Starting and Regulating Characteristics of Electric Pump Feed System for LRE under Different Schemes
Abstract
:Featured Application
Abstract
1. Introduction
2. System Composition and Working Sequence
2.1. Composition of Electric Pump Feed System
2.2. Working Sequence of Oxidant System
3. Models and Methods
3.1. Electric Pump
3.2. Valve, Pipeline, and Tank
4. Results and Discussion
4.1. Comparison of Pump Speed Adjustment Schemes
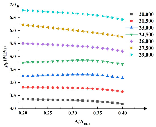
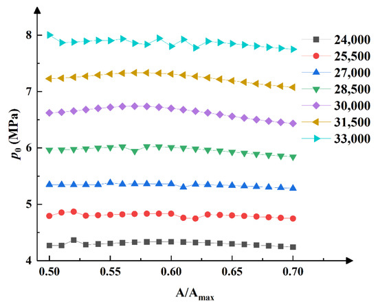
4.2. Multivariable Design of Joint Adjustment Scheme
4.3. Comparison between Pump Speed Adjustment and Joint Adjustment Schemes
5. Conclusions
Author Contributions
Funding
Institutional Review Board Statement
Informed Consent Statement
Data Availability Statement
Acknowledgments
Conflicts of Interest
References
- Ferraiuolo, M.; Perrella, M.; Giannella, V.; Citarella, R. Thermal–Mechanical FEM Analyses of a Liquid Rocket Engines Thrust Chamber. Appl. Sci. 2022, 12, 3443. [Google Scholar] [CrossRef]
- Li, Z.; Barzegar Gerdroodbary, M.; Moradi, R.; Manh, T.D.; Babazadeh, H. Effect of Inclined Block on Fuel Mixing of Multi Hydrogen Jets in Scramjet Engine. Aerosp. Sci. Technol. 2020, 105, 106035. [Google Scholar] [CrossRef]
- Peng, Y.; Barzegar Gerdroodbary, M.; Sheikholeslami, M.; Shafee, A.; Babazadeh, H.; Moradi, R. Mixing Enhancement of the Multi Hydrogen Fuel Jets by the Backward Step. Energy 2020, 203, 117859. [Google Scholar] [CrossRef]
- Amiri Delouei, A.; Sajjadi, H.; Izadi, M.; Mohebbi, R. The Simultaneous Effects of Nanoparticles and Ultrasonic Vibration on Inlet Turbulent Flow: An Experimental Study. Appl. Therm. Eng. 2019, 146, 268–277. [Google Scholar] [CrossRef]
- Sun, D.; Liu, J.; Xiang, W. Numerical Simulation of the Transient Process of Monopropellant Rocket Engines. Aerosp. Sci. Technol. 2020, 103, 105921. [Google Scholar] [CrossRef]
- Matsumoto, J.; Okaya, S.; Igoh, H.; Kawaguchi, J. Concept of a Self-Pressurized Feed System for Liquid Rocket Engines and Its Fundamental Experiment Results. Acta Astronaut. 2017, 133, 166–176. [Google Scholar] [CrossRef]
- Niu, L.; Liu, Y.; Wang, J.; Tu, H.; Dong, H.; Yan, N. Reliability Analysis of Pyrotechnic Igniter for Hydrogen-Oxygen Rocket Engine with Low Temperature Combustion Instability Failure Mode. Appl. Sci. 2022, 12, 3414. [Google Scholar] [CrossRef]
- Zhou, C.; Yu, N.; Wang, J.; Jin, P.; Cai, G. Analysis of Dynamic Characteristics and Sensitivity of Hydrogen-Oxygen Expansion Cycle Rocket Engine System. Acta Astronaut. 2021, 189, 624–637. [Google Scholar] [CrossRef]
- Ferraiuolo, M.; Leo, M.; Citarella, R. On the Adoption of Global/Local Approaches for the Thermomechanical Analysis and Design of Liquid Rocket Engines. Appl. Sci. 2020, 10, 7664. [Google Scholar] [CrossRef]
- Lee, J.; Roh, T.-S.; Huh, H.; Lee, H.J. Performance Analysis and Mass Estimation of a Small-Sized Liquid Rocket Engine with Electric-Pump Cycle. Int. J. Aeronaut. Space Sci. 2021, 22, 94–107. [Google Scholar] [CrossRef]
- Liang, T.; Cai, G.; Wang, J.; Gu, X.; Zhuo, L.; Cao, L. A Hydrogen Peroxide Electric Pump for Throttleable Hybrid Rocket Motor. Acta Astronaut. 2022, 192, 409–417. [Google Scholar] [CrossRef]
