You are currently viewing a new version of our website. To view the old version click .
Applied Sciences
  • Article
  • Open Access

27 July 2022

UHT Milk Characterization by Electrical Impedance Spectroscopy

,
,
and
Dipartimento di Ingegneria, University of Messina, 98166 Messina, Italy
*
Author to whom correspondence should be addressed.
This article belongs to the Special Issue Advanced Research in Electronics: The Perspective of Women

Abstract

Ultra-High Temperature (UHT) pasteurized milk is the most diffused variety of milk in Europe. In this paper, a method is presented, employing Electrical Impedance Spectroscopy to characterize the different commercial milks commonly available in grocery stores and supermarkets. The curves of the measured admittance allow for the classification of the type of milk (whole, semi-skimmed, fat-free) and to distinguish lactose-free milk. An electrical circuit model has been derived and different values of circuit parameters add interesting information on the classification of the samples. Furthermore, the characterization allows for the identification of the degradation of the milk before it is visible to the eye, thus highlighting the difference between storage in the fridge and at room temperature, and identifying expired milk.

1. Introduction

Milk is an essential nourishment for human body, both for its development and the maintenance of good health [1,2,3]. Nowadays, there is a great variety of milk on the market classified according to different factors such as, for example, the thermal processing method (raw, pasteurized, ultra-pasteurized), the percentage of fat (whole, skimmed, semi-skimmed, fat-free), the nutrient concentration (with vitamins added, fortified), the absence of lactose. In Europe, the Ultra-High Temperature (UHT) pasteurized milk is the most variety of milk [4]. The UHT processing consists of sterilizing milk by heating it above 135 °C, that is the temperature required to kill many bacteria and spores, for about 2 to 5 s, which gives the milk a shelf life of several months [5]. Indeed, UHT milk can sit out unrefrigerated for about three months (this can vary by brand), and once the container is opened, the milk should be refrigerated and has the same shelf life as other milk (about seven to ten days).
As milk is subjected to degradation or adulteration, careful testing methods are needed. For example, considering the importance of milk in our daily diet and the increased environmental pollutants, methods to assess the heavy metals in milk have been developed [6]. In [7], a liquid chromatography–tandem mass spectrometry (UHPLC-MS/MS) method for lactose determination in commercial UHT milk samples was developed and validated. However, due to the cost and the complexity of the standard analyses, the efforts are focused on the development and optimization of alternative techniques. Electrical Impedance Spectroscopy (EIS) has proven to be a valid study method in the field of food safety [8,9,10,11,12,13,14,15]. EIS has also been applied to the study of the quality of milk [16,17,18], to the detection of aflatoxins (one of the most hazardous compounds in foodstuffs) [19,20], to quantify the content of bacteria in raw cows’ milk [21,22], to study milk composition and classification [23,24,25,26,27,28,29,30], to detect milk adulteration [31,32] and mastitis [33,34,35,36,37,38,39], one of the most important factors that affects the quality of the milk and reduces the milk yield and the well-being of the cows, also causing relevant economic damages. In these studies, however, the EIS technique is either associated with other characterization techniques or requires special sample preparation or the use of specially designed and manufactured sensors and hardware. Moreover, in many of these works, it is not the actual impedance that is used, but rather the study of electrical quantities, such as conductivity or dielectric permittivity. In this paper we want to propose a study based on the analysis of commercial milk samples, as purchased on the market, without any initial preparation, by means of a conventional impedance meter and through the circuital interpretation of the obtained results. This work is a preliminary study that aims to demonstrate the potential of the method, which makes it possible to distinguish between the different types of milk (whole, partially skimmed, fat-free, lactose-free) and between the milk stored correctly in the refrigerator or left at room temperature once opened. Obviously, validation with a large-scale work would be needed to make the impedance measurements on a par with the officially recognized techniques for studying milk quality.
The paper is organized as follows: Section 2 illustrates the samples and tools used for the investigation; Section 3, divided into three sub-sections, illustrates the results of the measurements from a qualitative and quantitative point of view on the classification of the different types of milk and, in the last subsection, the effects of the methods of storage and expiration is studied; in Section 4, some considerations are made on the results obtained and on possible future developments; in Section 5, the conclusions are drawn.

