Manual Wheelchair Equipped with a Planetary Gear-Research Methodology and Preliminary Results
Abstract
Featured Application
Abstract
1. Introduction
2. Materials and Methods
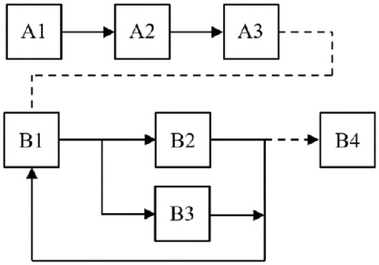
2.1. The Description of Developed Design
2.2. EMG Measurements
2.3. Subjects
2.4. Test Conditions and Statistical Analysis
2.5. Motion Capture Measurements
3. Results and Discussion
3.1. Results of EMG Measurements
3.2. Results of Motion Capture Measurements
4. Summary and Conclusions
5. Patents
Author Contributions
Funding
Institutional Review Board Statement
Informed Consent Statement
Data Availability Statement
Conflicts of Interest
References
- Young, G.O. Synthetic structure of industrial plastics. In Plastics, 2nd ed.; Peters, J., Ed.; McGraw-Hill: New York, NY, USA, 1964; Volume 3, pp. 15–64. [Google Scholar]
- Leving, M.T.; de Groot, S.; Woldring, F.A.; Tepper, M.; Vegter, R.J.; van der Woude, L.H. Motor learning outcomes of handrim wheelchair propulsion during active spinal cord injury rehabilitation in comparison with experienced wheelchair users. Disabil. Rehabil. 2019, 43, 1429–1442. [Google Scholar] [CrossRef] [PubMed]
- Levy, C.E.; Buman, M.P.; Chow, J.W.; Tillman, M.D.; Fournier, K.A.; Giacobbi, P., Jr. Use of Power Assist-Wheels Results in Increased Distance Traveled Compared to Conventional Manual Wheeling. Am. J. Phys. Med. Rehabil. Assoc. Acad. Physiatr. 2010, 89, 625–634. [Google Scholar] [CrossRef]
- Kloosterman, M.G.; Snoek, G.J.; van der Woude, L.H.; Buurke, J.H.; Rietman, J.S. A systematic review on the pros and cons of using a pushrim-activated power-assisted wheelchair. Clin. Rehabil. 2013, 27, 299–313. [Google Scholar] [CrossRef] [PubMed]
- Waluś, K.J. The intensity of the acceleration and deceleration of a passenger car on a road surface covered with fresh snow. Proc. Eng. 2016, 136, 187–192. [Google Scholar] [CrossRef]
- Sawicki, P.; Waluś, K.J.; Warguła, Ł. The Comparative Analysis of the Rolling Resistance Coefficients Depending on the Type of Surface—Experimental Research. In Transport Means 2018, Proceedings of the 22nd International Scientific Conference, Trakai, Lithuania, 3–5 October 2018; Kaunas University of Technology: Trakai, Lithuania, 2018; pp. 434–441. [Google Scholar]
- Wieczorek, B.; Warguła, Ł.; Rybarczyk, D. Impact of a Hybrid Assisted Wheelchair Propulsion System on Motion Kinematics during Climbing up a Slope. Appl. Sci. 2020, 10, 1025. [Google Scholar] [CrossRef]
- Wargua, Ł.; Kukla, M.; Wieczorek, B. The impact of wheelchairs driving support systems on the rolling resistance coefficient. IOP Conf. Ser. Mater. Sci. Eng. 2020, 776, 0120761. [Google Scholar] [CrossRef]
- Becker, M. Suspension system for an all-terrain wheelchair. In Proceedings of the RESNA 2000 Annual Conference: Technology for the New Millennium, Orlando, FL, USA, 28 June–2 July 2000; RESNA: Arlington, VA, USA, 2000; p. 462. [Google Scholar]
- Sundaram, S.A.; Wang, H.; Ding, D.; Cooper, R.A. Step-climbing power wheelchairs: A literature review. Top. Spinal Cord. Inj. Rehabil. 2017, 23, 98–109. [Google Scholar] [CrossRef]
- Riascos, L.A. A low cost stair climbing wheelchair. In Proceedings of the 2015 IEEE 24th International Symposium on Industrial Electronics (ISIE), Buzios, Brazil, 3–5 June 2015; pp. 627–632. [Google Scholar] [CrossRef]
- Quaglia, G.; Franco, W.; Oderio, R. Wheelchair. q, a mechanical concept for a stair climbing wheelchair. In Proceedings of the 2009 IEEE International Conference on Robotics and Biomimetics (ROBIO), Guilin, China, 19–23 December 2009; pp. 800–805. [Google Scholar] [CrossRef]
- Attali, X.; Pelisse, F. Looking back on the evolution of electric wheelchairs. Med. Eng. Phys. 2001, 23, 735–743. [Google Scholar] [CrossRef]
- De Souza, L.H.; Frank, A.O. Problematic clinical features of powered wheelchair users with severely disabling multiple sclerosis. Disabil. Rehabil. 2015, 37, 990–996. [Google Scholar] [CrossRef]
