Evaluation of Antimicrobial and Chemopreventive Properties and Phytochemical Analysis of Solanum nigrum L. Aerial Parts and Root Extracts
Abstract
1. Introduction
2. Results
2.1. Chemical Profiling
2.2. Microbial Assay
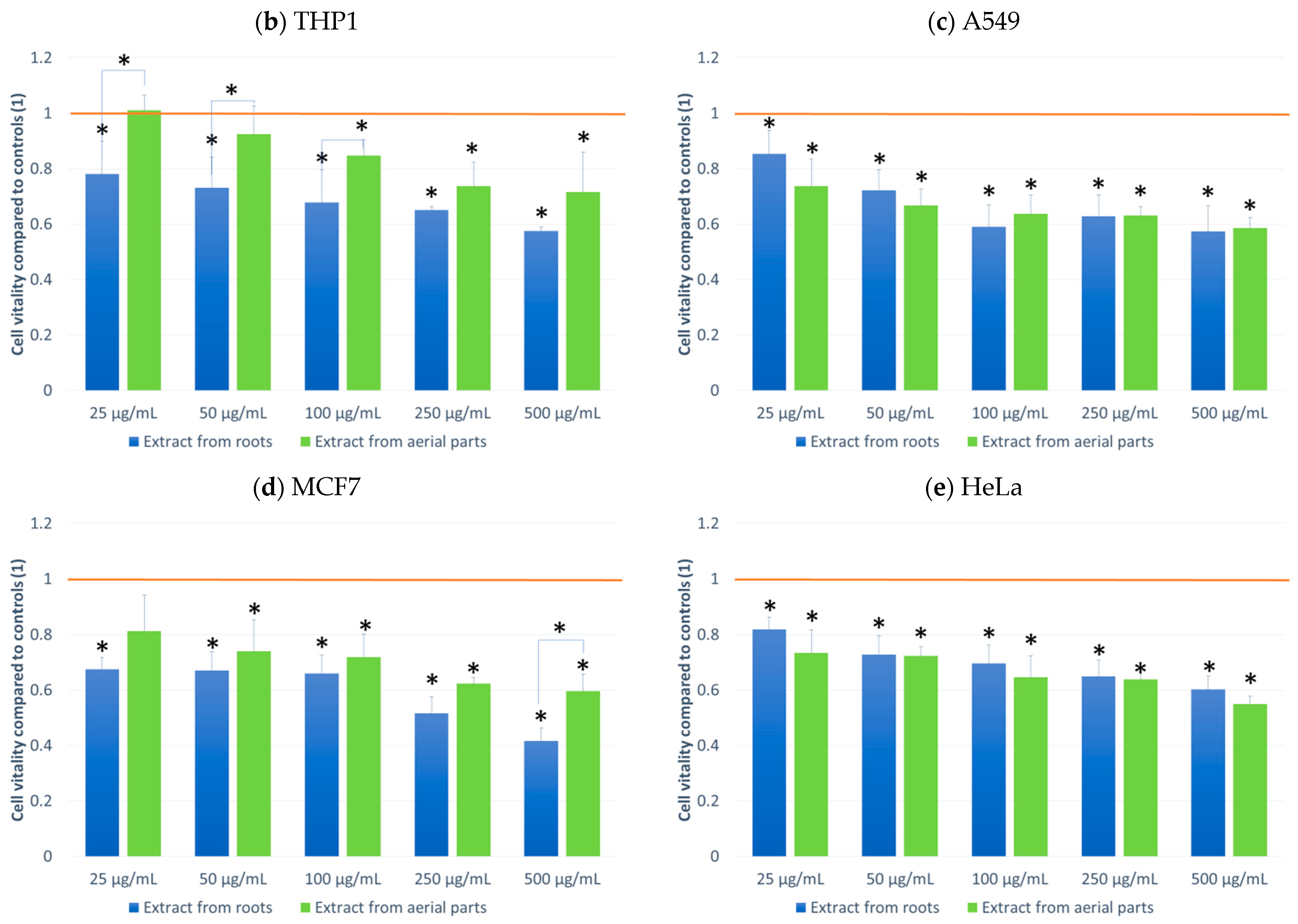
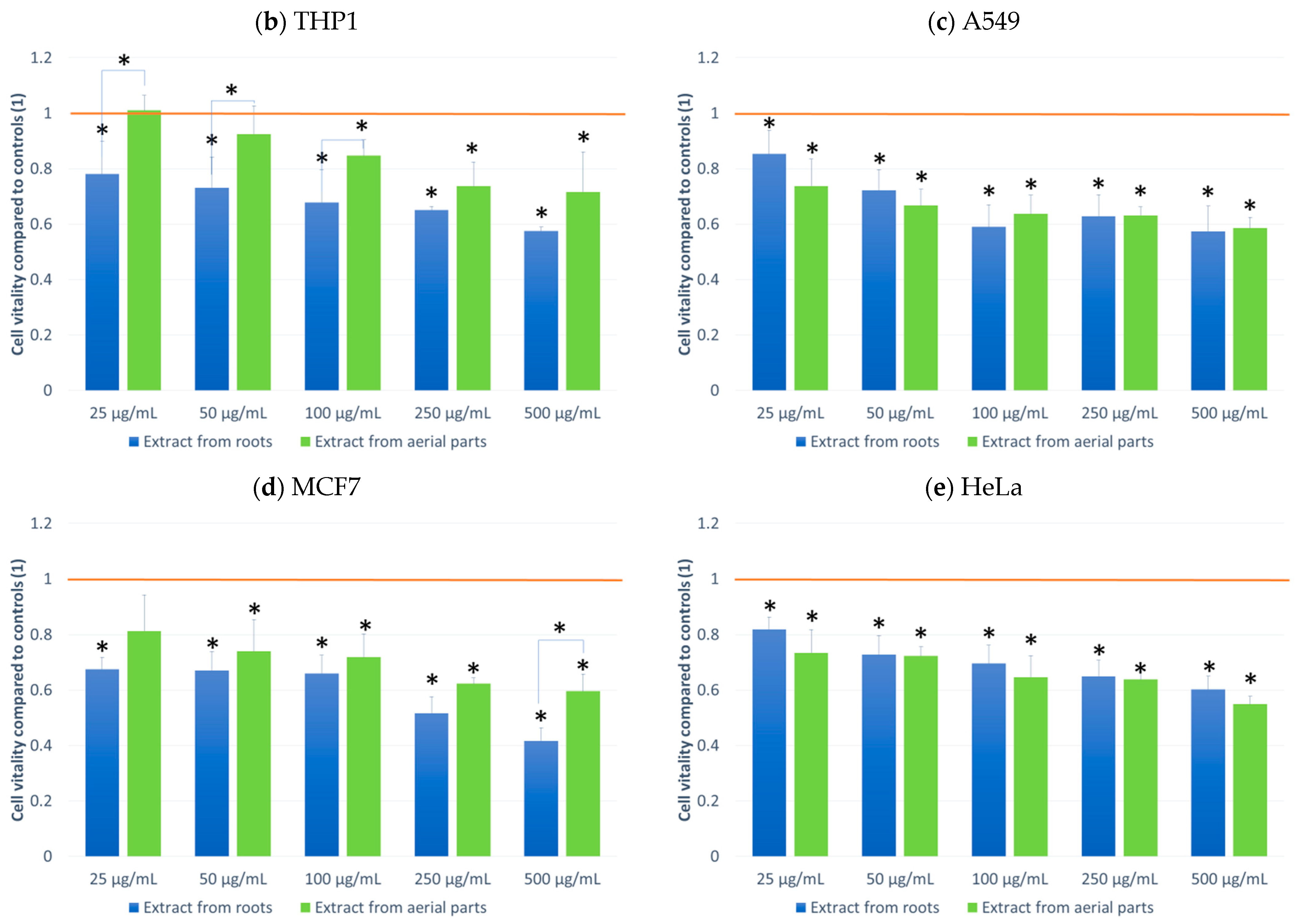
2.3. Cell Culture
3. Discussion
4. Materials and Methods
4.1. Plant Material and Extract Preparation
4.2. Chemical Analysis
4.2.1. Total Flavonoid Content
4.2.2. LC-MS/MS Analysis
4.3. Antimicrobial Activities
4.3.1. Test Microorganisms
4.3.2. Agar Disc Diffusion Assay
4.3.3. Determination of Minimum Inhibitory Concentration, Minimum Bactericidal Concentration and Half Inhibitory Concentration
4.4. Antifungal Activity
4.5. Evaluation of Biological Activity on Cell Cultures
4.5.1. Cell Lines and Conditions
4.5.2. Cell Culture Tests
4.5.3. MTT Assay
4.5.4. Cell viability
4.5.5. Measurement of Intracellular ROS Levels
4.5.6. Statistical Analysis
5. Conclusions
Supplementary Materials
Author Contributions
Funding
Institutional Review Board Statement
Informed Consent Statement
Data Availability Statement
Conflicts of Interest
References
- Prestinaci, F.; Pezzotti, P.; Pantosti, A. Antimicrobial resistance: A global multifaceted phenomenon. Pathog. Glob. Health. 2015, 109, 309–318. [Google Scholar] [CrossRef] [PubMed]
- Maillard, J. Resistance of Bacteria to Biocides. Microbiol. Spectrum. 2018, 6, 19. [Google Scholar] [CrossRef] [PubMed]
- Partridge, S.R.; Kwong, S.M.; Firth, N.; Jensen, S.O. Mobile genetic elements associated with antimicrobial resistance. Clin. Microbiol. Rev. 2018, 31, e00088-17. [Google Scholar] [CrossRef] [PubMed]
- Khan, A.A.; Manzoor, K.N.; Sultan, A.; Saeed, M.; Rafique, M.; Noushad, S.; Talib, A.; Rentschler, S.; Deigner, H.-P. Pulling the Brakes on Fast and Furious Multiple Drug-Resistant (MDR) Bacteria. Int. J. Mol. Sci. 2021, 22, 859. [Google Scholar] [CrossRef]
- Betoni, J.E.; Mantovani, R.P.; Barbosa, L.N.; Di Stasi, L.C.; Fernandes Junior, A. Synergism between plant extract and antimicrobial drugs used on Staphylococcus aureus diseases. Mem. Inst. Oswaldo Cruz. 2006, 101, 387–390. [Google Scholar] [CrossRef]
- Barah, F. Non-Antibiotic Biocides: An Updated Review. Microbial Pathogens and Strategies for Combating Them: Science, Technology and Education; Méndez-Vilas, A., Ed.; Formatex Research Centre: Badajoz, Spain, 2013; Volume 1, pp. 598–607. [Google Scholar]
- Bakkali, F.; Averbeck, S.; Averbeck, D.; Idaomar, M. Biological effects of essential oils—A Review. Food Chem. Toxicol. 2008, 46, 446–475. [Google Scholar] [CrossRef]
- Silva, N.; Fernandes Júnior, A. Biological properties of medicinal plants: A review of their antimicrobial activity. J. Venom. Anim. Toxins Incl. Trop. Dis. 2010, 16, 402–413. [Google Scholar] [CrossRef]
