Research on Prediction of TBM Performance of Deep-Buried Tunnel Based on Machine Learning
Abstract
:1. Introduction
2. Analysis of Influencing Factors and Feature Selection of TBM Performance
2.1. Establishing TBM Driving Efficiency Database
2.2. Feature Selection of Influencing Factors of TBM Net Driving Speed Based on Random Forest
2.2.1. Parameter Setting of Random Forest
2.2.2. Feature Selection of Influencing Factors of TBM Penetration Rate Based on Random Forest
3. Prediction Model of TBM Penetration Rate Based on Machine Learning
3.1. Prediction Model of TBM Penetration Rate Based on Multiple Regression (MR)
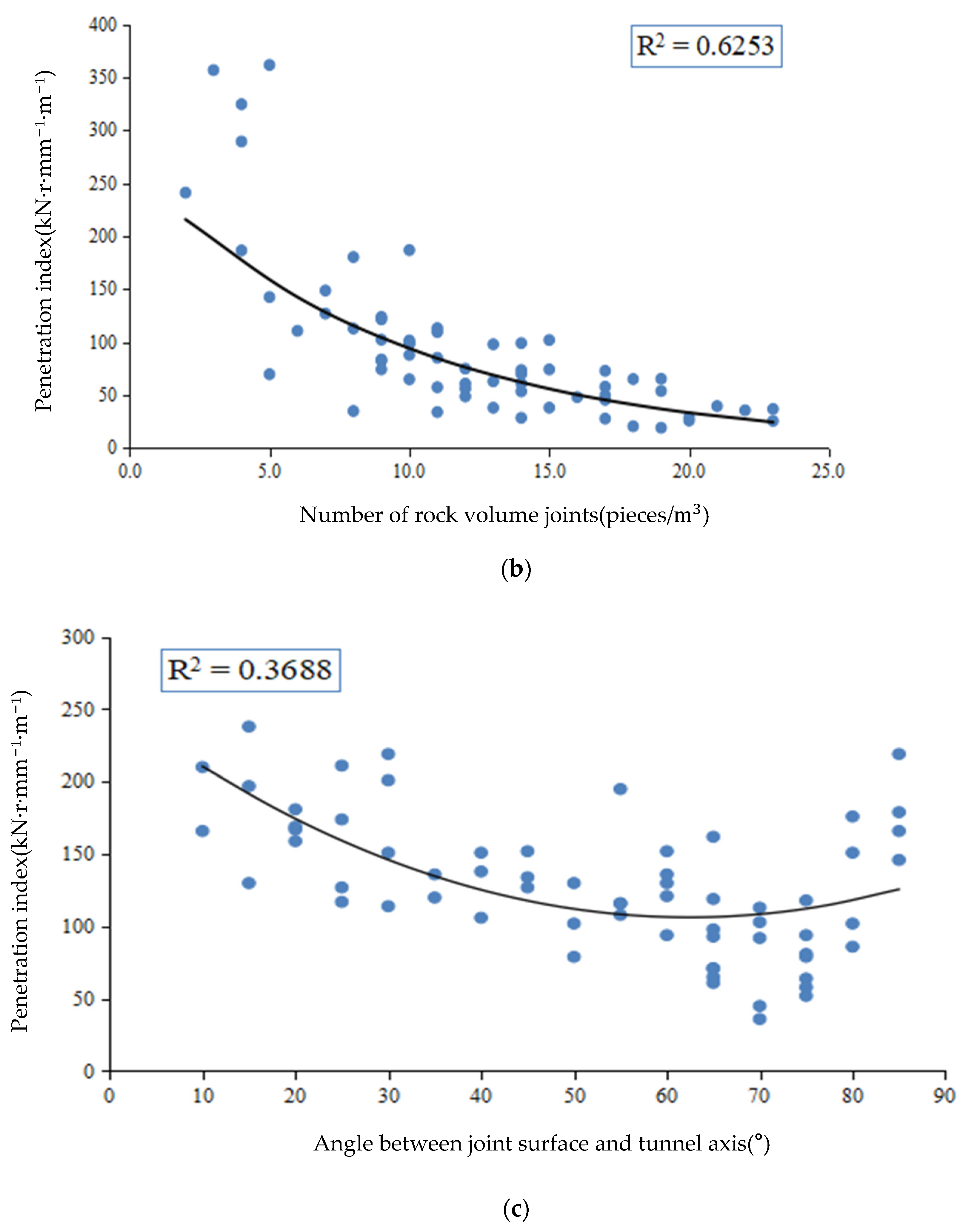
3.1.1. Correlation Analysis of Penetration Index (FPI) and Rock Mass Parameters
3.1.2. Empirical Analysis of TBM Penetration Rate Prediction Model Based on Multiple Regression
3.2. Prediction Model of TBM Penetration Rate Based on BP Neural Network
3.2.1. Principle of Back Propagation Neural Network Algorithm
3.2.2. BPNN Model Structure and Parameter Setting
3.2.3. Empirical Analysis of TBM Penetration Rate Prediction Model Based on BPNN Model
3.3. Prediction Model of TBM Penetration Rate Based on Support Vector Regression
3.3.1. Principle of Support Vector Regression Algorithm
3.3.2. SVR Parameter Setting
3.3.3. Empirical Analysis of TBM Penetration Rate Prediction Model Based on SVR Model
3.4. Comparative Analysis of Prediction Performance of Penetration Rate Prediction Models
4. Conclusions
- (1)
- Based on the establishment of the database of TBM performance in the south of the Qinling tunnel of the Hanjiang-to-Weihe River Diversion Project, the factors influencing TBM performance are quantitatively analyzed, including TBM mechanical parameters (cutterhead thrust (TF), cutterhead torque (T), cutterhead speed (RPM), etc.) and rock mass parameters (uniaxial compressive strength (UCS), the number of rock volume joints (Jv), angle between joint surface and tunnel axis (α), etc.).