- Giacobbi, P.R., Jr.; Levy, C.E.; Dietrich, F.D.; Winkler, S.H.; Tillman, M.D.; Chow, J.W. Wheelchair users’ perceptions of and experiences with power assist wheels. Am. J. Phys. Med. Rehabil. 2010, 89, 225–234. [Google Scholar] [CrossRef]
- Kloosterman, M.G.; Eising, H.; Schaake, L.; Buurke, J.H.; Rietman, J.S. Comparison of shoulder load during power-assisted and purely hand-rim wheelchair propulsion. Clin. Biomech. 2012, 27, 428–435. [Google Scholar] [CrossRef] [PubMed]
- Kraaijenbrink, C.; Vegter, R.; de Groot, S.; Arnet, U.; Valent, L.; Verellen, J.; van Breukelen, K.; Hettinga, F.; Perret, C.; Abel, T.; et al. Biophysical aspects of handcycling performance in rehabilitation, daily life and recreational sports; a narrative review. Disabil. Rehabil. 2020, 43, 3461–3475. [Google Scholar] [CrossRef]
- Andrew, O.F.; de Souza, L.H. Clinical features of children and adults with a muscular dystrophy using powered indoor/outdoor wheelchairs: Disease features, comorbidities and complications of disability. Disabil. Rehabil. 2018, 40, 1007–1013. [Google Scholar] [CrossRef]
- Wieczorek, B.; Zabłocki, M. Dźwigniowy System Napędowy Wózka Inwalidzkiego [Leveraged Wheelchair Drive System, Original Text in Polish]. Poland Patent PL223141B1, 7 July 2014. [Google Scholar]
- Korpi, E. Leveraged Hand Propeller for a Wheel Chair with Brake. U.S. Patent 5,232,236, 2 April 1992. [Google Scholar]
- Schaeffer, J.E.; Schaeffer, J.E. Wheelchair. U.S. Patent 6,715,780B2, 15 October 2001. [Google Scholar]
- Gabryelski, J.; Kurczewski, P.; Sydor, M.; Szperling, A.; Torzyński, D.; Zabłocki, M. Development of Transport for Disabled People on the Example of Wheelchair Propulsion with Cam-Thread Drive. Energies 2021, 14, 8137. [Google Scholar] [CrossRef]
- Bragança, S.; Castellucci, I.; Gill, S.; Matthias, P.; Carvalho, M.; Arezes, P. Insights on the apparel needs and limitations for athletes with disabilities: The design of wheelchair rugby sports-wear. Appl. Ergon. 2018, 67, 9–25. [Google Scholar] [CrossRef]
- De Groot, S.; Bos, F.; Koopman, J.; Hoekstra, A.E.; Vegter, R.J. The effect of a novel square-profile hand rim on propulsion technique of wheelchair tennis players. App. Erg. 2018, 71, 38–44. [Google Scholar] [CrossRef] [PubMed]
- Mason, B.S.; van der Woude, L.H.V.; Goosey-Tolfrey, V.L. The Ergonomics of Wheelchair Configuration for Optimal Performance in the Wheelchair Court Sports. Sports Med. 2012, 43, 23–28. [Google Scholar] [CrossRef] [PubMed]
- Shepherd, J.B.; James, D.A.; Espinosa, H.G.; Thiel, D.V.; Rowlands, D.D. A Literature Review Informing an Operational Guideline for Inertial Sensor Propulsion Measurement in Wheelchair Court Sports. Sports 2018, 6, 34. [Google Scholar] [CrossRef]
- Perret, C. Elite-adapted wheelchair sports performance: A systematic review. Disabil. Rehabil. 2015, 39, 164–172. [Google Scholar] [CrossRef]
- Van der Woude, L.H.V.; Janssen, T.W.; Veeger, D. 3rd International Congress ‘Restoration of (wheeled) mobility in SCI rehabilitation: State of the art III’: Its background. Technol. Disabil. 2005, 17, 55–61. [Google Scholar] [CrossRef]
- Boninger, M.L.; Cooper, R.A.; Fitzgerald, S.G.; Lin, J.; Cooper, R.; Dicianno, B.; Liu, B. Investigating neck pain in wheelchair users. Am. J. Phys. Med. Rehabil. 2003, 82, 197–202. [Google Scholar] [CrossRef]
- Van der Woude, L.H.V.; Veeger, D. Ergonomics of Wheelchair Design: A Prerequisite for Optimum Wheeling Conditions. Adapt. Phys. Activ. Q. 1989, 6, 109–132. [Google Scholar] [CrossRef]
- Kukla, M.; Wieczorek, B.; Warguła, Ł. Development of methods for performing the maximum voluntary contraction (MVC) test. MATEC Web Conf. 2018, 157, 050151. [Google Scholar] [CrossRef]
- Seniam [Internet]. Available online: http://www.seniam.org/ (accessed on 1 January 2020).