- Zhou, C.; Yu, N.; Cai, G.; Wang, J. Comparison between the Dynamic Characteristics of Electric Pump Fed Engine and Expander Cycle Engine. Aerosp. Sci. Technol. 2022, 124, 107508. [Google Scholar] [CrossRef]
- Liang, T.; Song, J.; Li, Q.; Cui, P.; Cheng, P.; Chen, L. System Scheme Design of Electric Expander Cycle for LOX/LCH4 Variable Thrust Liquid Rocket Engine. Acta Astronaut. 2021, 186, 451–464. [Google Scholar] [CrossRef]
- Sun, L.; Yu, C.; Zhao, Y.; Bao, F.; Liu, Y.; Hui, W. Dynamic Identification of Nozzle Throat Diameter of a Solid Rocket Motor and Experimental Validation Based on Micron-CT 3D Reconstruction. In Proceedings of the 2020 11th International Conference on Mechanical and Aerospace Engineering (ICMAE), Athens, Greece, 14–17 July 2020; pp. 39–46. [Google Scholar]
- Hu, R.; Ferrari, R.M.G.; Chen, Z.; Cheng, Y.; Zhu, X.; Cui, X.; Wu, J. System Analysis and Controller Design for the Electric Pump of a Deep-Throttling Rocket Engine. Aerosp. Sci. Technol. 2021, 114, 106729. [Google Scholar] [CrossRef]
- Dlugiewicz, L.; Kolowrotkiewicz, J.; Szelag, W.; Slusarek, B. Permanent Magnet Synchronous Motor to Drive Propellant Pump. In Proceedings of the International Symposium on Power Electronics Power Electronics, Electrical Drives, Automation and Motion, Sorrento, Italy, 19–22 June 2012; IEEE: Sorrento, Italy, 2012; pp. 822–826. [Google Scholar]
- Solda, N.; Lentini, D. Opportunities for a Liquid Rocket Feed System Based on Electric Pumps. J. Propuls. Power 2008, 24, 1340–1346. [Google Scholar] [CrossRef]
- Liu, Y.; Fu, B.; Yang, J.; He, G.; He, Y.; Liu, P. System Modeling and Simulation of Electric Pump Feed Liquid Propellant Rocket Engine. Manned Spacefl. 2019, 25, 107–115. [Google Scholar]
- Wang, D.; Chen, H.; Zhou, C. System Scheme and Performance Evaluation of an Engine Fed by Electric Pump. J. Rocket Propuls. 2018, 44, 28–32. [Google Scholar]
- Kwak, H.-D.; Kwon, S.; Choi, C.-H. Performance Assessment of Electrically Driven Pump-Fed LOX/Kerosene Cycle Rocket Engine: Comparison with Gas Generator Cycle. Aerosp. Sci. Technol. 2018, 77, 67–82. [Google Scholar] [CrossRef]
- Liu, C. Comparative Study on Electric Pump and Pressure-Fed Propulsion Systems. J. Rocket Propuls. 2017, 43, 32–39. [Google Scholar]
- Lu, Y.; Jiang, Z.; Chen, C.; Zhuang, Y. Energy Efficiency Optimization of Field-Oriented Control for PMSM in All Electric System. Sustain. Energy Technol. Assess. 2021, 48, 101575. [Google Scholar] [CrossRef]
- Wang, C.; Xiang, L.; Tan, Y.; Chen, H.; Xu, K. Experimental Investigation of Thermal Effect on Cavitation Characteristics in a Liquid Rocket Engine Turbopump Inducer. Chin. J. Aeronaut. 2021, 34, 48–57. [Google Scholar] [CrossRef]
- Ma, Y.; Zhao, Q.; Zhao, W.; Liu, B.; Hao, L. Intrinsic Physical Relationships between Rotor Modal Shapes and Instantaneous Vibrational Energy Flow Transmission Characteristics: Theoretical and Numerical Analysis and Application. Chin. J. Aeronaut. 2020, 33, 3288–3305. [Google Scholar] [CrossRef]
