
2.3.3. Acoustic Emission Tests
3. Results and Discussion
3.1. Effect on the Physical Characteristics
3.1.1. Effect on the Porosity
3.1.2. Effect on the Micro-Morphology
3.1.3. Effect on P-Wave Velocity
3.1.4. Effect on Dry Density
3.2. Effect on the Mechanical Behavior
3.2.1. Stress-Strain Behavior
3.2.2. Mechanical Behavior after F-T Action
3.3. Physical and Mechanical Prediction Model
3.4. Effects on the AE and Failure Behavior
3.4.1. Acoustic Behavior
3.4.2. Variation in Acoustic Properties and Damage Stress
4. Conclusions
- In the Urumqi region, the elastic modulus of the rock is more sensitive to F-T cycles than other physical-mechanical parameters such as density and strength, which have a half-life of only 27 cycles. Therefore, special attention should be paid to the rock deformation to prevent open-pit mining disasters.
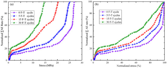
- The acoustic behavior of the studied sandstone clearly shows the effect of F-T cycles on the AE-stress relationship. As F-T damage increases, the crystallization pressure that was induced by freezing forms cracks, making the crack closure phase more pronounced with larger cumulative AE rate values. Subsequently, with the load increases, micro-cracks begin to develop and expand, forming visible crack damage zones on the surface.
- The stress thresholds for micro-crack development and macro-crack initiation decrease with the increasing F-T damage. After 30 F-T cycles, the stress threshold for micro-cracks propagation decreases from 20.73 MPa in the natural condition to 5.02 MPa, while that of the macro-cracks damage zone increases from 7% to 29%. The F-T damage has an important impact on the fracture behavior of typical sandstone samples from Xinjiang, China.
Author Contributions
Funding
Data Availability Statement
Conflicts of Interest
References
- Momeni, A.; Abdilor, Y.; Khanlari, G.R.; Heidari, M.; Sepahi, A.A. The effect of freeze–thaw cycles on physical and mechanical properties of granitoid hard rocks. Bull. Eng. Geol. Environ. 2016, 75, 1649–1656. [Google Scholar] [CrossRef]
- Jiang, H.; Li, K.; Jin, J. The variation characteristics of micro-pore structures of underground rocks in cold regions subject to freezing and thawing cycles. Arab. J. Geosci. 2020, 13, 17. [Google Scholar] [CrossRef]
- Chang, Z.; Zhang, W.; Zhao, G.; Dong, F.; Geng, X. Aging Stability Analysis of Slope Considering Cumulative Effect of Freeze–Thaw Damage—A Case Study. Minerals 2022, 12, 598. [Google Scholar] [CrossRef]
- Lu, Y.; Li, X.; Chan, A. Damage constitutive model of single flaw sandstone under freeze-thaw and load. Cold Reg. Sci. Technol. 2019, 159, 20–28. [Google Scholar] [CrossRef]
- Hallet, B. Why do freezing rocks break? Science 2006, 314, 1092–1093. [Google Scholar] [CrossRef]
- Karaca, Z.; Hamdi Deliormanli, A.; Elci, H.; Pamukcu, C. Effect of freeze-thaw process on the abrasion loss value of stones. Int. J. Rock Mech. Min. Sci. 2010, 47, 1207–1211. [Google Scholar] [CrossRef]
- Gao, F.; Xiong, X.; Zhou, K.P.; Li, J.L.; Shi, W.C. Strength deterioration model of saturated sandstone under freeze-thaw cycles. Rock Soil Mech. 2019, 40, 926–932. [Google Scholar]
- Laskaridis, K.; Arapakou, A.; Patronis, M.; Kouseris, I. Correlations between the Physical Mechanical Properties of Greek Dimension Stones. In Proceedings of the International Conference on Raw Materials and Circular Economy, Athens, Greece, 5–9 September 2021; p. 28. [Google Scholar]
- Khanlari, G.; Abdilor, Y. Influence of wet–dry, freeze–thaw, and heat–cool cycles on the physical and mechanical properties of Upper Red sandstones in central Iran. Bull. Eng. Geol. Environ. 2015, 74, 1287–1300. [Google Scholar] [CrossRef]
- Huang, S.; He, Y.; Liu, X.; Xin, Z. Experimental investigation of the influence of dry-wet, freeze-thaw and water immersion treatments on the mechanical strength of the clay-bearing green sandstone. Int. J. Rock Mech. Min. Sci. 2021, 138, 104613. [Google Scholar] [CrossRef]
- Lan, Y.; Gao, H.; Zhao, Y. Pore Structure Characteristics and Strength Variation of Red Sandstone under Freeze–Thaw Cycles. Materials 2022, 15, 3856. [Google Scholar] [CrossRef]
