Abstract
To study the blockage effects in wind tunnel tests for tall buildings with surrounding buildings and establish a reasonable calculation method for the blockage ratio, this paper carried out fifty-one test conditions of pressure model wind tunnel tests with three scale ratios. The tests considered the relative location, relative height, and model number of the surrounding buildings to those of the target building by the rigid pressure models. Based on the wind tunnel tests, the blockage effects on the pressure coefficients and drag coefficients were studied in detail. The results showed that the blockage effects were different when the relative positions of the surrounding models to the target model were different, even if the blockage ratio was the same. The blockage effects caused by the surrounding models with unit blockage ratio were usually more significant than those caused by the target pressure-measuring model itself. The existing correction methods for the blockage effects are mainly derived from the wind tunnel tests of an isolated building model. Using existing calculations to evaluate the blockage effect of wind tunnel tests for tall buildings with surrounding buildings may result in obvious deviations. Finally, the concept of the equivalent blockage ratio was proposed, which can be used to calculate the blockage ratio of wind tunnel tests of tall buildings with surrounding buildings. The proposed calculation method of this equivalent blockage ratio can provide a reference for the determination of scale ratios for wind tunnel test models of tall buildings.
1. Introduction
The blockage effect may lead to a serious distortion of wind tunnel test data. For example, a 5% blockage ratio for a rectangular prism model can increase the pressure coefficient by 20% [1]. The research results of the wind tunnel blockage effect of a single rectangular prism model shows that the windward wind pressure is less affected by the blockage effect, while the lateral and leeward wind pressure are more affected by the blockage effect, which has become a consensus [2,3,4,5,6,7,8,9,10,11,12]. Compared to a single building, the blockage effect of group buildings is usually more significant and complex [13]. Unfortunately, the existing research on the blockage effect of tall buildings mainly focuses on single model tests, while research on the blockage effect of group model tests is very scarce.
From the traditional point of view, the blockage ratio is generally defined as the ratio of the windward area of the test model compared with the cross-sectional area of the wind tunnel test section. This definition is not ambiguous for the wind tunnel tests of an isolated building, but it is worth discussing whether the definition is applicable for wind tunnel tests of group buildings. For example, according to the traditional definition of the blocking ratio, the blocking ratios of the test models shown in Figure 1 are equal, but the blocking effect may be very different.
Figure 1.
The same blocking ratio with a different layout of the surrounding buildings.
For an isolated building, it is relatively easy to control the blockage ratio and blockage effect by adjusting the scale ratio. Comparatively speaking, wind tunnel tests of group buildings are more likely to cause a significant blockage effect. In practice, super high-rise buildings are usually located within grouped buildings, where the relative height, location, and number of surrounding buildings varies, which may lead to some unpredictable phenomena such as a ‘small blockage ratio, large blockage effect’ and a ‘same blockage ratio, different blockage effect’. Therefore, it is of great practical significance to study the blockage effect of wind tunnel tests on tall buildings with surrounding buildings, which can provide a reference to determine the scale ratio of test models. In light of this, a series of wind tunnel tests was carried out in this paper.
2. Wind Tunnel Tests
2.1. Wind Tunnel Tests
The wind tunnel tests were conducted in the boundary layer wind tunnel of Wuhan University, China, where the cross-section of the wind tunnel is 3.2 m wide × 2.1 m high. The aerodynamic contour of the wind tunnel is illustrated in Figure 2.
Figure 2.
The aerodynamic contour of the wind tunnel.
The target pressure-measuring model is a square-shaped cylinder with an aspect ratio of 4. To avoid the influence of the scale ratio of the wind field on the test data, the wind field was set as a smooth uniform flow. The research object of this paper was the mean wind pressure coefficient and drag coefficient, so research results in uniform flow are also applicable to the turbulent field in the atmospheric boundary layer. For the isolated pressure model, wind tunnel tests of three scale ratios were carried out in this study. For the grouped building models, three scale ratios, eight relative positions, and two relative heights of the pressure model and the surrounding model were considered in this study. A total of 51 test conditions were carried out in this paper. The test models were defined as a large model, medium model, and small model, respectively, according to the scale ratio from large to small. If it is assumed that the real size of the tall building is 240 m high and 60 m wide, the scale ratios of the large model, medium model, and small model were 1/200, 1/300 and 1/600, respectively. Figure 3 shows the layout of the pressure points on the target pressure-measuring model. Figure 4 shows the layout of the grouped tall buildings.
Figure 3.
The layout of the pressure points of the model.
Figure 4.
The layout of the real grouped tall buildings.