2. Materials and Methods

Four different brands, among the most widespread in the markets of all of the Italian regions, were considered for the characterization and, for each brand, samples of whole (WM) and semi-skimmed (SSM) types of milk were considered. For three out of the four brands, lactose-free (LFM) milk samples were also considered (because they were available in the markets), and, for two brands, fat-free (FF) milk (one of which also lactose-free) was also considered. The main nutritional values of the samples are reported in Table 1.
Table 1. Main nutritional values * of milk samples.
The different types of milk in Table 1 with the same numerical digit are produced by the same brand. The milk of the brands 2, 3, and 4 is available in Tetra Pak, while the milk of brand 1 is available in plastic bottles.
The impedance measurements were performed employing a benchtop LCR meter, the Agilent 4284A (Agilent, Santa Clara, CA, USA). The LCR Meter was interfaced with a personal computer by a dedicated software developed in Lab Windows CVI, in order to allow an easier visualization of the measured admittances and for data storage for postprocessing, performed by OriginPro 2021b (Origin Lab Inc., Northampton, MA, USA). The calibration corrections were performed before the measurements, in order to eliminate errors due to cables’ impedance. The measurements were performed in the frequency range 20–100 kHz.
The milk samples were in cylindrical containers with a diameter of 35 mm and a height of 30 mm. The containers were filled up to the height of 20 mm (clearly marked).
Planar technology was selected to realize the compact and lightweight sensing probes. In detail, the RO3010 substrate was employed. Manufactured by Rogers Corporation (Chandler, AZ, USA) [40], it is a ceramic-filled Polytetrafluoroethylene (PTFE) composite (er = 10.2 ± 0.3, t = 640 mm), with 17.5 mm-thick copper metallization. The probes, gold plated, were realized in a cost-effective way by employing an in-laboratory prototyping system, a high precision mechanical plotter S103 Protomat by LPKF Laser & Electronics (Garbsen, Germany). The geometry was optimized to reduce parasitic effects.
The layout and a picture of the electrode are shown in Figure 1, whereas the values of the lengths in Figure 1 are reported in Table 2.
Figure 1. The layout (a) and a picture (b) of the electrode employed to perform measurements. The geometry was optimized to reduce parasitic effects.
Table 2. Size of electrode parameters.
Figure 2 shows the assembly of the electrodes and their positioning inside the sample holder.
Figure 2. Schematic of the assembly of the electrodes and their positioning inside the sample holder. The overlap of the electrodes is performed in such a way as to minimize parasitic capacitive couplings above the milk level.
The measurements were performed with the samples at a temperature of 23 °C. The samples from six different packs were characterized for each type of milk. All of the compared samples had the same expiration period, except for the expired ones. The characteristics of all of the types of milk by category (whole, semi-skimmed) were compared; the different types of milk belonging to the same brand were compared, highlighting the differences between the whole, semi-skimmed, fat-free and lactose-free milk; the variation in the characteristics of the stored milk, once opened, at room temperature or in the refrigerator was studied; the change in the characteristics of the expired milk was highlighted.

3. Results

3.1. Qualitative Analysis and Milk Classification

First of all, a qualitative comparison of the results of the measurements was carried out by comparing the plots of the obtained admittances. In Figure 3a,b, we show the imaginary (or susceptance) and real (conductance) part of the admittance of four whole milk samples from the different brands. As is evident, the trend is superimposable for all of the curves. As can be seen from Table 1, the composition of the different types of milk is practically the same, as required by current European legislation. Therefore, it is not surprising that, under the same conditions (temperature, expiration date, measurement electrodes) the admittance trend is of the same type for each milk and the ranges of values only change a little bit. In Figure 3c,d we report the admittance (imaginary and real part) of the samples of semi-skimmed milk, of different brands. Although, in this case the curves also appear to overlap, a deviation from the other three seems evident for one of the brands (brand 3). This deviation is probably due to the fact that the semi-skimmed milk from brand 3 has also undergone a microfiltration process, which slightly altered its electrical characteristics. Anyway, for all of the samples, it can be observed that in the susceptance curves, a peak is present. The low frequency region (lower than the frequency at which the peak occurs) represents the electrical characteristic of the interface between the milk and the electrodes, while the high frequency region provides information about the milk itself. The frequency of the peak represents the relaxation frequency of the electrode polarization [28].
Figure 3. (a) Imaginary and (b) real parts of the measured admittances for whole milk samples from different brands; (c) imaginary and (d) real parts of the measured admittances for semi-skimmed milk samples from different brands.
In Figure 4, the imaginary part of the admittances of different types (whole, semi-skimmed, fat-free, lactose-free) of the milk from the same brand is reported. The blue curve and the red curve refer to the semi-skimmed and whole milk, respectively. For each of the analyzed brands, the maximum of the curve for the semi-skimmed milk is higher (about 4%) than the maximum of the curve for the whole milk. This observation confirms that the imaginary part of the admittance is strictly related to the content of the fats [28]. The higher the fat content, the lower the peak (with the same composition in terms of the remaining nutritional values). The blue curve and the green curve refer to the milk samples with the same content of fat, but the green one is the susceptance of a lactose-free milk. For each of the brands analyzed, the maximum of the curve for the semi-skimmed milk is higher (about 6–8%) than the maximum of the curve for the lactose-free semi-skimmed milk. That is, with the same nutritional values, the lactose-free milk has a susceptance with a lower peak than the milk with lactose. The light blue curve relates to the fat-free and lactose-free milk. Compared to the semi-skimmed milk (blue curve), the absence of fat tends to raise the peak value, but the absence of lactose tends to lower it. As a result, the peak is only slightly higher than in the case of the semi-skimmed milk.
Figure 4. (a) Imaginary part of the admittances of different types (whole, semi-skimmed, fat and lactose-free, lactose-free) of milk from the same brand; (b) Detail of Figure 3a.
In Figure 5, a comparison is reported between the fat-free (but with lactose) milk and the semi-skimmed and whole milk from the same brand, but different from the brand in Figure 4.
Figure 5. Imaginary part of the admittances of different types (whole, semi-skimmed, fat-free) of milk from the same brand. The height of the peak is inversely proportional to the fat content.
In Figure 6, the real part of the admittance is reported, that is the conductance, of the same milk samples of Figure 4. For the conductance, the same considerations made for the susceptance hold, that is that at the higher frequencies (>1 kHz) the value of the conductance increases with a decrease in the fat content. The absence of lactose lowers the value of the conductance.
Figure 6. Real part of the admittance, that is the conductance, of the same milk samples of Figure 4.
Although the admittance measurement is a very interesting method for the characterization of milk whose composition is known, it could fail as a blind detection technique. Indeed, as can be easily seen from Figure 4 and Figure 6, errors could arise in the distinction between the semi-skimmed milk (blue curves in the figures) and the semi-skimmed, fat-free and lactose-free milk (light blue curves), or even between the whole milk (red curves) and the lactose-free milk (green curves). In order to perform a more quantitative analysis, that can dispel any doubts, the equivalent circuit for the electrical description of the milk’s behavior was obtained from the curves and, as described in the next section, the values of the electronic components were used for the purpose.

