Overall Heat Transfer Coefficient Evaluation Method for Uncracked Hydrocarbon Fuel in a Regeneratively-Cooled Heat Exchanger of a Scramjet
Abstract
:1. Introduction
2. Modification of the Overall Heat Transfer Coefficient
2.1. Cause of the Modification
2.2. Method
2.3. Turbulence-Related Parameter Calculation Method
3. Results and Discussion
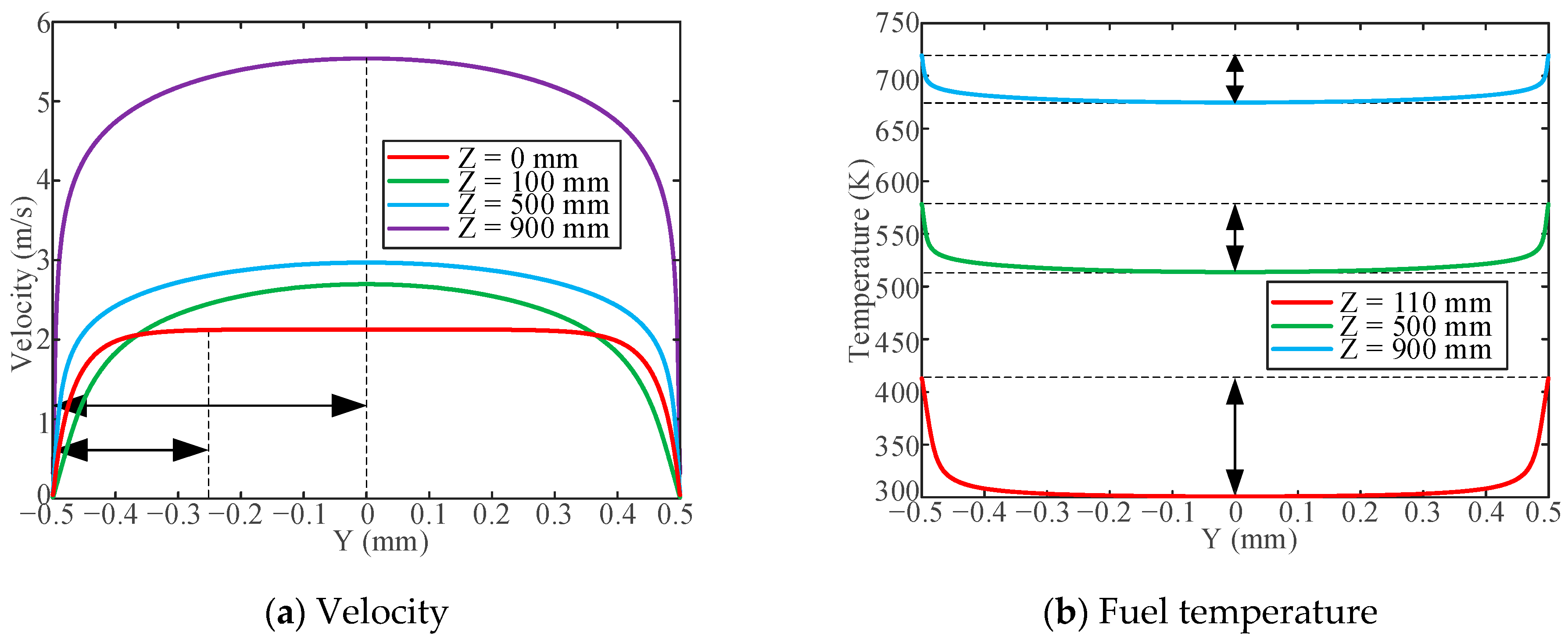
3.1. Supplemental Data for the Overall Heat Transfer Coefficient Modification
3.2. Discussion of the Overall Heat Transfer Coefficient with Modification
3.3. Comparison of the Overall Heat Transfer Coefficient with/without Modification
4. Conclusions
- (1)
- Considering the stratification of the velocity and temperature in a fluid, a formula for calculating the overall heat transfer coefficient based on the flow state was established.