Table 1 shows the geometric dimensions of the isolated and group models with different scale ratios in the wind tunnel. Table 2 shows the projection blockage ratio of each test condition, where the equation of the projection blockage ratio is:
where S is the sum of the projected areas of all building models and A is the cross-sectional area of the wind tunnel.
Table 1.
The geometry size of the test models.
Table 2.
The blockage ratio of each test condition.
In Table 2, H represents the height of the pressure model, which means that the surrounding models of test conditions 1a–8a are half the height of the target pressure-measuring model, and the surrounding model of test conditions 1b–8b is equal to the height of the target pressure-measuring model. Figure 5 shows the photos of the wind tunnel test model in this study.
Figure 5.
Photos of the wind tunnel test. (a) Small single model; (b) Test condition 5a of the medium model; (c) Test condition 7a of the medium model.
2.2. Data Processing of Wind Tunnel Tests
The wind pressures of the upper four layers were analyzed in this study, and only one lateral surface was considered because of the symmetry of the square model. The mean pressure coefficient of the i-th pressure point can be calculated as follows:
where is the mean pressure of the i-th pressure point, ρ is the air density, and V is the test velocity. In turn, the layer pressure coefficient is defined as:
where n represents the n-th pressure point of the j-th layer.
The blockage ratio of the small model is relatively small, generally less than 2%, so the wind pressure of the small model is less affected by the blockage effect. Therefore, the wind pressure results of the small model were used as a benchmark in this paper, and the relative error of the mean pressure coefficient of each layer is defined as:
where the subscripts l, m, and s are the initials for large, medium, and small, respectively, representing the large, medium, and small models.
The equation of drag coefficient is as follows:
where FD is the mean along-wind force and A is the windward area of the target pressure model.
Based on the wind pressure data of the small model, the relative error of the drag coefficient can be obtained as follows:
where CD,l, CD,m, and CD,s represent the drag coefficients of the large model, medium model, and small model, respectively; ΔCD,l and ΔCD,m represent the relative error of the drag coefficients of the large model and medium model, respectively.
3. Blockage Effects of Isolated Model Wind Tunnel Test
3.1. Test Results of Isolated Model Test
Table 3 shows the drag coefficient of the single pressure model with different blockage ratios. As seen in Table 3, the drag coefficient increases with an increase in the blockage ratio.
Table 3.
The drag coefficient.
3.2. Discuses about the Cause of the Drag Coefficient Difference
As is well-known, the cause of the drag coefficient difference may be due to the Reynolds number effect and blockage effect. Table 4 shows the drag coefficient results from existing studies including the wind tunnel test and numerical simulation results of two-dimensional and three-dimensional square cylinders; the wind fields of these studies were uniform flow with a turbulence intensity smaller than 2%.
Table 4.
The drag coefficient results from existing studies.
As seen in Table 4, the drag coefficient results of the 2D model were much bigger than the 3D model. Regardless of whether it was a 2D or 3D square cylinder, if the blockage ratio is constant, the drag coefficient changes slightly when the Reynolds number is changed by changing the wind speed (see Figure 6). For example, the drag coefficients in many studies were all close to 2.1–2.2 [15,17,18,23,25,28,30,31]. In contrast, the drag coefficient corresponding to different blockage ratios was quite different, and the drag coefficient increased with the increase in the blockage ratio (see Figure 7).
Figure 6.
CD varies with Reynolds number [14,16,17,20,21].
Figure 7.
CD varies with blockage ratio [5,10,37,38].
The above analysis indicates that the drag coefficient is affected by both the Reynolds number effect and blockage effect, but compared with the blockage effect, the influence of Reynolds number difference can be ignored.
3.3. Analytical Model of Drag Coefficient Error Caused by the Blockage Effect
Based on the above analysis, the relationship between the drag coefficient error caused by the target pressure-measuring model and the blockage ratio can be calculated as follows:
where Δ(Rt) represents the drag coefficient error caused by the blockage effect of the target pressure-measuring model; Rt represents the blockage ratio of the target pressure-measuring model; k is the influence coefficient of the blockage effect, which is equal to the drag coefficient error caused by the unit blockage ratio. According to the results in Table 3, C0 = 1.37 and k = 2.5 can be obtained by least squares fitting, where C0 is the drag coefficient when the blockage ratio is zero. In fact, this influence coefficient of the blockage effect is exactly the same as the results of Maskell [2], whose resulting influence coefficient was also 2.5. Figure 8 shows the fitting result of Equation (9).
Δ(Rt) = kRt
Figure 8.
The drag coefficient varying with the blockage ratio.