- Szandruk-Bender, M.; Rutkowska, M.; Merwid-Ląd, A.; Wiatrak, B.; Szeląg, A.; Dzimira, S.; Sobieszczańska, B.; Krzystek-Korpacka, M.; Kucharska, A.Z.; Matuszewska, A.; et al. Cornelian Cherry Iri-doid-Polyphenolic Extract Improves Mucosal Epithelial Barrier Integrity in Rat Experimental Colitis and Exerts Antimicrobial and Antiadhesive Activities In Vitro. Oxid. Med. Cell. Longev. 2020, 2020, 7697851. [Google Scholar] [CrossRef]
- Sporn, M.B.; Liby, K.T. Chemoprevention of Cancer: Past, Present, and Future. In Natural Products for Cancer Chemoprevention; Pezzuto, J., Vang, O., Eds.; Springer: Cham, Switzerland, 2020. [Google Scholar] [CrossRef]
- Merwid-Ląd, A.; Ksiądzyna, D.; Hałoń, A.; Szkudlarek, D.; Trocha, M.; Szandruk-Bender, M.; Matuszewska, A.; Nowak, B.; Sozański, T.; Kuźniar, A.; et al. Morin-5’-Sulfonic Acid Sodium Salt (NaMSA) Attenuates Cyclophosphamide-Induced Histological Changes in Genitourinary Tract in Rats-Short Report. Pharmaceuticals 2021, 14, 192. [Google Scholar] [CrossRef]
- Kikuchi, H.; Yuan, B.; Hu, X.; Okazaki, M. Chemopreventive and anticancer activity of flavonoids and its possibility for clinical use by combining with conventional chemotherapeutic agents. Am. J. Cancer Res. 2019, 9, 1517–1535. [Google Scholar]
- Grosso, G.; Micek, A.; Godos, J.; Pajak, A.; Sciacca, S.; Galvano, F.; Giovannucci, E.L. Dietary flavonoid and lignan intake and mortality in prospective cohort studies: Systematic review and dose-response meta-analysis. Am. J. Epidemiol. 2017, 185, 1304–1316. [Google Scholar] [CrossRef]
- Godos, J.; Castellano, S.; Ray, S.; Grosso, G.; Galvano, F. Dietary polyphenol intake and depression: Results from the mediterranean healthy eating, lifestyle and aging (MEAL) study. Molecules 2018, 23, 999. [Google Scholar] [CrossRef]
- Sak, K. Intake of individual flavonoids and risk of carcinogenesis: Overview of epidemiological evidence. Nutr. Cancer 2017, 69, 1119–1150. [Google Scholar] [CrossRef]
- Imran, M.; Rauf, A.; Shah, Z.A.; Saeed, F.; Imran, A.; Arshad, M.U.; Ahmad, B.; Bawazeer, S.; Atif, M.; Peters, D.G.; et al. Chemopreventive and therapeutic effect of the dietary flavonoid kaempferol: A comprehensive review. Phytother. Res. 2019, 33, 263–275. [Google Scholar] [CrossRef]
- Zanoaga, O.; Braicu, C.; Jurj, A.; Rusu, A.; Buiga, R.; Berindan-Neagoe, I. Progress in Research on the Role of Flavonoids in Lung Cancer. Int. J. Mol. Sci. 2019, 20, 4291. [Google Scholar] [CrossRef]
- Yao, M.; Yuan, B.; Wang, X.; Sato, A.; Sakuma, K.; Kaneko, K.; Komuro, H.; Okazaki, A.; Hayashi, H.; Toyoda, H.; et al. Synergistic cytotoxic effects of arsenite and tetrandrine in human breast cancer cell line MCF-7. Int. J. Oncol. 2017, 51, 587–598. [Google Scholar] [CrossRef]
- Moga, M.A.; Dimienescu, O.G.; Arvatescu, C.A.; Mironescu, A.; Dracea, L.; Ples, L. The Role of Natural Polyphenols in the Prevention and Treatment of Cervical Cancer—An Overview. Molecules 2016, 21, 1055. [Google Scholar] [CrossRef]
- Górniak, I.; Bartoszewski, R.; Króliczewski, J. Comprehensive review of antimicrobial activities of plant flavonoids. Phytochem. Rev. 2019, 18, 241–272. [Google Scholar] [CrossRef]