- (2)
- Since there are many influencing factors on the TBM penetration rate, and the current situation is that the input parameters of the prediction model are determined artificially and the subjectivity is strong, the random forest (RF) algorithm is used to select the characteristics of the influencing factors on the TBM penetration rate, and the weight of the influencing factors is sorted to obtain the parameters of cutterhead thrust (TF), the number of rock volume joints (Jv), uniaxial compressive strength (UCS) and rotational speed (RPM). The total weight is 75.99%, which is comprised of the most important four parameters affecting the TBM penetration rate. The input parameters are determined for the TBM penetration rate prediction model based on machine learning.
- (3)
- The prediction model of the TBM penetration rate based on multiple regression (MR) is established. The penetration index (FPI) is used as a bridge to connect the rock mass parameters and TBM mechanical parameters. The empirical formula of the TBM penetration rate prediction with independent variables of cutterhead thrust (TF), the number of rock volume joints (Jv), uniaxial compressive strength (UCS) and rotational speed (RPM) is obtained. The empirical formula can be applied to the preliminary prediction of the TBM penetration rate in the south of the Qinling tunnel of the Hanjiang-to-Weihe River Diversion Project.
- (4)
- Based on the input parameters selected by the random forest algorithm, the prediction models of the TBM penetration rate are established based on the BP neural network (BPNN) and support vector regression (SVR). After training the training set and setting the parameters on the test set, the mean absolute percentage error (MAPE) and mean square error (MSE) of the BPNN prediction model are 22.95% and 0.3445, respectively. The mean absolute percentage error (MAPE) and mean square error (MSE) of the SVR model are 26.59% and 0.4085, respectively.
- (5)
- Through the comparative analysis of the three prediction models, the BPNN prediction model shows better prediction performance and generalization ability than the multiple regression model and SVR model, which are embodied in higher prediction accuracy and stability.
Author Contributions
Funding
Informed Consent Statement
Conflicts of Interest
References
- Wang, M.S. An overview of development of railways, tunnels and underground works in China. J. Tunn. Constr. 2010, 30, 351–364. (In Chinese) [Google Scholar]
- Sanio, H.P. Prediction of the performance of disc cutters in anisotropic rock. Int. J. Rock Mech. Min. Sci. Geomech. Abstr. 1985, 22, 153–161. [Google Scholar] [CrossRef]
- Hughes, H.M. The relative cuttability of coal-measures stone. J. Min. Sci. Technol. 1986, 3, 95–109. [Google Scholar] [CrossRef]
- Boyd, R.J. Hard rock continuous mining machine: Mobile Miner MM-120. In Rock Excavation Engineering Seminar; University of Queensland: Brisbane, Australia, 1986. [Google Scholar]
- Ozdemir, L. Development of Theoretical Equations for Predicting Tunnel Boreability. Doctoral Dissertation, Colorado School of Mines, Golden, CO, USA, 1977. [Google Scholar]
- Rostami, J.; Ozdemir, L. A new model for performance prediction of hard rock TBMs. In Proceedings of the Rapid Excavation and Tunneling Conference, Boston, MA, USA, 13–17 June 1993; pp. 793–809. [Google Scholar]