It should be noted that some studies have indicated that the blockage effect and blockage ratio are not linear, and this phenomenon could also be observed in Figure 8. Even so, when the blockage ratio of the target pressure-measuring model was less than 6%, the relationship between the drag coefficient and the blockage ratio can essentially be linear. Regarding the condition when the blockage ratio of the target pressure model is greater than 6%, this is not likely to occur in reality, otherwise, it will cause unnecessary trouble, especially for grouped models. Therefore, it can meet the accuracy requirements in evaluating the blockage effect according to the linear hypothesis in the common range of blockage ratio experiments.
4. Blockage Effect of Grouped Models
4.1. When the Surrounding Model Is Half the Height of the Target Pressure Model
In this section, the surrounding model is half the height of the target pressure model. According to the test results, the mean pressure coefficient of the windward surface is less affected by the blockage effect, and the relative error of pressure coefficient is generally less than 15%. However, when the surrounding models are located upstream of the target pressure model, the relative error of the mean wind pressure of the windward surface cannot be ignored. For example, the Δμlayer of the medium model of test condition 2 reached 30% (see Figure 9, which shows the layer pressure coefficient and relative error of the layer pressure coefficient of test condition 2). Similarly, the Δμlayer of the windward surface of the medium model of test condition 6 was close to 40% (see Figure 10, which shows the layer pressure coefficient and the relative error of the layer pressure coefficient of test condition 6). Obviously, this is because the wind velocity flowing through the upstream surrounding models is increased and this phenomenon, with the model creating a larger blockage ratio, is more obvious. The results were substantially different from the existing study results of the blockage effect of the single model.
Figure 9.
The wind tunnel test results of test condition 2. (a) Layer pressure coefficient; (b) relative error of layer pressure coefficient.
Figure 10.
The wind tunnel test results of test condition 6. (a) Layer pressure coefficient; (b) relative error of layer pressure coefficient.
Compared with the wind pressure coefficient of the windward surface, the blockage effect significantly affected the negative pressure area of the target pressure model including the lateral and leeward surfaces. Moreover, the phenomenon of the blockage effect of the negative pressure area is very interesting as it showed the following characteristics:
The Δμayer of the negative pressure area of test condition 1 was close to 30% (see Figure 11). Compared with test condition 1, two surrounding models were added upstream for test condition 2, and then the Δμlayer increased slightly (see Figure 9b, whose Δμlayer of the medium model was close to 35%). The resulting effect shows that when surrounding models are added in the upstream of the surrounding models at both sides of the target pressure model, the blockage effect increases slightly, even though the blockage ratio is constant.
Figure 11.
Wind tunnel test results of test condition 1. (a) Layer pressure coefficient; (b) relative error of layer pressure coefficient.
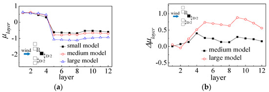
The surrounding models for test condition 3 were located upstream of the target pressure model (see Figure 12). The Δμlayer of the lateral and leeward surfaces of the medium model were about 20%, and the Δμlayer of the lateral and leeward surfaces of the large model was about 50%. In fact, the projection blockage ratio of test condition 3 was the same as that of test condition 1 and test condition 2 (see Figure 9 and Figure 11), but the blockage effect was quite different because of the difference in the relative position of the surrounding models and the target pressure model.
Figure 12.
Wind tunnel test results of test condition 3. (a) Layer pressure coefficient; (b) relative error of layer pressure coefficient.
Compared with test condition 1, two surrounding models were added downstream in test condition 4 (see Figure 11 and Figure 13). From the wind pressure results, there was little difference between the two test conditions. This result shows that when there are surrounding models at the sides of the target pressure model, the blockage effect caused by the surrounding model at the downstream of the side surrounding model can be ignored.
Figure 13.
Wind tunnel test results of test condition 4. (a) Layer pressure coefficient; (b) relative error of layer pressure coefficient.
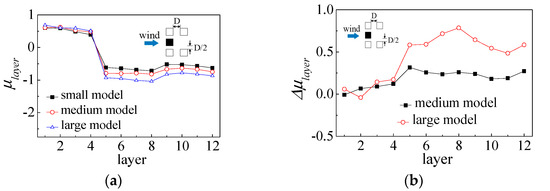
Compared with test condition 1, two surrounding models were added at both sides of the target pressure model in test condition 5 (see Figure 11 and Figure 14). The Δμlayer of the lateral and leeward surface reached 100%, which was significantly greater than that of test condition 1. The resulting effect shows that when the surrounding models are located at the sides of the target pressure model, the blockage effect has the greatest impact on the wind pressure of the lateral and leeward surfaces.