- Djeussi, D.E.; Noumedem, J.A.; Seukep, J.A.; Fankam, A.G.; Voukeng, I.K.; Tankeo, S.B.; Nkuete, A.H.; Kuete, V. Antibacterial activities of selected edible plants extracts against multidrug-resistant Gram-negative bacteria. BMC Complement. Altern. Med. 2013, 13, 164. [Google Scholar] [CrossRef]
- Subramani, R.; Narayanasamy, M.; Feussner, K.D. Plant-derived antimicrobials to fight against multi-drug-resistant human pathogens. Biotech 2017, 7, 172. [Google Scholar] [CrossRef]
- Edmonds, J.M.; Chweya, J.A. Black Nightshades—Solanum nigrum L. and Related Species; International Plant Genetics Research Institute: Rome, Italy, 1997; ISBN 10-9290433213. [Google Scholar]
- Mohy-ud-dint, A.; Khan, Z.; Ahmad, M.; Kashmiri, M.A. Chemotaxonomic value of alkaloids in Solanum nigrum complex. Pak. J. Bot. 2010, 42, 653–660. [Google Scholar]
- Dhellot, J.R.; Matouba, E.; Maloumbi, M.G.; Nzikou, J.M.; Dzondo, M.G.; Nzikou, J.M.; Dzondo, M.G.; Linder, M.; Parmentier, M.; Desobry, S. Extraction and nutritional properties of Solanum nigrum L. seed oil. Afr. J. Biotechnol. 2006, 5, 987–991. [Google Scholar]
- Al-Qirim, T.; Zaidi, S.M.; Shahwan, M.; Shattat, G.; Banu, N. Effect of Solanum nigrum on immobilization stress induced antioxidant defense changes in rat. Res. Biol. Sci. 2008, 3, 1426–1429. [Google Scholar]
- Dukes, J.A. CRC Handbook of Medicinal Herbs, 1st ed.; CRC Press, Inc.: Boca Raton, FL, USA, 1985. [Google Scholar]
- Raju, R.; Rao, C.V. Diosgenin, a Steroid Saponin Constituent of Yams and Fenugreek: Emerging Evidence for Applications in Medicine. Bioact. Compd. Phytomedicine 2012, 125, 143. [Google Scholar] [CrossRef]
- Gabrani, R.; Jain, R.; Sharma, A.; Sarethy, I.P.; Dang, S.; Gupta, S. Antiproliferative Effect of Solanum nigrum on Human Leukemic Cell Lines. Indian J. Pharm. Sci. 2012, 74, 451–453. [Google Scholar] [CrossRef]
- Tai, C.J.; Wang, C.K.; Chang, Y.J.; Lin, C.S.; Tai, C.J. Aqueous Extract of Solanum nigrum Leaf Activates Autophagic Cell Death and Enhances Docetaxel-Induced Cytotoxicity in Human Endometrial Carcinoma Cells. Evid.-Based Complem. Altern. Med. 2012, 10, 859185. [Google Scholar] [CrossRef]
- Campisi, A.; Acquaviva, R.; Raciti, G.; Duro, A.; Rizzo, M.; Santagati, N.A. Antioxidant Activities of Solanum nigrum L. Leaf Extracts Determined in In Vitro Cellular Models. Foods 2019, 8, 63. [Google Scholar] [CrossRef]
- Nawaz, A.; Jamal, A.; Arif, A.; Parveen, Z. In vitro cytotoxic potential of Solanum nigrum against human cancer cell lines. Saudi. J. Biol. Sci. 2021, 28, 4786–4792. [Google Scholar] [CrossRef]
- Aryal, S.; Baniya, M.K.; Danekhu, K.; Kunwar, P.; Gurung, R.; Koirala, N. Total phenolic content, flavonoid content and antioxidant potential of wild vegetables from Western Nepal. Plants 2019, 8, 96. [Google Scholar] [CrossRef]
- Kumar, S.; Sharma, U.K.; Sharma, A.K.; Pandey, A.K. Protective efficacy of Solanum xanthocarpum root extracts against free radical damage: Phytochemical analysis and antioxidant effect. Cell. Mol. Biol. 2012, 58, 174–181. [Google Scholar]