3.2. Quantitative Analysis: Milk Identification

A few works [17,28,29] in the scientific literature present a possible circuit modeling milk, based on a parallel circuit between a capacitance and a series of a capacitance and a resistance. Nevertheless, the fitting operation revealed that the electrode/milk interface cannot be modelled as an ideal capacitor but as a constant phase element (CPE), which models a non-ideal behavior of a capacitor [41]. The equivalent electrical circuit of the milk is then reported in Figure 7. The capacitance C represents the capacitance of the two electrodes separated by the characterized milk, while the resistance R represents the milk conductance.
Figure 7. Equivalent circuit of milk. The constant phase element (CPE) models the interface electrode/milk; the capacitance C represents the capacitance of the two electrodes separated by the characterized milk; the resistance R represents the milk conductance.
Working a little on the circuit shown in Figure 7, the series of the CPE admittance (YCPE) and of the resistance R conductance (1/R) is:
Y S = Y C P E 1 + R Y C P E  
with
Y C P E = Q ( j ω ) n
where ω is the angular frequency; Q and n are the characteristic parameters of the CPE. The expression of the admittance of the circuit in Figure 7 is:
Y = R Q 2 ω 2 n + Q ( j ω ) n 1 + R 2 Q 2 ω 2 n + j ω C
and from Equation (3) we can derive the real (Re(Y)) and imaginary part (Im(Y)) of the admittance, as follows:
R e ( Y ) = R Q 2 ω 2 n + Q ω n cos ( n π 2 ) 1 + R 2 Q 2 ω 2 n
I m ( Y ) = Q ω n sin ( n π 2 ) 1 + R 2 Q 2 ω 2 n + ω C
Using the Equations (4) and (5), fitting operations were performed on the measured admittances in order to estimate the values of the components that characterize the circuit in Figure 7. In Table 3, the obtained results are summarized, and in Table 4, the maximum errors for the estimation of circuit parameters by fitting operation are reported. For each type of milk, the average values obtained from the measurements on several samples (six for each type) are reported. The measured values deviate less than 5%, 1.5%, 1% and 0.2% from the average values of C, R, Q and n, respectively.
Table 3. Values of the components of the circuit in Figure 7, obtained by means of fitting operation on the data obtained with the measurements on milk samples.
Table 4. Maximum error values for the estimation of circuit parameters, reported in Table 3, by fitting operation.
Observing the obtained results, it is clear that the whole milk, for three of the four brands analyzed, has a lower capacity value than the corresponding semi-skimmed milk. This could be explained because fats have a lower dielectric constant than the other components of milk. However, samples 1 (WM1 and SSM1) show no substantial differences in capacity values between the whole milk and semi-skimmed milk. The only noticeable difference between these samples and the others is that these are distributed in plastic bottles, while the others in Tetra Pak. We cannot conclude, however, at present, that the difference is due to this fact, but an investigation in this sense can certainly constitute an interesting future development.
As for the lactose-free milk samples, they have a higher capacity than the semi-skimmed milk, although they have the same amount of fat. Lactose is a disaccharide sugar, therefore complex, and it needs to be broken down into its two main monosaccharides components, glucose and galactose, to be digested correctly. Lactose-free milk has the lactose already divided into the glucose and galactose and these two monosaccharides have a higher dielectric constant [42] with respect to lactose; this fact should explain the higher capacitance values of the lactose-free milk.
Although the distinction between the capacity values of the whole milk and lactose-free milk is evident from Figure 8, in order to validate measurement results more rigorously a statistical analysis was performed by means of a PCA (Principal Components Analysis, with XLSTAT software, by Addinsoft Inc., New York, NY, USA) with all of the variables obtained for the circuit parameters, and whose mean values are reported in Table 3. The analysis was performed for each brand, to distinguish all of the types of milk. The n parameter is not included in the analysis because it is a constant for each brand. The correlation matrix was calculated by Pearson’s method and the performed analysis, whose results are shown as an example for brand 3, in Figure 9, succeeded in obtaining two PCs (F1 and F2) with a variance large enough to successfully (94.27%) allow the clear separation of the three sample groups (whole, semi-skimmed, and lactose-free milk). The PC F1 is strictly correlated to the variables C and Q, while a strong correlation results between the PC F2 and R. This means that, in principle, only two variables, that are C (or Q) and R, are needed in order to clearly distinguish the type of milk within a brand. It is probably preferable to use C instead of Q because the concept of capacitance is a little more familiar with respect to CPE. The results shown in the figure refer to brand 3, but similar results were obtained for brand 2. For brand 1, on the other hand, the statistical analysis identifies with certainty the milk without lactose, while the only useful parameter to distinguish the whole milk from semi-skimmed milk appears to be R. If, on the other hand, the PCA analysis is carried out on five variables, that is also adding to C, Q and R the value of the susceptance at the peak frequency and the value of the high frequency conductance (for example, at 100 kHz), the results improve. For brand 1, for example, as can be seen from Figure 10, the success rate is of 92.23%. In this case, the PC F1 is strictly correlated to the variables Im(Y), Re(Y) and R, while the PC F2 is mainly correlated to Q.
Figure 8. Comparison of capacitance values to distinguish whole milk from lactose-free milk for different brands (samples from brand 2 (a); from brand 1 (b) and from brand 3 (c)).
Figure 9. PCA analysis to distinguish whole milk (WM, red dots), semi-skimmed milk (SSM, blue dots) and lactose-free milk (LFM, green dots) within brand 3. The PCA has been performed starting from the three variables C, R and Q.
Figure 10. PCA analysis to distinguish whole milk (WM, red dots), semi-skimmed milk (SSM, blue dots) and lactose-free milk (LFM, green dots) within brand 1. The PCA has been performed starting from the five variables C, R, Q, Im(Y) and Re(Y).
If the PCA analysis is performed with five variables for brand 2, as it is shown in Figure 11, a 95.12% of success is reached in the separation of the three sample groups. In this case, each type of milk occupies a different quadrant, a situation similar to the one shown in Figure 9, indicating that the five variables are redundant and therefore, for brands 2 and 3, only the values of the circuit components would be sufficient.
Figure 11. PCA analysis to distinguish whole milk (WM, red dots), semi-skimmed milk (SSM, blue dots) and lactose-free milk (LFM, green dots) within brand 2. The PCA has been performed starting from the five variables C, R, Q, Im(Y) and Re(Y).
As regards the interpretative doubt of the admittance curves relative to the semi-skimmed milk and fat-free, lactose-free milk (blue and light blue curves in Figure 4 and Figure 6), it is evident from the table that the capacitance value helps to identify with certainty the type of milk. In fact, the capacitance associated with the LFFM sample is about 30% higher than the capacitance associated with the SSM sample.