Figure 14.
Wind tunnel test results of test condition 5. (a) Layer pressure coefficient; (b) relative error of layer pressure coefficient.
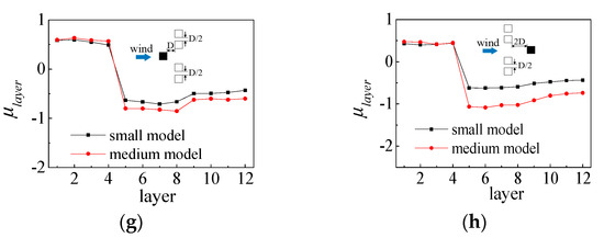
The surrounding models of test condition 7 were located downstream of the target pressure model, and the Δμlayer of the lateral and leeward surfaces of the medium model was about 25% (see Figure 15). Comparing this result with that of test condition 5 (see Figure 14), the blockage effect is relatively weak when the surrounding models are located at the downstream end of the target pressure model.
Figure 15.
Wind tunnel test results of test condition 7. (a) Layer pressure coefficient; (b) relative error of layer pressure coefficient.
The surrounding models in test condition 8 and 6 were located upstream (see Figure 10 and Figure 16). The Δμlayer of the lateral and leeward surfaces of the medium model was about 30%, and the Δμlayer of the large model was generally more than 60%. This result shows that the blockage effect is also significant when the surrounding models are at the upstream end of the target pressure model.
Figure 16.
Wind tunnel test results of test condition 8. (a) Layer pressure coefficient; (b) relative error of layer pressure coefficient.
4.2. When the Height of Surrounding Models Is Equal to That of the Target Pressure Model
In this section, the height of the surrounding models is equal to that of the target pressure model. The mean pressure coefficient is shown in Figure 17, and the relative error is shown in Figure 18. As shown, the pressure coefficient at different heights is approximately equal when the height of the surrounding models is equal to that of the target pressure model compared to the effect when the surrounding models are half the height of the target pressure model. For example, the relative error of the pressure coefficients of 1–4 layers in Figure 9 increased gradually when the surrounding models were half the height of the target pressure model, while that of 1–4 layers in Figure 17b were approximately equal when the surrounding models were equal to the height of the target pressure model. The other data analysis of Figure 17 and Figure 18 are examined comprehensively from the perspective of drag coefficient in the following sections of this paper.

Figure 17.
The mean pressure coefficient of the layers. (a) test condition 1; (b) test condition 2; (c) test condition 3; (d) test condition 4; (e) test condition 5; (f) test condition 6; (g) test condition 7; (h) test condition 8.
Figure 18.
The relative error of the mean pressure coefficient of layers. (a) test condition 1; (b) test condition 2; (c) test condition 3; (d) test condition 4; (e) test condition 5; (f) test condition 6; (g) test condition 7; (h) test condition 8.
It should be pointed out that the interference effects of the three scaled models of each test condition were the same, therefore, all of the above relative errors of the wind pressure are not related to the interference effect.
5. Discussion on the Existing Definition of Blockage Ratio
The existing calculation methods for the blockage ratio mainly include the projection blockage ratio and the section blockage ratio. The definition of the projection blockage ratio is shown in Equation (1). The section blockage ratio is defined as the ratio of the windward area of all models at the section where the target pressure model is located compared to the sectional area of the wind tunnel. Taking the medium model as an example, Table 5 shows the projection blockage ratio, section blockage ratio, and relative error of the drag coefficient. Figure 19 shows the relative error of the drag coefficient varying with the blockage ratio.
Table 5.
The relative error of drag coefficient of the medium model.
Figure 19.
ΔCD varying with blockage ratio. (a) ΔCD varying with projection blockage ratio; (b) ΔCD varying with section blockage ratio.
According to the results in Table 5 and Figure 19, the ΔCD does not increase uniformly with an increase of the projection blockage ratio and section blockage ratio. For example, the projection blockage ratio of test condition 1–3 was the same, while the ΔCD was not equal, which is a contradictory phenomenon. The same phenomenon occurred in test conditions 5–8. Similarly, the section blockage ratio of test conditions 1–3 was the same, but the ΔCD showed significant differences. Furthermore, the section blockage ratio of test condition 8 was smaller than that of test conditions 1 and 3, but the ΔCD was significantly larger than in those tests. The above results show that there will be contradictory phenomenon of a ‘same blockage ratio, different blockage effect’ or a ‘small blockage ratio, large blockage effect’ when the existing definitions of the blockage ratio are used to evaluate the blockage effect.