- Wu, S.B.; Meyer, R.S.; Whitaker, B.D.; Litt, A.; Kennelly, E.J. A new liquid chromatography-mass spectrometry-based strategy to integrate chemistry, morphology, and evolution of eggplant (Solanum) species. J. Chromatogr. A 2013, 1314, 154–172. [Google Scholar] [CrossRef] [PubMed]
- Atanu, F.O.; Ebiloma, U.G.; Ajayi, E.I. A review of the pharmacological aspects of Solanum nigrum Linn. Biotechnol. Mol. Biol. Rev. 2011, 6, 1–7. [Google Scholar]
- Chauhan, A.; Ruby, K.M.; Shori, A.; Dwivedi, J. Solanum nigrum with dynamic therapeutic role: A review. Int. J. Pharm. Sci. Rev. Res. 2012, 15, 65–71. [Google Scholar]
- Patel, K.; Singh, R.B.; Patel, D.K. Medicinal significance, pharmacological activities, and analytical aspects of solasodine: A concise report of current scientific literature. J. Acute Dis. 2013, 2, 92–98. [Google Scholar] [CrossRef]
- Silva-Beltrán, N.P.; Ruiz-Cruz, S.; Cira-Chávez, L.A.; Estrada-Alvarado, M.I.; Ornelas-paz, J.D.J.; López-mata, M.A.; Del-toro-Sánchez, C.L.; Ayala-Zavala, J.F.; Márquez-ríos, E. Tomatidine Contents and Antioxidant and Antimicrobial Activities of Extracts of Tomato Plant. Int. J. Anal. Chem. 2015, 2015, 1–10. [Google Scholar] [CrossRef]
- Hameed, A.; Ijaz, S.; Shair Mohammad, I.; Sher Muhammad, K.; Akhtar, N.; Shoaib Khan, H.M. Aglycone solanidine and solasodine derivatives: A natural approach towards cancer. Biomed. Pharmacother 2017, 94, 446–457. [Google Scholar] [CrossRef]
- Kozłowska, J.; Grela, E.; Baczyńska, D.; Grabowiecka, A.; Anioł, M. Novel O-alkyl Derivatives of Naringenin and Their Oximes with Antimicrobial and Anticancer Activity. Molecules 2019, 24, 679. [Google Scholar] [CrossRef]
- Sing, M.; Govindarajan, R.; Rawat, A.K.S. Antimicrobial Flavonoid Rutin from Pteris Vittata L. Against Pathogenic Gastrointestinal Microflora Antimicrobial Flavonoid Rutin from Pteris vittata L. against Pathogenic Gastrointestinal Microflora. Am. Fern. J. 2021, 98, 98–103. [Google Scholar] [CrossRef]
- Gadoh Abbas, H.; Abdul-Imam Almazini, M.; Abdul-Amer, A. Antibacterial Activity of the Solasodine of Solanum Nigrum Against Bacterial Isolates From the Wounds. Basrah J. Vet. Res. 2009, 8, 137–147. [Google Scholar] [CrossRef][Green Version]
- Chowdhury, N.; Anupam, G.; Chandra, G. Mosquito larvicidal activities of Solanum villosum berry extract against the dengue vector Stegomyia aegypti. BMC Complemen. Alternat. Med. 2008, 8, 1–8. [Google Scholar] [CrossRef]
- Othman, N.A.M.R. Solanum nigrum roots as an antibacterial agent. Int. J. ChemTech Res. 2017, 10, 436–441. [Google Scholar]
- Parameswari, K.; Sudheer, A.; Kishori, B. In Vitro Antibacterial Activity in the extracts of solanumnigrum. Indian Streams Res. J. 2012, 2, 2230–7850. [Google Scholar] [CrossRef]
- Rajathi, D.; Modilal, M.; Anandan, R.; Sindhu, R.; Logeshwari, M.N. Screening of Solanum Nigrum for Its Phytochemical and Antimicrobial Activity Against Respiratory Tract Pathogens. Inter. J. Pure Appl. Zool. 2015, 3, 210–215. [Google Scholar]