- (2)
- During the change in the fuel temperature from the subcritical to supercritical region, the overall heat transfer coefficient was mainly determined by the effective thermal conductivity and the surface convective heat transfer coefficient. Similar to the trend of the constant-pressure specific heat capacity, the peak point of the overall heat transfer coefficient also appeared in the pseudo-critical temperature region.
- (3)
- Compared with the unmodified overall heat transfer coefficient, the modified overall heat transfer coefficient was smaller in general, which implies that the existing method might overestimate the overall heat transfer coefficient. The modified method not only considered the influence of the temperature based on the thermophysical property of fuel but also considered the influence of the flow state caused by the fuel heat convection, which indicates that the modified overall heat transfer coefficient may be closer to reality.
- (4)
- The modified method is adaptive in a three-dimensional case. For the convenience of heat transfer enhancement design in a cooling channel, a quasi-one-dimensional case will be considered in our next stage of search.
Author Contributions
Funding
Institutional Review Board Statement
Informed Consent Statement
Data Availability Statement
Conflicts of Interest
Nomenclature
| a, b, u, w | parameters in the Peng–Robinson equation of state |
| B6, B7, G2, ψ | parameters in thermal conductivity |
| cp | constant-pressure specific heat capacity, J/(kg·K) |
| CD | diffusion term |
| SCHTC | surface convective heat transfer coefficient, W/(m2·K) |
| d | diameter, m |
| e | specific internal energy, J/kg |
| OHTC | overall heat transfer coefficient, W/(m2·K) |
| h | convective heat transfer coefficient, W/(m2·K) |
| i | number of fluid part |
| k | turbulent kinetic energy, m2/s2 |
| kz | overall heat transfer coefficient, W/(m2·K) |
| overall heat transfer coefficient, W/(m2·K) | |
| lj | microchannel length, m |
| n | number of solid part |
| R | thermal resistance, K/W |
| U | velocity vector, m/s |
| Mw | molar mass, kg/mol |
| p | pressure, Pa |
| Pk | production term |
| Prt | turbulent Prandtl number |
| q | heat flux, W/m2 |
| Ru | universal gas constant, J/(mol·K) |
| SE | source term |
| SM | momentum source term |
| T | temperature, K |
| bulk temperature, K | |
| Tr | reduced temperature |
| Vc | critical volume, cm3/mol |
| α, β, β*, δ | parameters in k—ω model |
| δ | relative error, % relative difference, % |
| ε | maximum permissible error |
| ϕ | heating power, W |
| internal heat source, W/m3 | |
| λ | thermal conductivity, W/(m·K) |
| ω | specific dissipation rate, 1/s |
| μ | dynamic viscosity at high pressure, μP |
| μ* | dynamic viscosity at low pressure, μP |
| μt | turbulent viscosity, Pa·s |
| ∇ | Hamiltonian |
| ρ | density, kg m−3 |
| τ | stress, Pa |
| Subscripts | |
| 0 | ideal status |
| adj | adjacent |
| b | bulk |
| c | critical |
| cal | calculated |
| mod | modified |
| eff | effective |
| exp | experiment |
| f | fluid |
| h | high |
| i | number of fluid radial stratification |
| in | inner inlet |
| j | axial segment number of cooling channel |