3.3. Analysis of Milk: Storage Method Comparison

On the packaging of the studied milk, the words “once opened, keep refrigerated and use within 3/4 days” are reported. We studied how the electrical characteristics of the milk change after being opened, if stored in the refrigerator or if left outside at room temperature. For this purpose, four different samples from the same milk package were prepared. One was left at room temperature, the others were stored in the fridge for 4, 5 and 7 days, respectively. Figure 12a shows the Nyquist diagram of the freshly opened milk, after 3 days and after 4 days at room temperature. A change in the characteristics can already be observed after 3 days. We did not go beyond 4 days, because on the fifth day the alteration of the milk became visible to the eye, that is, lumps and curds had become evident. From Figure 12b–d, the effect of cooling on the electrical characteristics of the milk is evident. From Figure 12b, it can be seen how the characteristics of the milk, stored in the refrigerator for 4 days, once the sample has been brought back to room temperature, overlap with those of the freshly opened milk. This can be considered evidence of the fact that storage in the fridge keeps the quality of the milk unaltered. In Figure 12c, that is, after 5 days of storage in the fridge, the differences with respect to the freshly opened milk begin to be noticed, while after a week the differences are considerable (Figure 12d).
Figure 12. (a) variation of the Nyquist diagram of a freshly opened milk sample, after three and four days of storage at room temperature; (b) variation of the Nyquist diagram of a freshly opened milk sample, after 4 days of storage in the fridge as soon as it comes out of the fridge and brought back to room temperature; (c) the same as (b) but after 5 days of storage; (d) the same as (b,c) but after a week of storage.
From the graphs in Figure 12 it is evident that the most noticeable variations occur at high frequencies (the area of the graph furthest from the origin), and this seems to suggest that the properties of the milk change, while the properties of the interface between the electrode and the milk do not change. The variations in the milk’s electrical characteristics can be explained by means of the breakdown of casein micelles, that release free ions (calcium, above all) that contribute to increase in the conductance of the samples [17]. In addition, the deformation of the fat globules and the acidification process of the milk contribute to the changes in the milk conductance and susceptance [17,43].
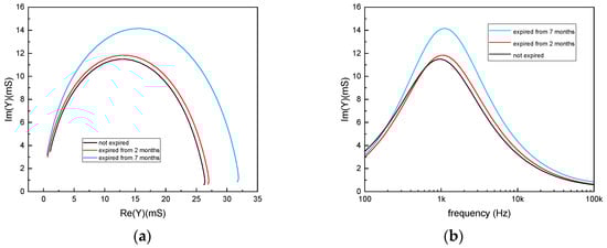
If, on the other hand, a milk sample is compared with a sample of the same type of milk but expired, probably due to the prolonged deterioration process compared to that observed in a few days, a change in the behavior of the electrode/milk interface is also noted. That is, as can be seen from Figure 13, there is a modification of the electrical characteristics even for frequencies lower than the relaxation frequency of the electrode polarization, and, as a consequence, also the n parameter, which is usually quite constant for the different milk samples from the same brand, varies appreciably.
Figure 13. Comparison among not expired milk, milk expired from 2 months and milk expired from 7 months. The samples belonged to the same type and brand of milk. In (a) the Nyquist plots are shown, in (b) the Imaginary parts of the admittance, to highlight the modification of the electrical characteristics of expired milk even for frequencies lower than the relaxation frequency of the electrode polarization.
The fitting operation on the curves in Figure 13 showed that the capacitance of the milk increased by an amount of 40% after two months past the expiration date and by 100% after seven months past the expiration date. That is, the circuital interpretation of the data could also allow the expired milk to be distinguished.

4. Discussion

The method of impedance (or admittance) measurements is undoubtedly a promising, fast and simple method. The biggest advantage is that the analyzed milk does not require any treatment before measurement. Furthermore, the availability of portable impedance analyzers would make it easy to carry out checks in the field (for example, in bars, restaurants and refreshment points, where the consumption of milk is frequent and therefore the correctness of its conservation is important). However, there is no doubt that, in order to use this technique, there is still a lot of work to be completed. First, we pointed out that the measurements strongly depend on the temperature. Although in the laboratory it is quite simple to perform temperature control, to perform measurements on the field it would not be possible, unless making the measurement system more complex and risking going against the logic of “portability”. Therefore, it is important to perform a characterization as the temperature varies, in order to derive a relationship that allows for the comparison of the data obtained under different measurement conditions.
Another point to highlight is that the measurements strongly depend on the type of electrode used, both in terms of material and geometry. It would therefore be important to standardize the electrodes to be used.
Another point to explore is the difference between each brand. The method used seems to highlight that within each brand it is possible to distinguish between the different types of milk, both by comparing the measurement curves and by the values of the components of the equivalent circuit. However, it is important to note that the samples were tested with the same expiration period and at the same temperature. For this reason, therefore, it is important to carry out a large-scale characterization. Furthermore, the investigated method certainly seems reliable for the study of different types of milk within the same brand, while variations in the electrical parameters suggest prudence in wanting to use the method for different brands together.