It can be seen from the above analysis that neither the projection blockage ratio nor the section blockage ratio can be used to directly evaluate the severity of the blockage effect. That is to say, the value of these two ratios does not correspond to the severity of the blockage effect of tall buildings with surrounding buildings.
6. Proposed Calculation Method of Equivalent Blockage Ratio
The above analysis in this paper shows that the blockage effect will be significantly affected by the location, number, and height of the surrounding models, and this mechanism is very complex. It is difficult to propose a correct method for the blockage effect in a wind tunnel test for grouped buildings. However, it is of great significance to put forward a calculation method to evaluate the severity of the blockage effect, which can help researchers determine the scale ratio of wind tunnel test models. The calculation method for the blockage ratio will be presented with the drag coefficient as the topic for the following sections of this paper.
6.1. The Drag Coefficient Error Caused by Surrounding Models
Taking some test conditions as examples, Table 6 shows the blockage ratios of the target pressure models and surrounding models while Table 7 shows the error of the drag coefficient caused by the pressure model and surrounding models. This error is equal to the relative error of the drag coefficient minus the relative error caused by the target pressure model itself, in other words, the calculation formula of the error in Table 7 is ΔCD − Δ(Rt). In Table 6 and Table 7, the height of the surrounding models is classified into equal height or half height, and the location is classified into upstream, lateral, and downstream.
Table 6.
The blockage ratio of the target pressure model and surrounding models.
Table 7.
The error of the drag coefficient caused by the pressure model and surrounding model.
According to the analysis results in Section 4 of this paper, it is necessary to consider the overlapping projected parts of the upstream models and lateral models, but it is not necessary to consider the overlapping parts of the downstream models and lateral models. According to this characteristic and the results in Table 6 and Table 7, the multivariable equations can be obtained as follows:
In Equation (10), the subscripts u, l, d, e, h, and o represent the upstream, lateral, downstream, equal, half, and overlap effects, respectively. The subscript q represents the q-th equation. R and k represent the blockage ratio and influence coefficient of the unit blockage ratio, Δ represents the error of the drag coefficient.
By solving Equation (10) using regression analysis, each coefficient value can be obtained (see Table 8). It can be seen from Table 8 that: (a) the influence coefficient of the blockage effect of downstream models was at the minimum, while that of lateral models was at the maximum (i.e., the blockage effect caused by the lateral model with each unit blockage ratio was larger than that of the upstream model and that of the downstream model); (b) the influence coefficient of the blockage effect of surrounding models of equal height was greater than that of models of half-height; and (c) in addition to the condition where the surrounding models were at the downstream end, the influence coefficient of blockage effect of surrounding models was greater than that of the target pressure model. These conclusions are entirely consistent with the analysis results in Section 4.
Table 8.
Th regression results of the influence coefficient of the blockage effect.
6.2. Equivalent Blockage Ratio
Based on the above analysis, the drag coefficient error caused by the blockage effect of the target pressure-measuring models can be calculated according to Equation (9), and the drag coefficient error caused by the blockage effect of the surrounding models can be calculated according to Equation (10); the added amount of these two values is the total error caused by the blockage effect. For the convenience of Equations (9) and (10), this paper proposes the concept of a equivalent blockage ratio. Taking the influence coefficient of the blockage effect of a target pressure-measuring model in Equation (9), which was 2.5, as the benchmark, the influence coefficient of the blockage effect of the surrounding models in Equation (10) was divided by 2.5, thereafter, the equation of the equivalent blockage ratio can be expressed as follows:
Rr = Rt + 1.52Rue + 1.72Rle + 0.56Rde − 0.56Roe + 1.28Ruh + 1.48Rlh + 0.6Rdh − 0.64Roe
Thus, the relationship between the equivalent blockage ratio Rr and ΔCD is as follows:
ΔCD = 2.5Rr
Figure 20 shows the test results of ΔCD and the results calculated by Equation (12). It can be seen from Figure 20 that the results of Equation (12) are in agreement with the test data. As is known, the essential meaning of the blockage ratio is to evaluate the severity of the blockage effect to ensure the reliability of the wind tunnel test data. In this paper, the meaning of the equivalent blockage ratio by Equation (11) can directly serve for the wind tunnel tests of tall buildings. In other words, if the drag coefficient is taken as the control object, the calculation method of a blockage ratio should be the equivalent blockage ratio instead of the traditional method when determining the scale ratio for test models.
Figure 20.
The relationship between ΔCD and the equivalent blockage ratio.