- Konrad, P. The ABC of EMG: A Practical Introduction to Kinesiological Electromyography, 1st ed.; Noraxon USA, Inc.: Scottsdale, AZ, USA, 2005; ISBN 0-9771622-1-4. [Google Scholar]
- Kukla, M. Analysis and evaluation of muscular effort during wheelchair propulsion based on EMG measurements. In Research on the Biomechanics of Manual Wheelchair Drive for Innovative Manual and Hybrid Drives, 1st ed.; Wieczorek, B., Ed.; Publishing House of Kazimierz Pułaski University of Technology and Humanities: Radom, Poland, 2019; Volume 1, pp. 65–74. [Google Scholar]
- Lebedev, I.; Erashov, A.; Shabanova, A. Accurate Autonomous UAV Landing Using Vision-Based Detection of ArUco-Marker. In Interactive Collaborative Robotics, Proceedings of the International Conference on Interactive Collaborative Robotics, St Petersburg, Russia, 7–9 October 2020; Springer: Cham, Switzerland, 2020; pp. 179–188. [Google Scholar] [CrossRef]
- Lou, S.; Jiang, X.; Scott, P.J. Application of the morphological alpha shape method to the extraction of topographical features from engineering surfaces. Measurement 2013, 46, 1002–1008. [Google Scholar] [CrossRef]
- Lafta, H.A.; Guppy, R.; Whatling, G.; Holt, C. Impact of rear wheel axle position on upper limb kinematics and electromyography during manual wheelchair use. Int. Biomech. 2018, 5, 17–29. [Google Scholar] [CrossRef][Green Version]
- Yang, Y.S.; Koontz, A.M.; Yeh, S.J.; Chang, J.J. Effect of backrest height on wheelchair propulsion biomechanics for level and uphill conditions. Arch. Phys. Med. Rehabil. 2012, 93, 654–659. [Google Scholar] [CrossRef]
- Qi, L.; Wakeling, J.; Grange, S.; Ferguson-Pell, M. Coordination patterns of shoulder muscles during level-ground and incline wheelchair propulsion. J. Rehabil. Res. Dev. 2013, 50, 651–662. [Google Scholar] [CrossRef] [PubMed]
- Wieczorek, B.; Kukla, M.; Wieczorek, R. Multi-gear hub prototype for manual wheelchairs-design and operation. AUTOBUSY Tech. Eksploat. Syst. Transp. 2018, 19, 825–830. [Google Scholar] [CrossRef]
- Lee, S.Y.; Lee, S.K.; Ahn, S.H. Effect of various wheelchair handle grip directions on muscle activities of upper body of assistant during movement on ascending and descending ramps. J. Phys. Ther. Sci. 2017, 29, 2090–2093. [Google Scholar] [CrossRef] [PubMed]
- Morrow, M.M.; Kaufman, K.R.; An, K.N. Shoulder model validation and joint contact forces during wheelchair activities. J. Biomech. 2010, 43, 2487–2492. [Google Scholar] [CrossRef]
- Lafta, H.A. Analysis of Upper Body Biomechanics and Control In Manual Wheelchair Users. Ph.D. Thesis, Cardiff University, Cardiff, UK, 2018. [Google Scholar]
- Wieczorek, B.; Kukla, M. Effects of the performance parameters of a wheelchair on the changes in the position of the centre of gravity of the human body in dynamic condition. PLoS ONE 2019, 14, e0226013. [Google Scholar] [CrossRef] [PubMed]
- Wieczorek, B.; Kukla, M. Biomechanical Relationships Between Manual Wheelchair Steering and the Position of the Human Body’s Center of Gravity. J. Biomech. Eng. 2020, 142, 081006. [Google Scholar] [CrossRef] [PubMed]
- Brubaker, C.E. Wheelchair prescription: An analysis of factors that affect mobility and performance. J. Rehabil. Res. Dev. 1986, 23, 19–26. [Google Scholar]