5. Conclusions

In this paper, a study conducted by means of Impedance Spectroscopy on the UHT milk widespread in Italian supermarkets was presented. The strengths and weaknesses of the technique were highlighted in this work. In particular, the technique is effective in identifying lactose-free milk and in discriminating between the different types of milk belonging to the same brand. It could, however, fail, at present, in attempts to identify a type of milk without the prior indication of the brand. The technique has also shown how storage in the fridge, unlike that at room temperature, maintains the characteristics of the milk unaltered and it allows for the identification of alterations in the milk stored incorrectly, before it is possible to identify it with the senses of sight and smell. Certainly, as discussed, the technique is a valid solution to be applied in laboratories but it needs further efforts to be applied as a portable control method. If efforts were made in this direction, it could become a valid method of control in refreshment points, where the consumption of milk is widespread and therefore quality control becomes fundamental for consumer protection.

Author Contributions

Conceptualization, G.S.; methodology, G.S. and C.C.; software, C.C.; validation, G.S.; formal analysis, G.S. and C.C.; investigation, G.S. and E.C.; data curation, G.S.; writing—original draft preparation, G.S.; writing—review and editing, E.C. and L.F.; visualization, E.C. and L.F.; supervision, G.S. All authors have read and agreed to the published version of the manuscript.

Funding

This research received no external funding.

Institutional Review Board Statement

Not applicable.

Data Availability Statement

The data reported in the paper are provided by the authors upon request.

Conflicts of Interest

The authors declare no conflict of interest.