- Xu, J.; Pu, H.; Sha, Z. Mechanical behavior and decay model of the sandstone in Urumqi under coupling of freeze–thaw and dynamic loading. Bull. Eng. Geol. Environ. 2021, 80, 2963–2978. [Google Scholar] [CrossRef]
- Li, J.; Kaunda, R.B.; Zhou, K. Experimental investigations on the effects of ambient freeze-thaw cycling on dynamic properties and rock pore structure deterioration of sandstone. Cold Reg. Sci. Technol. 2018, 154, 133–141. [Google Scholar] [CrossRef]
- Si, K.; Cui, Z.; Peng, R.; Zhao, L.; Zhao, Y. Crack Propagation Process and Seismogenic Mechanisms of Rock Due to the Influence of Freezing and Thawing. Appl. Sci. 2021, 11, 9601. [Google Scholar] [CrossRef]
- Chen, L.; Wu, P.; Chen, Y.; Zhang, W. Experimental Study on Physical-mechanical Properties and Fracture Behaviors of Saturated Yellow Sandstone Considering Coupling Effect of Freeze-Thaw and Specimen Inclination. Sustainability 2020, 12, 1029. [Google Scholar] [CrossRef] [Green Version]
- Baud, P.; Klein, E.; Wong, T.F. Compaction localization in porous sandstones: Spatial evolution of damage and acoustic emission activity. J. Struct. Geol. 2004, 26, 603–624. [Google Scholar] [CrossRef]
- Su, Z.; Sun, J.; Xia, J.; Wu, C. Experimental research of the effect of freezing-thawing cycles on acoustic emission characteristics of granite. Chin. J. Rock Mech. Eng. 2019, 38, 865–874. [Google Scholar]
- Su, Z.; Geng, K.; Zhou, F.; Sun, J.; Yu, H. Influence of freeze-thaw cycles on acoustic emission characteristics of granite samples under triaxial compression. Adv. Civ. Eng. 2021, 2021, 5571680. [Google Scholar] [CrossRef]
- Yang, G.; Liang, B.; Liu, H.; Shen, Y.; Jia, H. Mechanical Properties and Acoustic Emission Characteristics of Thawing Frozen Sandstone. Adv. Mater. Sci. Eng. 2022, 2022, 2156710. [Google Scholar] [CrossRef]
- Jiang, D.Y.; Zhang, S.L.; Chen, J.; Yang, T.; Wang, X.S.; Xie, K.N.; Jiang, X. Low filed NMR and acoustic emission probability density study of freezing and thawing cycles damage for sandstone. Rock Soil Mech. 2019, 40, 436–444. [Google Scholar]
- Xu, J.; Pu, H.; Sha, Z. Experimental Study on the Effect of Brittleness on the Dynamic Mechanical Behaviors of the Coal Measures Sandstone. Adv. Civ. Eng. 2021, 2021, 6679333. [Google Scholar] [CrossRef]
- Fang, X.; Xu, J.; Wang, P. Compressive failure characteristics of yellow sandstone subjected to the coupling effects of chemical corrosion and repeated freezing and thawing. Eng. Geol. 2018, 233, 160–171. [Google Scholar] [CrossRef]
- Ding, S.; Jia, H.; Zi, F.; Dong, Y.; Yao, Y. Frost Damage in Tight Sandstone: Experimental Evaluation and Interpretation of Damage Mechanisms. Materials 2020, 13, 4617. [Google Scholar] [CrossRef]
- Gasc-Barbier, M.; Merrien-Soukatchoff, V. Effect of Freezing-Thawing Cycles on the Elastic Waves’ Properties of Rocks. Geosciences 2022, 12, 103. [Google Scholar] [CrossRef]
- Wang, L.; Li, N.; Qi, J.; Tian, Y. A study on the physical index change and triaxial compression test of intact hard rock subjected to freeze-thaw cycles. Cold Reg. Sci. Technol. 2019, 160, 39–47. [Google Scholar] [CrossRef]
- Xu, J.; Pu, H.; Sha, Z. Dynamic Mechanical Behavior of the Frozen Red Sandstone under Coupling of Saturation and Impact Loading. Appl. Sci. 2022, 12, 7767. [Google Scholar] [CrossRef]
- Chen, T.C.; Yeung, M.R.; Mori, N. Effect of water saturation on deterioration of welded tuff due to freeze-thaw action. Cold Reg. Sci. Technol. 2004, 38, 127–136. [Google Scholar] [CrossRef]
- Xu, G.; Liu, Q. Freeze-Thaw Cycling and Mechanical Testing Study on Frozen-Thawed Rocks. Chin. J. Rock Mech. Eng. 2005, 24, 3076–3082. [Google Scholar]
- Yamabe, T.; Neaupane, K.M. Determination of some thermo-mechanical properties of Sirahama sandstone under subzero temperature condition. Int. J. Rock Mech. Min. Sci. 2001, 38, 1029–1034. [Google Scholar] [CrossRef]
- Gao, J.; Xu, C.; Xi, Y.; Fan, L. Degradation of Mechanical Behavior of Sandstone under Freeze-Thaw Conditions with Different Low Temperatures. Appl. Sci. 2021, 11, 10653. [Google Scholar] [CrossRef]