- Wieczorek, B.; Górecki, J.; Kukla, M.; Wojtokowiak, D. The analytical method of determining the center of gravity of a person propelling a manual wheelchair. Procedia Eng. 2017, 177, 405–410. [Google Scholar] [CrossRef]
- Lalumiere, M.; Gagnon, D.H.; Hassan, J.; Desroches, G.; Zory, R.; Pradon, D. Ascending curbs of progressively higher height increases forward trunk flexion along with upper extremity mechanical and muscular demands in manual wheelchair users with a spinal cord injury. J. Electromyogr. Kinesiol. 2013, 23, 1434–1445. [Google Scholar] [CrossRef]
- Van Drongelen, S.; van der Woude, L.H.V.; Janssen, T.W.; Angenot, E.L.; Chadwick, E.K.; Veeger, D.H. Mechanical load on the upper extremity during wheelchair activities. Arch. Phys. Med. Rehabil. 2005, 86, 1214–1220. [Google Scholar] [CrossRef] [PubMed]
- Arnet, U.; van Drongelen, S.; Scheel-Sailer, A.; van der Woude, L.H.V.; Veeger, D.H. Shoulder load during synchronous handcycling and handrim wheelchair propulsion in persons with paraplegia. J. Rehabil. Med. 2012, 44, 222–228. [Google Scholar] [CrossRef][Green Version]
- Boninger, M.L.; Souza, A.L.; Cooper, R.A.; Fitzgerald, S.G.; Koontz, A.M.; Fay, B.T. Propulsion patterns and pushrim biomechanics in manual wheelchair propulsion. Arch. Phys. Med. Rehabil. 2002, 83, 718–723. [Google Scholar] [CrossRef]
- Koontz, A.M.; Roche, B.M.; Collinger, J.L.; Cooper, R.A.; Boninger, M.L. Manual wheelchair propulsion patterns on natural surfaces during start-up propulsion. Arch. Phys. Med. Rehabil. 2009, 90, 1916–1923. [Google Scholar] [CrossRef]
- Miyazaki, Y.; Iida, K.; Nakashima, M.; Maruyama, T.; Yamanobe, K. Measurement of pushrim forces during racing wheelchair propulsion using a novel attachable force sensor system. Proc. Inst. Mech. Eng. Part P J. Sports Eng. Technol. 2020, 1–10. [Google Scholar]
- Qi, L.; Guan, S.; Zhang, L.; Liu, H.L.; Sun, C.K.; Ferguson-Pell, M. The effect of fatigue on wheelchair users’ upper limb muscle coordination patterns in time-frequency and principal component analysis. IEEE Trans. Neural Syst. Rehabil. Eng. 2021, 29, 2096–2102. [Google Scholar] [CrossRef] [PubMed]
- McLaurin, C.A.; Brubaker, C.E. Biomechanics and the wheelchair. Prosthet. Orthot. Int. 1991, 15, 24–37. [Google Scholar] [CrossRef][Green Version]
- Warguła, Ł.; Kukla, M.; Yurchenko, V.; Kukesheva, A. Analysis of the usability of rolling resistance measurement methods to study the mechanisms of some wheelchairs. IOP Conf. Ser. Mater. Sci. Eng. 2021, 1199, 012063. [Google Scholar] [CrossRef]
- Warguła, Ł.; Marciniak, A. The Symmetry of the Muscle Tension Signal in the Upper Limbs When Propelling a Wheelchair and Innovative Control Systems for Propulsion System Gear Ratio or Propulsion Torque: A Pilot Study. Symmetry 2022, 14, 1002. [Google Scholar] [CrossRef]
- Kukla, M.; Maliga, W. Symmetry Analysis of Manual Wheelchair Propulsion Using Motion Capture Techniques. Symmetry 2022, 14, 1164. [Google Scholar] [CrossRef]
- Soltau, S.L.; Slowik, J.S.; Requejo, P.S.; Mulroy, S.J.; Neptune, R.R. An investigation of bilateral symmetry during manual wheelchair propulsion. Front. Bioeng. Biotechnol. 2015, 3, 86. [Google Scholar] [CrossRef]