As the actual wind tunnel test of high-rise buildings may be very different from the test conditions in this paper, the practical application method of Equation (11) and Table 8 is described as follows:
For an actual wind tunnel test for a tall building with surrounding buildings, the drag coefficient error caused by the blockage effect of the target pressure-measuring model can be calculated easily, whose influence coefficient is 2.5, while the drag coefficient error caused by the surrounding buildings should be calculated according to the heights of the surrounding buildings. If the heights of the surrounding buildings are about 1/3 to 2/3 of the pressure-measuring building, the influence coefficient of the drag coefficient error can be approximately determined according to the ‘half height’ conditions in Table 8, and if the height of the surrounding buildings exceeds 2/3 of the height of the pressure-measuring building, the influence coefficient can be approximately determined according to ‘equal height’ conditions in Table 8. Of course, this is only an approximate method, and further research is necessary to cover other actual possible situations.
7. Conclusions
It should be pointed out that the interference effects of the three scaled models of each test condition in this paper were the same, in other words, the relative error of the wind pressure has nothing to do with the interference effect. Meanwhile, compared to the blockage effect, the influence of Reynolds number difference can be ignored for square prisms. Therefore, it is reasonable to attribute the reason for the data differences in this paper to the blockage effects. In this paper, the influence of the blockage effect of the wind tunnel tests of grouped buildings on the pressure coefficient was studied, and the concept of the equivalent blockage ratio is proposed. Some of the paper’s innovative conclusions are as follows:
- (1)
- The wind pressure of the lateral and leeward surfaces is more greatly affected by the blockage effect, while that of the windward surface is less affected by its blockage effect. However, when there are many surrounding models at the upstream end of the target pressure model, the blockage effect of the pressure coefficient of the windward surface cannot be ignored.
- (2)
- When the relative position of the surrounding model is different from that of the target pressure model, even if the blockage ratios are the same, the blockage effect is still significantly different.
- (3)
- When the surrounding models are located at the upstream or lateral side of the target pressure model, the blockage effect are the most significant. The blockage effect is relatively weak when the surrounding models are located at the downstream end of the target pressure model. The blockage effect caused by surrounding models with each unit blockage ratio is greater than that of the target pressure model itself.
- (4)
- Existing calculation methods for the blockage ratio are only applicable for the wind tunnel tests of single buildings. There are some calculation defects when these methods are used to evaluate the blockage severity of grouped buildings, which will cause the contradiction phenomenon of a ‘small blockage ratio, large blockage effect’ and the ‘same blockage ratio, different blockage effect’.
- (5)
- The proposed equivalent blockage ratio calculation method is applicable to the blockage effect of grouped tall buildings. In the design of wind tunnel test models of grouped tall buildings, this method is more reliable in controlling the equivalent blockage ratio in a certain range than the blockage ratio of traditionally defined methods.
- (6)
- Additional discussion: First, it should be pointed out that the blockage effect can also be affected by the relationship between the relative height of test models for tall buildings and the wind tunnel section. For example, for a model with the same width, when the height increases, the blockage ratio increases at the same ratio, but the blockage effect may not increase as much [10]. The definition of a blockage ratio as proposed by Okajima is the ratio of the width of the windward surface of the model compared to the width of the wind tunnel section, which may be based on this consideration. In this paper, the ratio of the model height to the height of the wind tunnel section was about 20~60%, which is the most common size for wind tunnel test models at present. Second, the test models in this paper were cylinders with square sections. When the test models include other blunt body sections, especially when the test model is a streamline body, the blockage effect results may be quite different. Whether the test results in this paper are applicable to such test conditions needs to be discussed separately. Finally, it must be acknowledged that the distribution of the surrounding models varies greatly. This paper only analyzed some representative test conditions, but there are still many test conditions that can supplement these findings. Nevertheless, as a beginning and pioneering research paper on the blockage effect of high-rise buildings with surrounding buildings, this paper will provide an approximate guidance for similar wind tunnel tests.
Author Contributions
Data curation, L.W., F.S. and Z.W.; Funding acquisition, S.L.; Writing—review & editing, F.S. All authors have read and agreed to the published version of the manuscript.
Funding
This study was supported by the National Natural Science Foundation of China (Nos. 51708186 and 51178359).
Conflicts of Interest
The authors declare no conflict of interest.