- Rostami, J. Development of a Force Estimation Model for Rock Fragmentation with Disc Cutters through Theoretical Modeling and Physical Measurement of Crushed Zone Pressure; Colorado School of Mines: Golden, CO, USA, 1997. [Google Scholar]
- Farmer, I.W.; Glossop, N.H. Mechanics of disc cutter penetration. J. Tunn. Tunn. 1980, 12, 22–25. [Google Scholar]
- Gong, Q.M.; Zhao, J. Development of a rock mass characteristics model for TBM penetration rate prediction. J. Int. J. Rock Mech. Min. Sci. 2009, 46, 8–18. [Google Scholar] [CrossRef]
- Du, L.J.; Qi, Z.C.; Han, X.L. Prediction method for the boreability and performance of hard rock TBM based on boring data on site. J. China Coal Soc. 2015, 40, 1284–1289. (In Chinese) [Google Scholar]
- Luo, H.; Chen, Z.Y.; Gong, G.F.; Zhao, Y.; Jing, L.-J.; Wang, C. Advance rate of TBM based on field boring data. J. Zhejiang Univ. (Eng. Sci.) 2018, 52, 1566–1574. (In Chinese) [Google Scholar]
- Liu, B.; Wang, R.; Guan, Z.; Li, J.; Xu, Z.; Guo, X.; Wang, Y. Improved support vector regression models for predicting rock mass parameters using tunnel boring machine driving data. J. Tunn. Undergr. Space Technol. 2019, 91, 102958. [Google Scholar] [CrossRef]
- Goh, A.T.C.; Zhang, W.; Zhang, Y.; Xiao, Y.; Xiang, Y. Determination of earth pressure balance tunnel-related maximum surface settlement: A multivariate adaptive regression splines approach. J. Bull. Eng. Geol. Environ. 2018, 77, 489–500. [Google Scholar] [CrossRef]
- Hasanpour, R.; Rostami, J.; Schmitt, J.; Ozcelik, Y.; Sohrabian, B. Prediction of TBM jamming risk in squeezing grounds using Bayesian and artificial neural networks. J. Rock Mech. Geotech. Eng. 2020, 12, 21–31. [Google Scholar] [CrossRef]
- Zhang, N.; Li, J.B.; Jing, L.J.; Li, P.; Xu, S. Study and application of intelligent control system of TBM tunneling. J. Tunn. Constr. 2018, 38, 1734–1740. (in Chinese). [Google Scholar]
- Liaw, A.; Wiener, M. Classification and regression by random forest. R News 2002, 2, 18–22. [Google Scholar]
- Rumelhart, D.E.; Hinton, G.E.; Williams, R.J. Learning Representations by Back Propagating Errors. J. Nat. 1986, 323, 533–536. [Google Scholar] [CrossRef]
- Srivastava, N.; Hinton, G.; Krizhevsky, A.; Sutskever, I.; Salakhutdinov, R. Dropout: A simple way to prevent neural networks from overfitting. J. Mach. Learn. Res. 2014, 15, 1929–1958. [Google Scholar]
- Cybenko, G. Approximation by superpositions of a sigmoidal function. J. Math. Control Signals Syst. 1989, 2, 303–314. [Google Scholar] [CrossRef]
- Matias, T.; Souza, F.; Araújo, R.; Antunes, C.H. Learning of a single-hidden layer feedforward neural network using an optimized extreme learning machine. J. Neurocomput. 2014, 129, 428–436. [Google Scholar] [CrossRef]
- Karlik, B.; Olgac, A.V. Performance analysis of various activation functions in generalized MLP architectures of neural networks. Int. J. Artif. Intell. Expert Syst. 2011, 1, 111–122. [Google Scholar]
- Vapnik, V.; Golowich, S.E.; Smola, A.J. Support Vector Method for Function Approximation, Regression Estimation and Signal Processing. Adv. Neural Inf. Process.Syst. 1997, 281–287. Available online: https://proceedings.neurips.cc/paper/1996/file/4f284803bd0966cc24fa8683a34afc6e-Paper.pdf (accessed on 26 May 2022).