- Koontz, A.M.; Cooper, R.A.; Boninger, M.L. An autoregressive modeling approach to analyzing wheelchair propulsion forces. Med. Eng. Phys. 2001, 23, 285–291. [Google Scholar] [CrossRef]
- Schnorenberg, A.J.; Slavens, B.A.; Wang, M.; Vogel, L.C.; Smith, P.A.; Harris, G.F. Biomechanical model for evaluation of pediatric upper extremity joint dynamics during wheelchair mobility. J. Biomech. 2014, 47, 269–276. [Google Scholar] [CrossRef]
- Mercer, J.L.; Boninger, M.; Koontz, A.; Ren, D.; Dyson-Hudson, T.; Cooper, R. Shoulder joint kinetics and pathology in manual wheelchair users. Clin. Biomech. 2006, 21, 781–789. [Google Scholar] [CrossRef]














| Gear Ratio | Series Number | Wheelchair Inclination Angle | Muscle |
|---|---|---|---|
| p1 = 1.96 | s1 | k1 = 0° | Deltoid muscle anterior (A) and posterior (B) |
| p2 = 1 | s2 | k2 = 1.5° | Triceps brachii (C) |
| p3 = 0.51 | s3 | k3 = 5.4° | Extensor carpi radialis longus (D) |
| s1 A | s1 B | s1 C | s1 D | ||||||||||
|---|---|---|---|---|---|---|---|---|---|---|---|---|---|
| p1 | p2 | p3 | p1 | p2 | p3 | p1 | p2 | p3 | p1 | p2 | p3 | ||
| k1 | [s·%] | 23.33 | 21.51 | 19.03 | 32.50 | 30.34 | 29.94 | 21.28 | 15.46 | 14.59 | 6.08 | 4.55 | 3.17 |
| [s·%] | 2.74 | 2.00 | 0.99 | 1.60 | 2.09 | 1.99 | 1.44 | 1.17 | 0.99 | 0.33 | 0.47 | 0.14 | |
| [s·%] | 0.61 | 0.45 | 0.22 | 0.36 | 0.47 | 0.44 | 0.32 | 0.26 | 0.22 | 0.07 | 0.11 | 0.03 | |
| 0.09 | 0.18 | 0.26 | 0.64 | 0.17 | 0.18 | 0.17 | 0.65 | 0.10 | 0.09 | 0.46 | 0.35 | ||
| k2 | [s·%] | 23.57 | 23.44 | 22.37 | 36.88 | 30.85 | 30.39 | 24.11 | 19.43 | 15.20 | 10.64 | 5.98 | 3.62 |
| [s·%] | 3.10 | 1.84 | 1.39 | 3.41 | 2.73 | 1.87 | 1.95 | 1.44 | 0.88 | 0.85 | 0.73 | 0.17 | |
| [s·%] | 0.69 | 0.41 | 0.31 | 0.76 | 0.61 | 0.42 | 0.44 | 0.32 | 0.20 | 0.19 | 0.16 | 0.04 | |
| 0.50 | 0.06 | 0.09 | 0.59 | 0.18 | 0.19 | 0.53 | 0.12 | 0.38 | 0.53 | 0.52 | 0.16 | ||
| k3 | [s·%] | 31.20 | 27.95 | 24.57 | 48.94 | 39.61 | 35.94 | 36.88 | 27.96 | 21.61 | 20.50 | 6.45 | 5.46 |
| [s·%] | 2.37 | 1.48 | 1.67 | 5.32 | 3.46 | 3.18 | 2.96 | 3.06 | 1.31 | 1.53 | 0.48 | 0.54 | |
| [s·%] | 0.53 | 0.37 | 0.33 | 1.19 | 0.77 | 0.71 | 0.66 | 0.68 | 0.29 | 0.34 | 0.11 | 0.12 | |
| 0.09 | 0.29 | 0.09 | 0.08 | 0.09 | 0.26 | 0.13 | 0.11 | 0.40 | 0.14 | 0.25 | 0.14 | ||
| s2 A | s2 B | s2 C | s2 D | ||||||||||
| p1 | p2 | p3 | p1 | p2 | p3 | p1 | p2 | p3 | p1 | p2 | p3 | ||
| k1 | [s·%] | 27.44 | 19.14 | 19.03 | 30.51 | 27.56 | 25.60 | 20.49 | 15.61 | 13.23 | 9.14 | 3.55 | 2.96 |
| [s·%] | 1.22 | 1.18 | 0.99 | 2.28 | 0.99 | 1.51 | 1.03 | 0.76 | 0.70 | 0.97 | 0.29 | 0.19 | |
| [s·%] | 0.27 | 0.26 | 0.22 | 0.51 | 0.22 | 0.34 | 0.39 | 0.24 | 0.18 | 0.22 | 0.06 | 0.04 | |
| 0.45 | 0.17 | 0.26 | 0.92 | 0.37 | 0.77 | 0.60 | 0.54 | 0.23 | 0.57 | 0.69 | 0.77 | ||
| k2 | [s·%] | 28.40 | 21.12 | 20.51 | 47.09 | 27.73 | 26.49 | 37.38 | 18.59 | 13.93 | 9.27 | 4.04 | 3.62 |
| [s·%] | 2.26 | 1.33 | 0.97 | 4.22 | 1.79 | 1.34 | 2.55 | 1.55 | 0.90 | 0.79 | 0.30 | 0.25 | |
| [s·%] | 0.51 | 0.30 | 0.22 | 0.94 | 0.40 | 0.30 | 0.91 | 0.18 | 0.18 | 0.18 | 0.07 | 0.06 | |
| 0.32 | 0.47 | 0.75 | 0.33 | 0.77 | 0.28 | 0.11 | 0.10 | 0.09 | 0.16 | 0.19 | 0.10 | ||
| k3 | [s·%] | 30.90 | 25.77 | 24.70 | 53.40 | 38.99 | 33.85 | 50.58 | 30.40 | 27.87 | 9.69 | 6.50 | 5.28 |
| [s·%] | 2.47 | 1.31 | 1.92 | 4.40 | 2.89 | 2.20 | 7.94 | 3.31 | 1.56 | 0.74 | 0.40 | 0.49 | |