- Peng, J.; Rong, G.; Cai, M.; Zhou, C.B. A model for characterizing crack closure effect of rocks. Eng. Geol. 2015, 189, 48–57. [Google Scholar] [CrossRef]
- Li, Y.; Jia, D.; Rui, Z.; Peng, J.; Fu, C.; Zhang, J. Evaluation method of rock brittleness based on statistical constitutive relations for rock damage. J. Pet. Sci. Eng. 2017, 153, 123–132. [Google Scholar] [CrossRef]
- Zhang, S.; Lai, Y.; Zhang, X. Study on the damage propagation of surrounding rock from a cold-region tunnel under freeze–thaw cycle condition. Tunn. Undergr. Space Technol. 2004, 19, 295–302. [Google Scholar] [CrossRef]
- Li, X.; Qu, D.; Luo, Y.; Ma, R.; Xu, K.; Wang, G. Damage evolution model of sandstone under coupled chemical solution and freeze-thaw process. Cold Reg. Sci. Technol. 2019, 162, 88–95. [Google Scholar] [CrossRef]
- Deprez, M.; De Kock, T.; De Schutter, G.; Cnudde, V. A review on freeze-thaw action and weathering of rocks. Earth Sci. Rev. 2020, 203, 103143. [Google Scholar] [CrossRef]
- Zhang, H.; Yang, G. Research on damage model of rock under coupling action of freeze-thaw and load. Chin. J. Rock Mech. Eng. 2010, 29, 471–476. [Google Scholar]
- Mutlutürk, M.; Altindag, R.; Türk, G. A decay function model for the integrity loss of rock when subjected to recurrent cycles of freezing-thawing and heating-cooling. Int. J. Rock Mech. Min. Sci. 2004, 41, 237–244. [Google Scholar] [CrossRef]
- Srinivasan, V.; Tripathy, A.; Gupta, T.; Singh, T.N. An Investigation on the Influence of Thermal Damage on the Physical, Mechanical and Acoustic Behavior of Indian Gondwana Shale. Rock Mech. Rock Eng. 2020, 53, 2865–2885. [Google Scholar] [CrossRef]
- Boyce, G.M.; McCabe, W.M.; Koerner, R.M. Acoustic Emission Signatures of Various Rock Types in Unconfined Compression; ASTM International: West Conshohocken, PA, USA, 1981; pp. 142–154. [Google Scholar]
- Ranjith, P.G.; Fourar, M.; Pong, S.F.; Chian, W.; Haque, A. Characterisation of fractured rocks under uniaxial loading states. Int. J. Rock Mech. Min. Sci. 2004, 41, 43–48. [Google Scholar] [CrossRef]
- Sirdesai, N.N.; Gupta, T.; Singh, T.N.; Ranjith, P.G. Studying the acoustic emission response of an Indian monumental sandstone under varying temperatures and strains. Constr. Build. Mater. 2018, 168, 346–361. [Google Scholar] [CrossRef]


















| Parameters | Vp (m/s) | ρd/(g·cm−3) | ρsat/(g·cm−3) | ω/(%) | η/(%) | 
|---|---|---|---|---|---|
| Range | 3193~3257 | 2.412~2.415 | 2.521~2.526 | 4.48~4.62 | 4.32~4.51 | 
| Average | 3229 | 2.414 | 2.523 | 4.56 | 4.37 | 
| SD | 33.005 | 0.00125 | 0.00235 | 0.135 | 0.122 | 
| Parameter | Fitted Curves | Decay Factor | Half-Life (H1/2) | R2 | 
|---|---|---|---|---|
| P-wave v | 0.00214 | 324 | 0.987 | |
| Density ρ | 0.000697 | 994 | 0.912 | |
| Strength σ | 0.0217 | 32 | 0.991 | |
| Modulus E | 0.0254 | 27 | 0.989 | 
| Publisher’s Note: MDPI stays neutral with regard to jurisdictional claims in published maps and institutional affiliations. | 
© 2022 by the authors. Licensee MDPI, Basel, Switzerland. This article is an open access article distributed under the terms and conditions of the Creative Commons Attribution (CC BY) license (https://creativecommons.org/licenses/by/4.0/).
Share and Cite
Xu, J.; Pu, H.; Sha, Z. Effect of Freeze-Thaw Damage on the Physical, Mechanical, and Acoustic Behavior of Sandstone in Urumqi. Appl. Sci. 2022, 12, 7870. https://doi.org/10.3390/app12157870
Xu J, Pu H, Sha Z. Effect of Freeze-Thaw Damage on the Physical, Mechanical, and Acoustic Behavior of Sandstone in Urumqi. Applied Sciences. 2022; 12(15):7870. https://doi.org/10.3390/app12157870
Chicago/Turabian StyleXu, Junce, Hai Pu, and Ziheng Sha. 2022. "Effect of Freeze-Thaw Damage on the Physical, Mechanical, and Acoustic Behavior of Sandstone in Urumqi" Applied Sciences 12, no. 15: 7870. https://doi.org/10.3390/app12157870
APA StyleXu, J., Pu, H., & Sha, Z. (2022). Effect of Freeze-Thaw Damage on the Physical, Mechanical, and Acoustic Behavior of Sandstone in Urumqi. Applied Sciences, 12(15), 7870. https://doi.org/10.3390/app12157870
 
         
                                                

 
       