References
- Saathoff, P.J.; Melbourne, W.H. Freestream turbulence and wind tunnel blockage effects on streamwise surface pressures. J. Wind. Eng. Ind. Aerodyn. 1987, 26, 353–370. [Google Scholar] [CrossRef]
- Maskell, E.C. A Theory of the Blockage Effects on Bluff Bodies and Stalled Wings in a Closed Wind Tunnel; Her Majesty’s Stationery Office: London, UK, 1963. [Google Scholar]
- Raju, K.; Singh, V. Blockage effects on drag of sharp-edged bodies. J. Wind Eng. Ind. Aerodyn. 1975, 1, 301–309. [Google Scholar] [CrossRef]
- Courchesne, J.; Laneville, A. A comparison of correction methods used in the evaluation of drag coefficient measurements for two-dimensional rectangular cylinders. J. Fluids Eng. 1979, 101, 506–510. [Google Scholar] [CrossRef]
- Awbi, H. Wind-tunnel-wall constraint on two-dimensional rectangular-section prisms. J. Wind Eng. Ind. Aerodyn. 1978, 3, 285–306. [Google Scholar] [CrossRef]
- Awbi, H. Effect of blockage on the strouhal number of two-dimensional bluff bodies. J. Wind Eng. Ind. Aerodyn. 1983, 12, 353–362. [Google Scholar] [CrossRef]
- James, N. The Effects of Stream Turbulence on a Separated Flow with Reattachment. Ph.D. Thesis, University of London, London, UK, 1982. [Google Scholar]
- Nakamura, Y.; Ohya, Y. The effects of turbulence on the mean flow past two-dimensional rectangular cylinders. J. Fluid Mech. 1984, 149, 255–273. [Google Scholar] [CrossRef]
- Laneville, A. Turbulence and blockage effects on two dimensional rectangular cylinders. J. Wind Eng. Ind. Aerodyn. 1990, 33, 11–20. [Google Scholar] [CrossRef]
- Okajima, A.; Yi, D.; Sakuda, A.; Nakano, T. Numerical study of blockage effects on aerodynamic characteristics of an oscillating rectangular cylinder. J. Wind Eng. Ind. Aerodyn. 1997, 67–68, 91–102. [Google Scholar] [CrossRef]
- Prasanth, T.; Behara, S.; Singh, S.; Kumar, R.; Mittal, S. Effect of blockage on vortex-induced vibrations at low Reynolds numbers. J. Fluids Struct. 2006, 22, 865–876. [Google Scholar] [CrossRef]
- Ross, I.; Altman, A. Wind tunnel blockage corrections: Review and application to Savonius vertical-axis wind turbines. J. Wind Eng. Ind. Aerodyn. 2011, 99, 523–538. [Google Scholar] [CrossRef]
- Wang, L.; Liang, S.G.; Tang, H.Q. Investigation on wind tunnel blockage effect of super high-rise building. In Proceedings of the Seventh International Colloquium on Bluff Body Aerodynamics and Applications, Shanghai, China, 2–6 September 2012. [Google Scholar]
- Yang, F.; Zhou, Z.; Tang, G.; Lu, L. Steady flow around a square cylinder near a plane boundary. Ocean Eng. 2021, 222, 108599. [Google Scholar] [CrossRef]
- Liu, M.; Xiao, L.; Yang, L. Experimental investigation of flow characteristics around four square-cylinder arrays at subcritical Reynolds numbers. Int. J. Nav. Arch. Ocean Eng. 2015, 7, 906–919. [Google Scholar] [CrossRef] [Green Version]
- Yang, Q.; Liu, Q.K.; Han, R. Reynolds number effect of aerodynamic characteristics of square prism with different rounded corner ratios. J. Vib. Shock. 2020, 39, 150–156. [Google Scholar]
- Wang, H.; Zhao, X.; He, X.; Zhou, Y. Effects of oncoming flow conditions on the aerodynamic forces on a cantilevered square cylinder. J. Fluids Struct. 2017, 75, 140–157. [Google Scholar] [CrossRef]
- Knisely, C. Strouhal numbers of rectangular cylinders at incidence: A review and new data. J. Fluids Struct. 1990, 4, 371–393. [Google Scholar] [CrossRef]
- Wang, X.R.; Gu, M. Experimental study on wind pressure distributions of 2-D square prisms with various corner treatments. China Civ. Eng. J. 2016, 49, 79–88. [Google Scholar]
- Bai, H.; Alam, M. Dependence of square cylinder wake on Reynolds number. Phys. Fluids 2018, 30, 015102. [Google Scholar] [CrossRef]