- Mahdevari, S.; Shahriar, K.; Yagiz, S.; Shirazi, A. A support vector regression model for predicting tunnel boring machine penetration rates. J. Int. J. Rock Mech. Min. Sci. 2014, 72, 214–229. [Google Scholar] [CrossRef]
- Cortes, C.; Vapnik, V. Support-vector networks. J. Mach. Learn. 1995, 20, 273–297. [Google Scholar] [CrossRef]


















| TBM Mechanical Parameters | Rock Mass Parameters |
|---|---|
| Cutterhead thrust TF (kN) | Rock uniaxial compressive strength UCS (MPa) |
| Penetration P (mm/r) | Rock abrasion resistance index Ab (10−1 mm) |
| Torque T (N·m) | Specific work of chiseling a (J/cm3) |
| Rotational speed RPM (r/min) | Number of rock volume joints Jv (pieces/m3) |
| Rotational speed PR (m/h) | Angle between joint surface and tunnel axis α (°) |
| Construction speed AR (m/d) | Quartz content q (%) |
| TBM utilization ratio U (%) | P-wave velocity of rock mass Vpm |
| Penetration index FPI (kN·r·mm−1·m−1) | P-wave velocity of rock block Vpr |
| Number of tool change of cutterhead (N/d) |
| Parameters | Minimum Value | Maximum Value | Average Value | Standard Deviation |
|---|---|---|---|---|
| Cutterhead thrust TF (kN) | 3672 | 21,000 | 11,665.48 | 4436.8 |
| Penetration P (mm/r) | 0.2 | 22 | 7.13 | 9.23 |
| Torque T (kN·M) | 420 | 4645 | 2453 | 1046.84 |
| Rotational speed RPM (r/min) | 0.7 | 7.9 | 3.99 | 1.53 |
| Rotational speed PR (m/h) | 0.23 | 3.4 | 1.57 | 0.72 |
| Construction speed AR (m/d) | 0.7 | 25.3 | 8.3 | 4.29 |
| TBM utilization ratio U (%) | 4.17 | 65.97 | 29.72 | 13.43 |
| Penetration index FPI (kN·r·mm−1·m−1) | 11.28 | 660.63 | 178.85 | 133.18 |
| Number of tool change of cutterhead (N/d) | 0 | 26 | 6.69 | 6.48 |
| Rock uniaxial compressive strength UCS (MPa) | 89.3 | 306.04 | 177.36 | 42.39 |
| Rock abrasion resistance index Ab (10−1·mm−1) | 4.58 | 5.9 | 5.23 | 0.39 |
| Specific work of chiseling a (J/cm3) | 453.7 | 598.4 | 546.61 | 27.03 |
| Number of rock volume joints Jv (pieces/m3) | 2 | 27 | 12.88 | 4.76 |
| Angle between joint surface and tunnel axis α (°) | 0 | 90 | 57.27 | 18.03 |
| Quartz content q (%) | 43.5 | 87.3 | 65.68 | 10.23 |
| P-wave velocity of rock mass Vpm | 4200 | 6000 | - | - |
| P-wave velocity of rock block Vpr | 3500 | 4898 | 3956 | 612.85 |
| Input Parameter | Weight/% |
|---|---|
| Cutterhead thrust TF (kN) | 23.86 |
| Number of unit volumetric joints Jv (pieces/m3) | 19.71 |
| Uniaxial compressive strength UCS (MPa) | 17.89 |
| Rotational speed RPM (r/min) | 14.53 |
| Torque T (kN·M) | 10.62 |
| Angle between joint surface and tunnel axis α (°) | 7.97 |
| Specific work of chiseling a (J/cm3) | 3.35 |
| Rock abrasion resistance index Ab (10−1·mm−1) | 1.11 |
| Quartz content q (%) | 0.96 |
Publisher’s Note: MDPI stays neutral with regard to jurisdictional claims in published maps and institutional affiliations. |
© 2022 by the authors. Licensee MDPI, Basel, Switzerland. This article is an open access article distributed under the terms and conditions of the Creative Commons Attribution (CC BY) license (https://creativecommons.org/licenses/by/4.0/).
Share and Cite
Ma, T.; Jin, Y.; Liu, Z.; Prasad, Y.K. Research on Prediction of TBM Performance of Deep-Buried Tunnel Based on Machine Learning. Appl. Sci. 2022, 12, 6599. https://doi.org/10.3390/app12136599
Ma T, Jin Y, Liu Z, Prasad YK. Research on Prediction of TBM Performance of Deep-Buried Tunnel Based on Machine Learning. Applied Sciences. 2022; 12(13):6599. https://doi.org/10.3390/app12136599
Chicago/Turabian StyleMa, Tianhui, Yang Jin, Zheng Liu, and Yadav Kedar Prasad. 2022. "Research on Prediction of TBM Performance of Deep-Buried Tunnel Based on Machine Learning" Applied Sciences 12, no. 13: 6599. https://doi.org/10.3390/app12136599
APA StyleMa, T., Jin, Y., Liu, Z., & Prasad, Y. K. (2022). Research on Prediction of TBM Performance of Deep-Buried Tunnel Based on Machine Learning. Applied Sciences, 12(13), 6599. https://doi.org/10.3390/app12136599