- Gbadamosi, I.T.; Afolayan, A.J. In vitro anti-radical activities of extracts of Solanum nigrum (L.) from South Africa. J. Appl. Biosci. 2016, 98, 9240–9251. [Google Scholar] [CrossRef]
- Shahiladevi, L.; Jegadeesa, M. Antimicrobial Activity of Black Fruit Variant of Solanum nigrum L. Int. J. Curr. Microbiol. App. Sci. 2017, 6, 2706–2713. [Google Scholar] [CrossRef]
- Moglad Ehssan, H.O.; Abdalla, O.M.; Koko, W.S.; Saadabi, A.M. In vitro Anticancer Activity and Cytotoxicity of Solanum nigrum on Cancers and Normal Cell Lines. Int. J. Cancer Res. 2014, 10, 74–80. [Google Scholar]
- Javed, T.; Ashfaq, U.A.; Riaz, S.; Rehman, S.; Riazuddin, S. In vitro antiviral activity of Solanum nigrum against hepatitis C virus. Virol. J. 2011, 8, 26. [Google Scholar] [CrossRef]
- Kang, H.; Jeong, H.D.; Choi, H.Y. The chloroform fraction of Solanum nigrum suppresses nitric oxide and tumor necrosis factor α in LPS stimulated mouse peritoneal macrophages through inhibition of p38, JNK and ERK1/2. Am. J. Chin. Med. 2011, 39, 1261–1273. [Google Scholar] [CrossRef]
- Lin, H.M.; Tseng, H.C.; Wang, C.J.; Lin, J.J.; Lo, C.W.; Chou, F.P. Hepatoprotective effects of Solanum nigrum Linn. extract against CCl4 induced oxidative damage in rats. Chem. Biol. Interact. 2008, 171, 283–293. [Google Scholar] [CrossRef]
- Hsieh, C.C.; Fang, H.L.; Lina, W.C. Inhibitory effect of Solanum nigrum on thioacetamide induced liver fibrosis in mice. J. Ethnopharmacol. 2008, 119, 117–221. [Google Scholar] [CrossRef]
- Karthi, N.; Kalaiyarasu, T.; Kandakumar, S.; Mariyappan, P.; Manju, V. Pelargonidin induces apoptosis and cell cycle arrest via a mitochondria mediated intrinsic apoptotic pathway in HT29 cells. RSC Adv. 2016, 51, 45064–45076. [Google Scholar] [CrossRef]
- Matuschek, E.; Brown, D.F.J.; Kahlmeter, G.; Canton, R. Development of the EUCAST disk diffusion antimicrobial susceptibility testing method and its implementation in routine microbiology laboratories. Clin. Microbiol. Infect. 2014, 20, 255–266. [Google Scholar] [CrossRef]
- CLSI. Performance Standards for Antimicrobial Susceptibility Testing, 27th ed.; CLSI Supplement M100; Clinical and Laboratory Standards Institute: Wayne, PA, USA, 2017. [Google Scholar]
- Gleń, K.; Boligłowa, E. Evaluation the fungistatic activity of plant extracts in vitro tests. J. Res. Appl. Agricult. Engin. 2012, 57, 104–109. [Google Scholar]
- Kowalik, R.; Krechniak, E. Materials for the Research Methodology of Biological Evaluation of Plant Protection Products; IOR: Poznań, Poland, 1961; pp. 35–48. [Google Scholar]
- Arendt-Pindel, A.; Marszałek-Harych, A.; Gębarowska, E.; Gębarowski, T.; Jędrzkiewicz, D.; Pląskowska, E.; Zalewski, D.; Gulia, N.; Szaferta, S.; Ejfler, J. Design and functionalization of bioactive benzoxazines. An unexpected ortho-substitution effect. New J. Chem. 2019, 43, 12042–12053. [Google Scholar] [CrossRef]
- Piasny, J.; Wiatrak, B.; Dobosz, A.; Tylińska, B.; Gębarowski, T. Antitumor Activity of New Olivacine Derivatives. Molecules 2020, 25, 2512. [Google Scholar] [CrossRef]