| [s·%] | 0.55 | 0.29 | 0.43 | 0.98 | 0.65 | 0.49 | 0.94 | 0.68 | 0.37 | 0.16 | 0.09 | 0.11 | |
| 0.47 | 0.82 | 0.49 | 0.50 | 0.70 | 0.13 | 0.12 | 0.21 | 0.55 | 0.60 | 0.22 | 0.05 | ||
| s3 A | s3 B | s3 C | s3 D | ||||||||||
| p1 | p2 | p3 | p1 | p2 | p3 | p1 | p2 | p3 | p1 | p2 | p3 | ||
| k1 | [s·%] | 20.50 | 18.63 | 18.41 | 28.66 | 26.95 | 25.76 | 20.49 | 15.61 | 13.23 | 5.20 | 4.15 | 3.16 |
| [s·%] | 1.03 | 0.84 | 1.16 | 1.89 | 2.09 | 2.44 | 1.03 | 0.76 | 0.70 | 0.43 | 0.19 | 0.22 | |
| [s·%] | 0.23 | 0.19 | 0.26 | 0.42 | 0.47 | 0.55 | 0.23 | 0.17 | 0.16 | 0.10 | 0.04 | 0.05 | |
| 0.87 | 0.83 | 0.91 | 0.18 | 0.43 | 0.36 | 0.60 | 0.54 | 0.23 | 0.30 | 0.69 | 0.65 | ||
| k2 | [s·%] | 25.12 | 24.69 | 18.78 | 47.77 | 44.19 | 27.55 | 37.38 | 18.59 | 13.93 | 8.77 | 5.37 | 3.71 |
| [s·%] | 1.40 | 1.49 | 1.45 | 3.49 | 3.40 | 1.53 | 2.55 | 1.55 | 0.90 | 1.23 | 0.75 | 0.27 | |
| [s·%] | 0.31 | 0.33 | 0.32 | 0.76 | 0.78 | 0.34 | 0.57 | 0.35 | 0.20 | 0.28 | 0.17 | 0.06 | |
| 0.87 | 0.51 | 0.27 | 0.06 | 0.72 | 0.12 | 0.11 | 0.10 | 0.09 | 0.07 | 0.07 | 0.11 | ||
| k3 | [s·%] | 34.89 | 31.92 | 24.89 | 54.19 | 53.90 | 39.79 | 50.58 | 30.40 | 27.87 | 10.05 | 8.31 | 6.79 |
| [s·%] | 2.50 | 1.98 | 1.10 | 4.82 | 5.03 | 4.79 | 7.94 | 3.31 | 1.56 | 0.70 | 0.60 | 0.63 | |
| [s·%] | 0.56 | 0.25 | 0.44 | 1.08 | 1.12 | 1.07 | 1.77 | 0.74 | 0.35 | 0.16 | 0.13 | 0.14 | |
| 0.67 | 0.91 | 0.89 | 0.28 | 0.12 | 0.31 | 0.12 | 0.21 | 0.55 | 0.29 | 0.13 | 0.09 | ||
| s1 A | s1 B | s1 C | s1 D | |||||
|---|---|---|---|---|---|---|---|---|
| p1-3 | 166.07 | 8.46 × 10−41 | 206.21 | 2.69 × 10−46 | 665.36 | 2.10 × 10−81 | 1192.56 | 3.74 × 10−101 |
| k1-3 | 39.62 | 7.29 × 10−15 | 96.99 | 7.02 × 10−29 | 472.89 | 2.09 × 10−70 | 2350.68 | 4.16 × 10−125 |
| Interaction | 18.34 | 1.48 × 10−12 | 15.84 | 4.74 × 10−11 | 31.42 | 1.29 × 10−19 | 540.83 | 7.04 × 10−96 |
| s2 A | s2 B | s2 C | s2 D | |||||
| p1-3 | 170.93 | 1.64 × 10−41 | 429.84 | 1.99 × 10−67 | 667.01 | 1.74 × 10−81 | 201.49 | 1.09 × 10−45 |
| k1-3 | 404.84 | 1.4 × 10−65 | 539.42 | 1.38 × 10−74 | 830.89 | 8.42 × 10−89 | 1673.81 | 5.09 × 10−113 |
| Interaction | 5.42 | 0.000393 | 71.40 | 1.85 × 10−35 | 111.28 | 1.59 × 10−46 | 29.07 | 1.93 × 10−18 |
| s3 A | s3 B | s3 C | s3 D | |||||
| p1-3 | 877.56 | 1.2 × 10−90 | 599.86 | 5.16 × 10−78 | 621.09 | 3.79 × 10−79 | 654.92 | 6.96 × 10−81 |
| k1-3 | 135.90 | 4.68 × 10−36 | 216.88 | 1.25 × 10−47 | 551.69 | 2.61 × 10−75 | 443.29 | 2.20 × 10−68 |
| Interaction | 106.42 | 2.44 × 10−45 | 42.02 | 1.65 × 10−24 | 53.29 | 4.26 × 10−29 | 31.77 | 8.65 × 10−20 |
| s1 A | s1 B | s1 C | s1 D | ||||||||||
|---|---|---|---|---|---|---|---|---|---|---|---|---|---|
| p1 | p2 | p3 | p1 | p2 | p3 | p1 | p2 | p3 | p1 | p2 | p3 | ||
| k1 | [%] | 25.39 | 24.00 | 23.48 | 39.12 | 37.31 | 36.73 | 31.23 | 24.50 | 23.27 | 11.56 | 6.27 | 4.42 |
| [%] | 2.50 | 2.28 | 2.02 | 3.12 | 4.01 | 2.69 | 1.33 | 3.02 | 2.61 | 1.20 | 0.88 | 0.23 | |
| k2 | [%] | 30.03 | 26.41 | 26.48 | 42.60 | 41.79 | 39.19 | 37.67 | 27.87 | 23.41 | 19.50 | 10.24 | 4.54 |
| [%] | 2.81 | 2.01 | 1.70 | 4.98 | 2.52 | 4.39 | 5.31 | 2.89 | 3.11 | 2.48 | 1.58 | 0.54 | |
| k3 | [%] | 45.34 | 33.31 | 29.15 | 82.80 | 47.13 | 46.68 | 68.56 | 52.00 | 35.79 | 31.26 | 10.92 | 8.19 |