| k | turbulent kinetic energy overall heat transfer coefficient |
| l | laminar low |
| out | outlet |
| T | temperature |
| t | turbulent |
| unmod | unmodified |
| w | wall |
References
- Taguchi, H.; Kobayashi, H.; Kojima, T.; Ueno, A.; Imamura, S.; Hongoh, M.; Harada, K. Research on hypersonic aircraft using pre-cooled turbojet engines. Acta Astronaut. 2012, 73, 164–172. [Google Scholar] [CrossRef]
- Warwick, G. X-43A success revives optimism. Flight Int. 2004, 165, 4928. [Google Scholar]
- Lewis, M. X-51 scrams into the future. Aerosp. Am. 2010, 48, 26–31. [Google Scholar]
- Liu, S.; Feng, Y.; Cao, Y.; Gong, K.; Zhou, W.; Bao, W. Numerical simulation of supercritical catalytic steam reforming of aviation kerosene coupling with coking and heat transfer in mini-channel. Int. J. Therm. Sci. 2019, 137, 199–214. [Google Scholar] [CrossRef]
- Zhu, S.; Xu, X.; Yang, Q.; Jin, Y. Intermittent back-flash phenomenon of supersonic combustion in the staged-strut scramjet engine. Aerosp. Sci. Technol. 2018, 79, 70–74. [Google Scholar] [CrossRef]
- Zhang, C.; Yang, Q.; Chang, J.; Tang, J.; Bao, W. Nonlinear characteristics and detection of combustion modes for a hydrocarbon fueled scramjet. Acta Astronaut. 2015, 110, 89–98. [Google Scholar] [CrossRef]
- Luo, S.; Xu, D.; Song, J.; Liu, J. A review of regenerative cooling technologies for scramjets. Appl. Therm. Eng. 2021, 190, 116754. [Google Scholar] [CrossRef]
- Li, H.; Qin, J.; Jiang, Y.; Zhou, W.; Bao, W.; Huang, H. Experimental study on the thermodynamic characteristics of the high temperature hydrocarbon fuel in the cooling channel of the hypersonic vehicle. Acta Astronaut. 2019, 155, 63–79. [Google Scholar] [CrossRef]
- Cheng, X.; Feng, S.; Bi, Q. Surface coke deposition influences on flow and heat transfer of hydrocarbon fuel in circular tubes with twisted-tape inserts. Int. Commun. Heat Mass Transf. 2021, 122, 105125. [Google Scholar] [CrossRef]
- Liu, Z.; Bi, Q.; Cuo, Y.; Yan, J.; Yang, Z. Convective heat transfer and pressure drop characteristics of near-critical-pressure hydrocarbon fuel in a minichannel. Appl. Therm. Eng. 2013, 51, 1047–1054. [Google Scholar] [CrossRef]
- Deng, H.; Zhu, K.; Xu, G.; Tao, Z.; Sun, J. Heat transfer characteristics of RP-3 kerosene at supercritical pressure in a vertical circular tube. J. Enhanc. Heat Transf. 2012, 19, 409–421. [Google Scholar] [CrossRef]
- Huang, D.; Ruan, B.; Wu, X.; Zhang, W.; Xu, G.; Tao, Z.; Jiang, P.; Ma, L.; Li, W. Experimental study on heat transfer of aviation kerosene in a vertical upward tube at supercritical pressures. Chin. J. Chem. Eng. 2015, 23, 425–434. [Google Scholar] [CrossRef]
- Fu, Y. Experimental Study on Heat Transfer Characteristics to Supercritical Hydrocarbon Fuel in a Horizontal Micro-Tube. In Proceedings of the ASME Turbo Expo 2014: Turbine Technical Conference and Exposition, Düsseldorf, Germany, 16–20 June 2014. [Google Scholar]
- Zhang, L.; Zhang, R.; Xiao, S.; Jiang, J.; Le, J. Experimental investigation on heat transfer correlations of n-decane under supercritical pressure. Int. J. Heat Mass Transf. 2013, 64, 393–400. [Google Scholar] [CrossRef]