References

  1. Smith, N.W.; Fletcher, A.J.; Hill, J.P.; McNabb, W.C. Modeling the Contribution of Milk to Global Nutrition. Front. Nutr. 2022, 8, 716100. [Google Scholar] [CrossRef]
  2. Gil, Á.; Ortega, R.M. Introduction and executive summary of the supplement, role of milk and dairy products in health and prevention of noncommunicable chronic diseases: A series of systematic reviews. Adv. Nutr. 2019, 10, S67–S73. [Google Scholar] [CrossRef] [PubMed]
  3. Zhang, X.; Chen, X.; Xu, Y.; Yang, J.; Du, L.; Li, K.; Zhou, Y. Milk consumption and multiple health outcomes: Umbrella review of systematic reviews and meta-analyses in humans. Nutr. Metab. 2021, 18, 7. [Google Scholar] [CrossRef] [PubMed]
  4. Rysstad, G.; Kolstad, J. Extended shelf life milk—Advances in technology. Int. J. Dairy Technol. 2006, 59, 85–96. [Google Scholar] [CrossRef]
  5. Chavan, R.S.; Chavan, S.R.; Khedkar, C.D.; Jana, A.H. UHT Milk Processing and Effect of Plasmin Activity on Shelf Life: A Review. Compr. Rev. Food Sci. Food Saf. 2011, 10, 251–268. [Google Scholar] [CrossRef]
  6. Sadeghi, N.; Behzad, M.; Homay Razavi, S.; Jannat, B.; Oveisi, M.; Hajimahmoodi, M. Measurement of Zinc, Copper, Lead, and Cadmium in the Variety of Packaging Milk and Raw Milk in Tehran Markets by Anodic Striping Voltammetry. J. Chem. Health Risks 2020, 10, 175–183. [Google Scholar] [CrossRef]
  7. Chiavelli, L.U.R.; Galuch, M.B.; Senes, C.E.R.; Maia, L.C.; Lopes, T.A.M.; Rufato, K.B.; Santos, O.O.; Visentainer, J.V. Validation of UHPLC-MS/MS Method and Measurement Uncertainty Evaluation for Lactose Quantification in Lactose-Free and Regular UHT Milk. Food Anal. Methods 2022, 15, 1418–1431. [Google Scholar] [CrossRef]
  8. Scandurra, G.; Tripodi, G.; Verzera, A. Impedance spectroscopy for rapid determination of honey floral origin. J. Food Eng. 2013, 119, 738–743. [Google Scholar] [CrossRef]
  9. Chevalier, D.; Ossart, F.; Ghommidh, C. Development of a non-destructive salt and moisture measurement method in salmon (Salmo salar) fillets using impedance technology. Food Control 2006, 17, 342–347. [Google Scholar] [CrossRef]
  10. Zhao, X.; Zhuang, H.; Yoon, S.-C.; Dong, Y.; Wang, W.; Zhao, W. Electrical Impedance Spectroscopy for Quality Assessment of Meat and Fish: A Review on Basic Principles, Measurement Methods, and Recent Advances. J. Food Qual. 2017, 2017, 6370739. [Google Scholar] [CrossRef] [Green Version]
  11. Li, M.; Li, J.; Mao, H.; Wu, Y. Diagnosis and detection of phosphorus nutrition level for Solanum lycopersicum based on electrical impedance spectroscopy. Biosyst. Eng. 2016, 143, 108–118. [Google Scholar] [CrossRef]
  12. Kuson, P.; Terdwongworakul, A. Minimally-destructive evaluation of durian maturity based on electrical impedance measurement. J. Food Eng. 2013, 116, 50–56. [Google Scholar] [CrossRef]
  13. Chowdhury, A.; Bera, T.K.; Ghoshal, D.; Chakraborty, B. Studying the electrical impedance variations in banana ripening using electrical impedance spectroscopy (EIS). In Proceedings of the 2015 3rd International Conference on Computer, Communication, Control and Information Technology, Hooghly, India, 7–8 February 2015. [Google Scholar] [CrossRef]
  14. Fuentes, A.; Vázquez-Gutiérrez, J.L.; Pérez-Gago, M.B.; Vonasek, E.; Nitin, N.; Barrett, D.M. Application of nondestructive impedance spectroscopy to determination of the effect of temperature on potato microstructure and texture. J. Food Eng. 2014, 133, 16–22. [Google Scholar] [CrossRef]