| [%] | 3.23 | 2.05 | 2.73 | 14.97 | 5.32 | 5.42 | 8.01 | 8.53 | 3.15 | 4.17 | 1.20 | 1.06 | |
| s2 A | s2 B | s2 C | s2 D | ||||||||||
| p1 | p2 | p3 | p1 | p2 | p3 | p1 | p2 | p3 | p1 | p2 | p3 | ||
| k1 | [%] | 45.06 | 22.39 | 21.59 | 41.07 | 39.85 | 35.12 | 29.58 | 23.18 | 21.21 | 16.48 | 6.27 | 4.93 |
| [%] | 5.96 | 1.68 | 1.68 | 3.68 | 2.73 | 2.39 | 2.00 | 2.83 | 2.27 | 1.84 | 0.67 | 0.61 | |
| k2 | [%] | 47.47 | 25.40 | 24.98 | 71.93 | 41.01 | 38.39 | 66.46 | 24.93 | 24.00 | 17.75 | 6.90 | 5.21 |
| [%] | 3.54 | 1.77 | 1.58 | 9.72 | 3.52 | 1.77 | 8.72 | 2.51 | 1.81 | 2.61 | 0.51 | 0.48 | |
| k3 | [%] | 57.45 | 33.05 | 31.73 | 104.24 | 56.48 | 50.49 | 106.33 | 57.24 | 41.03 | 19.40 | 11.57 | 9.09 |
| [%] | 5.29 | 3.30 | 3.25 | 9.45 | 7.23 | 5.30 | 16.12 | 6.73 | 4.48 | 1.95 | 1.23 | 1.64 | |
| s3 A | s3 B | s3 C | s3 D | ||||||||||
| p1 | p2 | p3 | p1 | p2 | p3 | p1 | p2 | p3 | p1 | p2 | p3 | ||
| k1 | [%] | 29.77 | 26.13 | 24.13 | 44.96 | 43.42 | 42.16 | 37.77 | 29.80 | 25.23 | 10.87 | 7.98 | 5.87 |
| [%] | 2.59 | 2.56 | 2.08 | 3.97 | 4.23 | 3.32 | 2.39 | 2.93 | 2.76 | 1.62 | 0.83 | 0.86 | |
| k2 | [%] | 46.94 | 37.62 | 25.02 | 84.05 | 59.66 | 45.80 | 80.83 | 40.38 | 28.50 | 15.92 | 12.79 | 5.99 |
| [%] | 5.09 | 3.21 | 2.42 | 10.83 | 5.97 | 3.85 | 10.10 | 5.25 | 2.78 | 2.64 | 3.18 | 0.83 | |
| k3 | [%] | 63.40 | 39.89 | 51.92 | 119.42 | 76.89 | 62.19 | 121.10 | 66.31 | 61.20 | 20.61 | 15.13 | 15.03 |
| [%] | 5.52 | 3.88 | 3.68 | 13.28 | 8.12 | 6.03 | 15.66 | 7.93 | 3.71 | 2.15 | 1.44 | 1.65 | |
| ID1 | ID3 | ID5 | ||||||||||||
|---|---|---|---|---|---|---|---|---|---|---|---|---|---|---|
| k1 | p1 | push | 728.0 | 67.6 | 60.1 | 3.7 | 611.3 | 41.6 | 28.0 | 1.3 | 375.2 | 20.2 | 9.7 | 0.8 |
| return | 658.9 | 25.6 | 68.4 | 0.6 | 533.2 | 40.8 | 23.8 | 1.8 | 261.4 | 11.7 | 6.1 | 0.2 | ||
| p2 | push | 773.7 | 19.1 | 62.9 | 3.6 | 614.1 | 16.2 | 29.5 | 1.3 | 358.4 | 9.2 | 10.1 | 0.8 | |
| return | 707.6 | 59.7 | 69.6 | 3.6 | 564.4 | 73.0 | 26.4 | 1.5 | 327.3 | 64.9 | 9.0 | 0.5 | ||
| p3 | push | 630.8 | 8.2 | 48.0 | 2.5 | 503.0 | 15.2 | 24.7 | 1.1 | 408.0 | 21.6 | 12.9 | 1.5 | |
| return | 565.9 | 33.9 | 55.5 | 5.9 | 516.4 | 10.5 | 24.9 | 3.4 | 335.9 | 9.0 | 13.2 | 1.4 | ||
| k2 | p1 | push | 815.9 | 94.5 | 73.3 | 4.0 | 689.5 | 18.1 | 37.9 | 0.8 | 380.9 | 9.6 | 12.0 | 1.1 |
| return | 787.2 | 24.3 | 70.3 | 2.1 | 646.7 | 18.9 | 27.9 | 1.8 | 340.3 | 35.3 | 14.4 | 1.5 | ||
| p2 | push | 777.9 | 47.7 | 71.2 | 7.2 | 633.8 | 21.5 | 33.8 | 1.1 | 392.8 | 6.3 | 15.6 | 1.0 | |
| return | 743.7 | 25.1 | 74.9 | 5.0 | 586.8 | 49.4 | 33.2 | 1.8 | 316.1 | 9.1 | 12.6 | 2.5 | ||
| p3 | push | 625.2 | 23.4 | 50.2 | 14.9 | 590.1 | 19.5 | 27.7 | 1.9 | 453.3 | 31.7 | 14.8 | 4.8 | |
| return | 591.4 | 46.5 | 58.0 | 3.0 | 448.0 | 35.0 | 29.8 | 1.8 | 342.6 | 21.4 | 16.6 | 1.9 | ||
| k3 | p1 | push | 883.3 | 24.1 | 83.3 | 2.0 | 697.2 | 49.0 | 40.3 | 1.4 | 446.8 | 48.3 | 20.0 | 0.4 |
| return | 903.2 | 24.8 | 82.0 | 3.6 | 756.6 | 18.5 | 35.9 | 2.9 | 369.0 | 20.2 | 16.1 | 1.6 | ||
| p2 | push | 816.3 | 8.6 | 78.4 | 1.8 | 667.1 | 43.5 | 36.6 | 1.4 | 401.5 | 10.8 | 17.1 | 0.9 | |
| return | 776.2 | 30.6 | 80.9 | 3.1 | 614.4 | 27.9 | 33.6 | 1.8 | 336.7 | 22.7 | 22.5 | 2.0 | ||
| p3 | push | 762.1 | 28.1 | 66.2 | 8.5 | 650.9 | 28.5 | 36.1 | 3.0 | 479.8 | 4.2 | 19.2 | 0.8 | |