- Li, S.; Luo, Z.; Deng, X.; Peng, W.; Liu, Z. Experimental investigation on active control of flow around a finite-length square cylinder using dual synthetic jet. J. Wind Eng. Ind. Aerodyn. 2021, 210, 104519. [Google Scholar] [CrossRef]
- Cheng, C.; Lu, P.; Chen, R. Wind loads on square cylinder in homogeneous turbulent flows. J. Wind Eng. Ind. Aerodyn. 1992, 41, 739–749. [Google Scholar] [CrossRef]
- Lee, B.E. The effect of turbulence on the surface pressure field of a square prism. J. Fluid Mech. 1975, 69, 263–282. [Google Scholar] [CrossRef]
- Reinhold, T.A.; Tieleman, H.W.; Maher, F.J. Interaction of square prisms in two flow fields. J. Wind Eng. Ind. Aerodyn. 1977, 2, 223–241. [Google Scholar] [CrossRef]
- Lesage, F.; Gartshore, I. A method of reducing drag and fluctuating side force on bluff bodies. J. Wind Eng. Ind. Aerodyn. 1987, 25, 229–245. [Google Scholar] [CrossRef]
- Sakamoto, H.; Hainu, H.; Obata, Y. Fluctuating forces acting on two square prisms in a tandem arrangement. J. Wind Eng. Ind. Aerodyn. 1987, 26, 85–103. [Google Scholar] [CrossRef]
- Norberg, C. Flow around rectangular cylinders: Pressure forces and wake frequencies. J. Wind Eng. Ind. Aerodyn. 1993, 49, 187–196. [Google Scholar] [CrossRef]
- Tamura, T.; Miyagi, T. The effect of turbulence on aerodynamic forces on a square cylinder with various corner shapes. J. Wind Eng. Ind. Aerodyn. 1999, 83, 135–145. [Google Scholar] [CrossRef]
- van Oudheusden, B.; Scarano, F.; van Hinsberg, N.; Roosenboom, E. Quantitative visualization of the flow around a square-section cylinder at incidence. J. Wind Eng. Ind. Aerodyn. 2008, 96, 913–922. [Google Scholar] [CrossRef]
- Alam, M.M.; Zhou, Y.; Wang, X.W. The wake of two side-by-side square cylinders. J. Fluid Mech. 2011, 669, 432–471. [Google Scholar] [CrossRef] [Green Version]
- Yen, S.C.; Liu, J.H. Wake flow behind two side-by-side square cylinders. Int. J. Heat Fluid Flow 2011, 32, 41–51. [Google Scholar] [CrossRef]
- Lyn, D.A.; Einav, S.; Rodi, W.; Park, J.-H. A laser-Doppler velocimetry study of ensemble-averaged characteristics of the turbulent near wake of a square cylinder. J. Fluid Mech. 1995, 304, 285–319. [Google Scholar] [CrossRef]
- Yamagishi, Y.; Kimura, S.; Oki, M. Flow characteristics around a square cylinder with changing chamfer dimensions. J. Vis. 2010, 13, 61–68. [Google Scholar] [CrossRef]
- Saha, A.K.; Muralidhar, K.; Biswas, G. Experimental study of flow past a square cylinder at high Reynolds numbers. Exp. Fluids 2000, 29, 553–563. [Google Scholar] [CrossRef]
- Luo, S.; Yazdani, M.; Chew, Y.; Lee, T. Effects of incidence and afterbody shape on flow past bluff cylinders. J. Wind Eng. Ind. Aerodyn. 1994, 53, 375–399. [Google Scholar] [CrossRef]
- Hu, J.C.; Zhou, Y.; Dalton, C. Effects of the corner radius on the near wake of a square prism. Exp. Fluids 2005, 40, 106–118. [Google Scholar] [CrossRef]
- Parkinson, G.; Kong, L.; Cook, N. Configuration criteria for a blockage-tolerant wind tunnel. J. Wind Eng. Ind. Aerodyn. 1992, 40, 215–219. [Google Scholar] [CrossRef]
- Sharify, E.M.; Saito, H.; Harasawa, H. Experimental and numerical study of blockage effects on flow characteristics around a square-section cylinder. J. Jpn. Soc. Exp. Mech. 2013, 13, s7–s12. [Google Scholar]
- Gao, Y.; Quan, Y.; Gu, M. Large Eddy Simulation of Blockage Effect on Flow Past a Two Dimensional Square Cylinder. J. Tongji Univ. 2018, 46, 1018–1025. [Google Scholar]
Publisher’s Note: MDPI stays neutral with regard to jurisdictional claims in published maps and institutional affiliations. |
© 2022 by the authors. Licensee MDPI, Basel, Switzerland. This article is an open access article distributed under the terms and conditions of the Creative Commons Attribution (CC BY) license (https://creativecommons.org/licenses/by/4.0/).