  15. Watanabe, T.; Ando, Y.; Orikasa, T.; Shiina, T.; Kohyama, K. Effect of short time heating on the mechanical fracture and electrical impedance properties of spinach (Spinacia oleracea L.). J. Food Eng. 2017, 194, 9–14. [Google Scholar] [CrossRef]
  16. Stojanović, G.M.; Sinha, A.; Ali, A.E.; Jeoti, V.; Radoičić, M.B.; Marković, D.D.; Radetić, M.M. Impedance analysis of milk quality using functionalized polyamide textile-based sensor. Comput. Electron. Agric. 2021, 191, 106545. [Google Scholar] [CrossRef]
  17. Mabrook, M.F.; Petty, M.C. Application of electrical admittance measurements to the quality control of milk. Sens. Actuators B Chem. 2002, 84, 136–141. [Google Scholar] [CrossRef]
  18. Lopes, A.M.; Machado, J.A.T.; Ramalho, E.; Silva, V. Milk Characterization Using Electrical Impedance Spectroscopy and Fractional Models. Food Anal. Methods 2018, 11, 901–912. [Google Scholar] [CrossRef]
  19. Ahmadi, S.F.; Hojjatoleslamy, M.; Kiani, H.; Molavi, H. Monitoring of Aflatoxin M1 in milk using a novel electrochemical aptasensor based on reduced graphene oxide and gold nanoparticles. Food Chem. 2022, 373, 131321. [Google Scholar] [CrossRef]
  20. Tang, X.; Catanante, G.; Huang, X.; Marty, J.L.; Wang, H.; Zhang, Q.; Li, P. Screen-printed electrochemical immunosensor based on a novel nanobody for analyzing aflatoxin M1 in milk. Food Chem. 2022, 383, 132598. [Google Scholar] [CrossRef]
  21. Soares, C.; Popolin-Neto, M.; Paulovich, F.V.; Oliveira, O.N.; Mattoso, L.H.C. Detection of Staphylococcus aureus in milk samples using impedance spectroscopy and data processing with information visualization techniques and multidimensional calibration space. Sens. Actuators Rep. 2022, 4, 100083. [Google Scholar] [CrossRef]
  22. Porto, R.W.; Ayres, L.C.; Neuenfeld, R.H.; Carvalho, C.W.; Geller, A.M.; Oliveira, W.C. Electrical Bioimpedance Scanning in Bacterial Diagnosis and Mastitis Detection. In Proceedings of the 2020 IEEE International Instrumentation and Measurement Technology Conference (I2MTC), Dubrovnik, Croatia, 25–28 May 2020; pp. 1–6. [Google Scholar] [CrossRef]
  23. Veiga, E.A.; Bertemes-Filho, P. Bioelectrical impedance analysis of bovine milk fat. J. Phys. Conf. Ser. 2012, 407, 012009. [Google Scholar] [CrossRef]
  24. Chakraborty, M.; Biswas, K. Hardware Platform to Detect Fat Percent in Milk Using a Lipase Immobilized PMMA-Coated Sensor. IEEE Trans. Instrum. Meas. 2019, 68, 4526–4534. [Google Scholar] [CrossRef]
  25. Zhu, X.; Liu, Q.; Guo, W. Dielectric properties of raw milk as influenced by frequency, salts, and salt contents. J. Food Process Eng. 2018, 41, 12885. [Google Scholar] [CrossRef]
  26. Liu, Q.; Guo, W.; Zhu, X. Effect of lactose content on dielectric properties of whole milk and skim milk. Int. J. Food Sci. Technol. 2018, 53, 2037–2044. [Google Scholar] [CrossRef]
  27. Ciosek, P.; Brudzewski, K.; Wroblewski, W. Milk classification by means of an electronic tongue and Support Vector Machine neural network. Meas. Sci. Technol. 2006, 17, 1379–1384. [Google Scholar] [CrossRef]
  28. Lawton, B.A.; Pethig, R. Determining the fat content of milk and cream using AC conductivity measurements. Meas. Sci. Technol. 1993, 4, 38. [Google Scholar] [CrossRef]
  29. Mabrook, M.F.; Petty, M.C. Effect of composition on the electrical conductance of milk. J. Food Eng. 2003, 60, 321–325. [Google Scholar] [CrossRef]