- Xu, Q.; Li, H.; Feng, Y.; Li, X.; Ling, C.; Zhou, C.; Qin, J. Dynamic thermo-physical characteristics of high temperature gaseous hydrocarbon fuel thermal power generation for regeneratively cooled hypersonic propulsion system. Energy 2020, 211, 118722. [Google Scholar] [CrossRef]
- Bergman, T.; Lavine, A. Fundamentals of Heat and Mass Transfer, 8th ed.; Wiley: Hoboken, NJ, USA, 2017. [Google Scholar]
- Pu, H.; Li, S.; Dong, M.; Jiao, S.; Wang, Y.; Shang, Y. Convective heat transfer and flow resistance characteristics of supercritical pressure hydrocarbon fuel in a horizontal rectangular mini-channel. Exp. Therm. Fluid Sci. 2019, 108, 39–53. [Google Scholar] [CrossRef]
- Osborne, D.; Incropera, F. Experimental study of mixed convection heat transfer for transitional and turbulent flow between horizontal, parallel plates. Int. J. Heat Mass Transf. 1985, 28, 1337–1344. [Google Scholar] [CrossRef]
- Meyer, J.; Everts, M.; Coetzee, N.; Grote, K.; Steyn, M. Heat transfer coefficients of laminar, transitional, quasi-turbulent and turbulent flow in circular tubes. Int. Commun. Heat Mass Transf. 2019, 105, 84–106. [Google Scholar] [CrossRef]
- Kays, W.; Crawford, M.; Weigand, B. Convective Heat and Mass Transfer, 4th ed.; McGraw-Hill: New York, NY, USA, 2004. [Google Scholar]
- Feng, Y.; Liu, S.; Qin, J.; Cao, Y.; Jiang, Y.; Zhagn, S. Numerical study on the influence of turbulence on the pyrolysis of hydrocarbon fuel in mini-channel. Int. J. Heat Mass Transf. 2018, 119, 768–776. [Google Scholar] [CrossRef]
- Kim, S.; Choi, H.; Kim, Y. Thermo-physical modeling based on a generalized cubic equation of state for kerosene/LOx rocket combustion. Combust. Flame 2012, 159, 1351–1365. [Google Scholar] [CrossRef]
- Poling, E.; Prausnitz, J.; Paul, O. The Properties of Gases and Liquids; McGraw-Hill: New York, NY, USA, 2000. [Google Scholar]







Publisher’s Note: MDPI stays neutral with regard to jurisdictional claims in published maps and institutional affiliations. |
© 2022 by the authors. Licensee MDPI, Basel, Switzerland. This article is an open access article distributed under the terms and conditions of the Creative Commons Attribution (CC BY) license (https://creativecommons.org/licenses/by/4.0/).
Share and Cite
Li, H.; Lin, G.; Xu, Q.; Fang, X.; Xian, S. Overall Heat Transfer Coefficient Evaluation Method for Uncracked Hydrocarbon Fuel in a Regeneratively-Cooled Heat Exchanger of a Scramjet. Appl. Sci. 2022, 12, 6590. https://doi.org/10.3390/app12136590
Li H, Lin G, Xu Q, Fang X, Xian S. Overall Heat Transfer Coefficient Evaluation Method for Uncracked Hydrocarbon Fuel in a Regeneratively-Cooled Heat Exchanger of a Scramjet. Applied Sciences. 2022; 12(13):6590. https://doi.org/10.3390/app12136590
Chicago/Turabian StyleLi, Haowei, Guowei Lin, Qing Xu, Xiaojia Fang, and Shengxian Xian. 2022. "Overall Heat Transfer Coefficient Evaluation Method for Uncracked Hydrocarbon Fuel in a Regeneratively-Cooled Heat Exchanger of a Scramjet" Applied Sciences 12, no. 13: 6590. https://doi.org/10.3390/app12136590
APA StyleLi, H., Lin, G., Xu, Q., Fang, X., & Xian, S. (2022). Overall Heat Transfer Coefficient Evaluation Method for Uncracked Hydrocarbon Fuel in a Regeneratively-Cooled Heat Exchanger of a Scramjet. Applied Sciences, 12(13), 6590. https://doi.org/10.3390/app12136590