- Glomb, T.; Wiatrak, B.; Gębczak, K.; Gębarowski, T.; Bodetko, D.; Czyżnikowska, Ż.; Świątek, P. New 1,3,4-Oxadiazole Derivatives of Pyridothiazine-1,1-Dioxide with Anti-Inflammatory Activity. Int. J. Mol. Sci. 2020, 21, 9122. [Google Scholar] [CrossRef] [PubMed]
- Grajzer, M.; Wiatrak, B.; Gębarowski, T.; Matkowski, A.; Grajeta, H.; Rój, E.; Kulma, A.; Prescha, A. Chemistry, oxidative stability and bioactivity of oil extracted from Rosa rugosa (Thunb.) seeds by supercritical carbon dioxide. Food Chem. 2021, 15, 335. [Google Scholar] [CrossRef] [PubMed]






| No. | Compound | m/z [M + H]+ | RT [min] | Aerial Parts | Roots |
|---|---|---|---|---|---|
| 1. | Astragalin | 449.2 | - | nd 1 | nd |
| 2. | Cyandin–3-O-(6″-O-α-rhamnopyranosyl)-β-glucopyranoside | 595.0 | 5.78 | 0.82 ± 0.11 2 | nd |
| 3. | Delphinidin-3-O-(6″-O-α-rhamnopyranosyl)-β-glucopyranoside | 611.0 | 7.32 | 22.62 ± 0.16 | 5.51 ± 0.13 |
| 4. | Eriodictyol | 289.0 | 5.83 | 2.17 ± 0.09 | nd |
| 5. | Isoquercitrin | 465.1 | 8.85 | 7.74 ± 0.16 | 6.31 ± 0.15 |
| 6. | Kaempferol-3-O-rutinoside | 595.1 | 6.81 | 2.72 ± 0.11 | 3.66 ± 0.12 |
| 7. | Kaempferol-3-O-rutinoside-7-O-glucoside | 757.0 | 6.64 | 0.85 ± 0.12 | 2.87 ± 0.10 |
| 8. | Linalool-3-O-glucopyranosy-(1–6)-arabinopyranoside | 449.2 | - | nd | nd |
| 9. | Naringenin | 273.0 | 7.10 | 3.54 ± 0.20 | 14.14 ± 0.19 |
| 10. | Naringenin chalcone-glucoside | 435.0 | 7.02 | nd | 3.77 ± 0.04 |
| 11. | Naringenin-7-O-glucoside | 435.0 | 7.02 | nd | 3.69 ± 0.08 |
| 12. | Pelargonidin-3-O-(6″-O-α-rhamnopyranosyl)-β-glucopyranoside | 579.0 | 7.32 | 34.39 ± 0.30 | 60.05 ± 0.21 |
| 13. | Quercetine-3-O-gentiobioside | 627.0 | 7.30 | 2.84 ± 0.05 | nd |
| 14. | Rutin | 611.0 | 7.33 | 22.54 ± 0.15 | nd |
| No. | Compound | m/z [M + H]+ | RT [min] | Aerial Parts | Roots |
|---|---|---|---|---|---|
| 1. | Chaconine | 853.5 | - | nd 1 | nd |
| 2. | Demissine | 1019.2 | 6.95 | nd | ++ 2 |
| 3. | Solamargine | 868.4 | 6.34 | + | + |
| 4. | Solanidadienol chacotriose | 900.3 | - | nd | nd |
| 5. | Solanidadienol solatriose | 916.3 | - | nd | nd |
| 6. | Solanidine | 398.5 | 9.74 | + | + |
| 7. | Solanine | 868.5 | 6.32 | +++ | ++ |
| 8. | Solasodine | 414.5 | 6.80 | + | nd |
| 9. | Solasonine | 885.4 | 6.29 | + | + |
| 10. | Tomatine | 1035.2 | 7.34 | + | + |
| No. | Strains | Aerial Parts Extract | Root Extract | Antibiotics * |
|---|---|---|---|---|
| Zone inhibition in mm (% inhibition) | ||||
| 1. | M. luteus PCM 1944 | 8 ± 0.8 (36) | 5 ± 0.3 (23) | 22.0 ± 0.5 |
| 2. | S. canis KW-Sac1 | 4.0 ± 1.0 (18) | 3.7 ± 1.5 (17) | 22.3 ± 0.3 |
| 3. | S. agalactiae PCM 2683 | 4.0 ± 0.0 (13) | 0.0 ± 0.0 (0) | 30.0 ± 1.0 |
| 4. | S. aureus PCM 2054 | 6.0 ± 0.0 (21) | 4.0 ± 0.0 (14) | 28.7 ± 0.6 |
| 5. | S. pseudintermedius PCM 2741 | 4.0 ± 0.0 (13) | 0.0 ± 0.0 (0) | 30.7 ± 0.3 |
| 6. | B. subtilis PCM 1949 | 3.0 ± 0.0 (14) | 0.0 ± 0.0 (0) | 42.0 ± 0.9 |
| 7. | B. cereus PCM 2019 | 0.0 ± 0.0 (0) | 0.0 ± 0.0 (0) | 39.7 ± 0.8 |