  30. Ashoorirad, M.; Baghbani, R.; Ghalamboran, M.R. Bioimpedance sensor to detect water content in milk based on van Der Pauw method. IET Nanobiotechnol. 2021, 15, 611–618. [Google Scholar] [CrossRef] [PubMed]
  31. Minetto, T.A.; França, B.D.; Dariz, G.D.S.; Veiga, E.A.; Galvão, A.C.; Robazza, W.D.S. Identifying adulteration of raw bovine milk with urea through electrochemical impedance spectroscopy coupled with chemometric techniques. Food Chem. 2022, 385, 132678. [Google Scholar] [CrossRef]
  32. Paixão, T.R.L.C.; Bertotti, M. Fabrication of disposable voltammetric electronic tongues by using Prussian Blue films electrodeposited onto CD-R gold surfaces and recognition of milk adulteration. Sens. Actuators B Chem. 2009, 137, 266–273. [Google Scholar] [CrossRef]
  33. Mottram, T.; Rudnitskaya, A.; Legin, A.; Fitzpatrick, J.L.; Eckersall, P.D. Evaluation of a novel chemical sensor system to detect clinical mastitis in bovine milk. Biosens. Bioelectron. 2007, 22, 2689–2693. [Google Scholar] [CrossRef] [PubMed]
  34. Vique, F.; Marichal, H.; Steinfeld, L. Inline mastitis detection system measuring the electrical conductivity of quarter milk. In Proceedings of the 2020 IEEE International Conference on Industrial Technology (ICIT), Buenos Aires, Argentina, 26–28 February 2020; pp. 777–784. [Google Scholar] [CrossRef]
  35. Ebrahimie, E.; Ebrahimi, F.; Ebrahimi, M.; Tomlinson, S.; Petrovski, K.R. Hierarchical pattern recognition in milking parameters predicts mastitis prevalence. Comput. Electron. Agric. 2018, 147, 6–11. [Google Scholar] [CrossRef]
  36. Ferrero, F.J.; Valledor, M.; Campo, J.C. Screening method for early detection of mastitis in cows. Measurement 2014, 47, 855–860. [Google Scholar] [CrossRef]
  37. Biggadike, H.J.; Ohnstad, I.; Laven, R.A.; Hillerton, J.E. Evaluation of measurements of the conductivity of quarter milk samples for the early diagnosis of mastitis. Vet. Rec. 2002, 150, 655–658. [Google Scholar] [CrossRef]
  38. Norberg, E.; Hogeveen, H.; Korsgaard, I.R.; Friggens, N.C.; Sloth, K.H.M.N.; Løvendahl, P. Electrical conductivity of milk: Ability to predict mastitis status. J. Dairy Sci. 2004, 87, 1099–1107. [Google Scholar] [CrossRef] [Green Version]
  39. Lien, C.-C.; Wan, Y.-N.; Ting, C.-H. Online detection of dairy cow subclinical mastitis using electrical conductivity indices of milk. Eng. Agric. Environ. Food 2016, 9, 201–207. [Google Scholar] [CrossRef]
  40. RO3000 Series High Frequency Laminates, Rogers Corporation. Available online: https://rogerscorp.com/advanced-electronics-solutions/ro3000-series-laminates/ro3010-laminates (accessed on 7 June 2022).
  41. Shoar Abouzari, M.R.; Berkemeier, F.; Schmitz, G.; Wilmer, D. On the physical interpretation of constant phase elements. Solid State Ion. 2009, 180, 922–927. [Google Scholar] [CrossRef]
  42. Fuchs, K.; Kaatze, U. Dielectric spectra of mono- and disaccharide aqueous solutions. J. Chem. Phys. 2002, 116, 7137. [Google Scholar] [CrossRef]
  43. Mucchetti, G.; Gatti, M.; Neviani, E. Electrical Conductivity Changes in Milk Caused by Acidification: Determining Factors. Int. J. Dairy Sci. 1994, 77, 940–944. [Google Scholar] [CrossRef]
Publisher’s Note: MDPI stays neutral with regard to jurisdictional claims in published maps and institutional affiliations.

Article Metrics

Citations

Article Access Statistics

Multiple requests from the same IP address are counted as one view.