| return | 726.8 | 69.8 | 69.6 | 4.4 | 618.9 | 68.7 | 32.6 | 4.8 | 358.8 | 70.3 | 16.3 | 0.5 | ||
| Wrist ID1 | |||||||
|---|---|---|---|---|---|---|---|
| k1 | p1 | 585.26 | 213.09 | 0.0208 | 20.75 | 12.66 | 0.0007 |
| p2 | 623.55 | 199.97 | 0.0266 | 22.21 | 17.96 | 0.0007 | |
| p3 | 536.18 | 194.33 | 0.0197 | 83.63 | 19.62 | 0.0051 | |
| k2 | p1 | 703.92 | 195.65 | 0.0324 | 21.11 | 1.68 | 0.0023 |
| p2 | 659.20 | 191.64 | 0.0309 | 22.72 | 19.66 | 0.0054 | |
| p3 | 517.41 | 120.85 | 0.0204 | 19.63 | 6.44 | 0.0027 | |
| k3 | p1 | 696.84 | 162.23 | 0.0314 | 8.50 | 12.30 | 0.0105 |
| p2 | 632.86 | 141.42 | 0.0240 | 34.15 | 14.40 | 0.0027 | |
| p3 | 640.89 | 149.32 | 0.0225 | 31.33 | 10.92 | 0.0025 | |
| Elbow ID3 | |||||||
| k1 | p1 | 528.47 | 253.25 | 0.0453 | 34.31 | 14.23 | 0.0052 |
| p2 | 514.40 | 240.35 | 0.0548 | 18.83 | 20.26 | 0.0020 | |
| p3 | 473.46 | 222.66 | 0.0329 | 35.18 | 10.87 | 0.0083 | |
| k2 | p1 | 503.50 | 215.90 | 0.0486 | 17.82 | 2.24 | 0.0021 |
| p2 | 488.91 | 208.72 | 0.0410 | 28.93 | 17.87 | 0.0049 | |
| p3 | 408.18 | 152.26 | 0.0378 | 63.07 | 8.39 | 0.0036 | |
| k3 | p1 | 530.65 | 180.27 | 0.0504 | 9.48 | 6.90 | 0.0066 |
| p2 | 488.51 | 171.92 | 0.0444 | 38.86 | 6.59 | 0.0081 | |
| p3 | 520.38 | 163.77 | 0.0457 | 31.95 | 6.52 | 0.0040 | |
| Shoulder ID5 | |||||||
| k1 | p1 | 214.30 | 137.46 | 0.0139 | 26.78 | 14.56 | 0.0023 |
| p2 | 169.96 | 131.14 | 0.0117 | 20.64 | 11.22 | 0.0010 | |
| p3 | 263.54 | 142.30 | 0.0148 | 22.77 | 5.56 | 0.0007 | |
| k2 | p1 | 248.72 | 136.57 | 0.0175 | 4.55 | 2.53 | 0.0001 |
| p2 | 236.59 | 139.18 | 0.0120 | 43.65 | 13.84 | 0.0045 | |
| p3 | 268.57 | 100.06 | 0.0170 | 16.76 | 12.11 | 0.0022 | |
| k3 | p1 | 267.42 | 121.34 | 0.0177 | 47.39 | 16.21 | 0.0045 |
| p2 | 216.70 | 102.97 | 0.0151 | 26.04 | 12.55 | 0.0024 | |
| p3 | 237.46 | 105.86 | 0.0174 | 9.12 | 4.94 | 0.0011 | |
Publisher’s Note: MDPI stays neutral with regard to jurisdictional claims in published maps and institutional affiliations. |
© 2022 by the authors. Licensee MDPI, Basel, Switzerland. This article is an open access article distributed under the terms and conditions of the Creative Commons Attribution (CC BY) license (https://creativecommons.org/licenses/by/4.0/).
Share and Cite
Kukla, M.; Wieczorek, B.; Warguła, Ł.; Rybarczyk, D.; Górecki, J. Manual Wheelchair Equipped with a Planetary Gear-Research Methodology and Preliminary Results. Appl. Sci. 2022, 12, 7737. https://doi.org/10.3390/app12157737
Kukla M, Wieczorek B, Warguła Ł, Rybarczyk D, Górecki J. Manual Wheelchair Equipped with a Planetary Gear-Research Methodology and Preliminary Results. Applied Sciences. 2022; 12(15):7737. https://doi.org/10.3390/app12157737
Chicago/Turabian StyleKukla, Mateusz, Bartosz Wieczorek, Łukasz Warguła, Dominik Rybarczyk, and Jan Górecki. 2022. "Manual Wheelchair Equipped with a Planetary Gear-Research Methodology and Preliminary Results" Applied Sciences 12, no. 15: 7737. https://doi.org/10.3390/app12157737
APA StyleKukla, M., Wieczorek, B., Warguła, Ł., Rybarczyk, D., & Górecki, J. (2022). Manual Wheelchair Equipped with a Planetary Gear-Research Methodology and Preliminary Results. Applied Sciences, 12(15), 7737. https://doi.org/10.3390/app12157737