| 8. | E. coli PCM 2057 | 4.8 ± 0.0 (18) | 0.0 ± 0.0 (0) | 26.0 ± 0.5 |
| 9. | P. aeruginosa PCM 2058 | 0.0 ± 0.0 (0) | 0.0 ± 0.0 (0) | 25.0 ± 0.6 |
| 10. | S. marcescens PCM 501 | 0.0 ± 0.0 (0) | 0.0 ± 0.0 (0) | 27.0 ± 0.4 |
| 11. | P. carotovora IOR 1815 | 11.5 ± 0.5 (41) | 7.0 ± 1.0 (25) | 28.0 ± 1.0 |
| 12. | P. atrosepticum IOR 1825 | 10.0 ± 0.0 (40) | 8.0 ± 1.0 (32) | 25.4 ± 0.5 |
| 13. | C. albicans ATCC 10231 | 0.0 ± 0.0 (0) | 0.0 ± 0.0 (0) | 35.4 ± 0.7 |
| 14. | C. parapsilosis KW-Cp1 | 0.0 ± 0.0 (0) | 0.0 ± 0.0 (0) | 33.3 ± 0.5 |
| Aerial Parts | Roots | ||||
|---|---|---|---|---|---|
| Lp. | Bacterial Strains | MIC90 | MBC | MIC90 | MBC |
| 1. | M. luteus PCM 1944 | 250 | 250 | 500 | 500 |
| 2. | S. canis KW-Sac1 | 250 | 250 | 500 | <500 |
| 3. | S. agalactiae PCM 2683 | 250 | 500 | 500 | <500 |
| 4. | S. aureus PCM 2054 | 250 | 500 | <500 | <500 |
| 5. | S. pseudintermedius PCM 2741 | 250 | 500 | 500 | <500 |
| 6. | B. subtilis PCM 1949 | 500 | <500 | <500 | <500 |
| 7. | B. cereus PCM 2019 | 500 | <500 | <500 | <500 |
| 8. | E. coli PCM 2057 | <500 | <500 | <500 | <500 |
| 9. | P. aeruginosa PCM 2058 | <500 | <500 | <500 | <500 |
| 10. | P. carotovora IOR 1815 | 125 | 250 | 500 | 500 |
| 11. | P. carotovora IOR 1822 | 125 | 250 | 500 | 500 |
| 12. | E. chrysantemi IOR 1452 | 250 | 250 | 500 | <500 |
| 13. | P. atrosepticum IOR 1825 | 250 | 250 | 250 | 500 |
| 14. | C. albicans ATCC 10231 | <500 | <500 | <500 | <500 |
| Aerial Parts Extract (µg/mL) | Root Extracts (µg/mL) | ||||||||
|---|---|---|---|---|---|---|---|---|---|
| Fungal Species | 50 | 100 | 250 | 500 | 50 | 100 | 250 | 500 | |
| 1. | A. alternata | 55.2 ± 2.1 (74) | 47.4 ± 2.5 (64) | 55.6 ± 3.4 (74) | 19.7 ± 1.2 (27) | 46.5 ± 1.1 (63) | 48.4 ± 0.7 (65) | 54.6 ± 1.8 (73) | 19.5 ± 0.8 (26) |
| 2. | A. flavus | 36.9 ± 2 (100) | 42.3 ± 1.9 (100) | 42.2 ± 1.2 (100) | 43.1 ± 1.5 (114) | 32.9 ± 1.8 (89) | 29.4 ± 1,6 (70) | 24.3 ± 1.8 (58) | 31.2 ± 2.1 (82) |
| 3. | A. niger | 31.4 ± 2.2 (86) | 24.2 ± 2.1 (64) | 22.0 ± 1.2 (69) | 28.0 ± 1.4 (65) | 33.8 ± 1.8 (93) | 29.9 ± 1.7 (79) | 25.3 ± 1.5 (80) | 25.9 ± 2 (60) |
| 4. | A. versicolor | 31.5 ± 2 (84) | 25.4 ± 2.5 (62) | 30.6 ± 1.8 (78) | 30.3 ± 1.9 (70) | 31.8 ± 2 (85) | 24.4 ± 1.6 (60) | 31.5 ± 1 (81) | 33.4 ± 1.5 (78) |
| 5. | Ch. globosum | 42.9 ± 3 (100) | 26.5 ± 2.1 (62) | 22.2 ± 2.2 (52) | 9.9 ± 1.5 (23) | 34.1 ± 2.4 (79) | 21.2 ± 2 (49) | 24.9 ± 2.2 (58) | 17.9 ± 1.9 (42) |
| 6. | C. herbarum | 37.6 ± 0.8 (102) | 33.9 ± 1.1 (119) | 31.2 ± 0.9 (99) | 26.1 ± 1.2 (83) | 33.7 ± 1.5 (92) | 34.4 ± 1.1 (120) | 22.4 ± 0.9 (71) | 18.3 ± 0.8 (58) |
| 7. | E. nigrum | 58.7 ± 2.1 (99) | 50.3 ± 2.3 (102) | 49.5 ± 3 (102) | 33.4 ± 2.2 (76) | 57.1 ± 2.1 (97) | 50.5 ± 2.9 (102) | 30.2 ± 1.9 (62) | 54.1 ± 3 (128) |
| 8. | P. notatum | 39.9 ± 1.5 (98) | 47.7 ± 1.6 (99) | 42.9 ± 1.9 (105) | 36.7 ± 1.2 (107) | 30.3 ± 2 (74) | 25.6 ± 1.9 (53) | 29.3 ± 0.9 (72) | 17.3 ± 0.6 (50) |
| 9. | B. sorokiniana | 40.9 ± 2.5 (95) | 42,8 ± 2 (100) | 41.7 ± 1.8 (97) | 20.4 ± 1 (54) | 22.1 ± 1.5 (52) | 21.8 ± 2 (51) | 19.4 ± 1.6 (45) | 12.2 ± 1 (32) |
| 10. | F. oxysporum | 50.2 ± 3 (98) | 43.2 ± 2.9 (102) | 36.9 ± 2.5 (100) | 28.1 ± 2 (70) | 46.6 ± 3 (91) | 38.1 ± 3 (90) | 41.2 ± 2.1 (111) | 28.2 ± 1.8 (70) |
| 11. | T. aggressivum | 87.4 ± 3 (100) | 86.6 ± 3.4 (101) | 87.1 ± 3.6 (101) | 65.7 ± 4 (77) | 84.6 ± 3.9 (97) | 85.7 ± 4.3 (100) | 84.5 ± 4 (98) | 72.7 ± 3 (85) |
| Extract from Aerial Parts | Extract from Roots | ||||||||
|---|---|---|---|---|---|---|---|---|---|
| µg/mL | 50 | 100 | 250 | 500 | 50 | 100 | 250 | 500 | |
| Fungal species | |||||||||
| 1. | A. alternata | 23 | 33 | 35 | 55 | 10 | 12 | 36 | 55 |
| 2. | A. flavus | 7 | −4 | −6 | −29 | 7 | 27 | 33 | −9 |
| 3. | A. niger | −5 | 13 | 17 | 13 | 3 | 4 | 9 | 18 |
| 4. | A. versicolor | 3 | 34 | 24 | -6 | 5 | 4 | 3 | −14 |
| 5. | Ch. globosum | 20 | 32 | 40 | 56 | 3 | 14 | 24 | 50 |
| 6. | C. herbarum | 7 | −14 | −6 | −10 | 7 | −4 | 10 | 13 |
| 7. | E. nigrum | 2 | 0 | −2 | −5 | 8 | −4 | 20 | −16 |
| 8. | P. notatum | 7 | 5 | 9 | −7 | 27 | 36 | 29 | 17 |
| 9. | B. sorokiniana | 6 | 5 | 8 | 20 | −5 | 18 | 27 | 43 |
| 10. | F. oxysporum | 10 | 10 | −7 | 5 | 5 | 7 | −7 | 5 |
| 11. | T. aggressivum | 0 | 0 | 0 | 22 | 0 | 0 | 0 | 14 |
Publisher’s Note: MDPI stays neutral with regard to jurisdictional claims in published maps and institutional affiliations. |
© 2022 by the authors. Licensee MDPI, Basel, Switzerland. This article is an open access article distributed under the terms and conditions of the Creative Commons Attribution (CC BY) license (https://creativecommons.org/licenses/by/4.0/).
Share and Cite
Gębarowska, E.; Łyczko, J.; Rdzanek, M.; Wiatrak, B.; Pląskowska, E.; Gołębiowska, H.; Kuźniarski, A.; Gębarowski, T. Evaluation of Antimicrobial and Chemopreventive Properties and Phytochemical Analysis of Solanum nigrum L. Aerial Parts and Root Extracts. Appl. Sci. 2022, 12, 6845. https://doi.org/10.3390/app12146845
Gębarowska E, Łyczko J, Rdzanek M, Wiatrak B, Pląskowska E, Gołębiowska H, Kuźniarski A, Gębarowski T. Evaluation of Antimicrobial and Chemopreventive Properties and Phytochemical Analysis of Solanum nigrum L. Aerial Parts and Root Extracts. Applied Sciences. 2022; 12(14):6845. https://doi.org/10.3390/app12146845
Chicago/Turabian StyleGębarowska, Elżbieta, Jacek Łyczko, Maciej Rdzanek, Benita Wiatrak, Elżbieta Pląskowska, Hanna Gołębiowska, Amadeusz Kuźniarski, and Tomasz Gębarowski. 2022. "Evaluation of Antimicrobial and Chemopreventive Properties and Phytochemical Analysis of Solanum nigrum L. Aerial Parts and Root Extracts" Applied Sciences 12, no. 14: 6845. https://doi.org/10.3390/app12146845
APA StyleGębarowska, E., Łyczko, J., Rdzanek, M., Wiatrak, B., Pląskowska, E., Gołębiowska, H., Kuźniarski, A., & Gębarowski, T. (2022). Evaluation of Antimicrobial and Chemopreventive Properties and Phytochemical Analysis of Solanum nigrum L. Aerial Parts and Root Extracts. Applied Sciences, 12(14), 6845. https://doi.org/10.3390/app12146845