- Zhou, W.; Wang, Y.; Li, C.; Zhang, W.; Wu, G. Analysis of Fluid-Induced Force of Centrifugal Pump Impeller with Compound Whirl. Alex. Eng. J. 2020, 59, 4247–4255. [Google Scholar] [CrossRef]
- Ramirez, R.; Avila, E.; Lopez, L.; Bula, A.; Duarte Forero, J. CFD Characterization and Optimization of the Cavitation Phenomenon in Dredging Centrifugal Pumps. Alex. Eng. J. 2020, 59, 291–309. [Google Scholar] [CrossRef]
- Yao, Y.; Sha, H.; Su, Y.; Ren, G.; Yu, S. Identification of System Parameters and External Forces in AMB-Supported PMSM System. Mech. Syst. Signal Process. 2022, 166, 108438. [Google Scholar] [CrossRef]
- Okninski, A.; Kindracki, J.; Wolanski, P. Multidisciplinary Optimisation of Bipropellant Rocket Engines Using H2O2 as Oxidiser. Aerosp. Sci. Technol. 2018, 82–83, 284–293. [Google Scholar] [CrossRef]
- Moon, Y.; Park, C.; Jo, S.; Kwon, S. Design Specifications of H2O2/Kerosene Bipropellant Rocket System for Space Missions. Aerosp. Sci. Technol. 2014, 33, 118–121. [Google Scholar] [CrossRef]
- Dai, J.; Cai, G.; Zhang, Y.; Yu, N. Experimental and Numerical Investigation of Combustion Characteristics on GO2/GH2 Shear Coaxial Injector. Aerosp. Sci. Technol. 2018, 77, 725–732. [Google Scholar] [CrossRef]
- Chao, H.; Huanli, Y.; Jian, D. Mixing and Combustion Augmentation of the RBCC with Different Mixer Configurations in Ejector Mode. Acta Astronaut. 2020, 174, 281–293. [Google Scholar] [CrossRef]
- Li, H.; Ye, L.; Wei, X.; Li, T.; Li, S. The Design and Main Performance of a Hydrogen Peroxide/Kerosene Coaxial-Swirl Injector in a Lab-Scale Rocket Engine. Aerosp. Sci. Technol. 2017, 70, 636–643. [Google Scholar] [CrossRef] [Green Version]
- Liang, T.; Xu, Y.; Li, J.; Cai, G. Flow Structures and Wall Parameters on Rotating Riblet Disks and Their Effects on Drag Reduction. Alex. Eng. J. 2022, 61, 2673–2686. [Google Scholar] [CrossRef]
- Irfan, M.; Glowacz, A. Design of a Novel Electric Diagnostic Technique for Fault Analysis of Centrifugal Pumps. Appl. Sci. 2019, 9, 5093. [Google Scholar] [CrossRef] [Green Version]
- Zhou, W.; Zhao, Z.; Wang, Y.; Shi, J.; Gan, B.; Li, B.; Qiu, N. Research on Leakage Performance and Dynamic Characteristics of a Novel Labyrinth Seal with Staggered Helical Teeth Structure. Alex. Eng. J. 2021, 60, 3177–3187. [Google Scholar] [CrossRef]
- Ndalila, P.D.; Li, Y.; Liu, C.; Nasser, A.H.A.; Mawugbe, E.A. Modeling Dynamic Pressure of Gas Pipeline With Single and Double Leakage. IEEE Sens. J. 2021, 21, 10804–10810. [Google Scholar] [CrossRef]
- Li, C.; Cheng, Y.; Wang, N.; Wu, D.; Li, Y. Transient Modelling of Pressure-Controlled Propellant Crossfeed for Liquid Rocket. Cryogenics 2021, 116, 103303. [Google Scholar] [CrossRef]




















| Parameters | Value | Unit |
|---|---|---|
| Thrust of the engine | 8.4–33.6 | kN |
| Operating time | 80 | s |
| Total flow of the engine | 3–12 | kg/s |
| Oxidant flow of the engine | 2.6–10.6 | kg/s |
| Stage of operation | 3 | / |
| Adjustment ratio | 4:1 | / |
| Mixture ratio | 7.5 | / |
| Maximum supply pressure | ≮6.9 | MPa |
| Total power of electric pumps | 100 | kW |
| Period | Time (s) | Oxidant Flow (kg/s) |
|---|---|---|
| 1st | 0–40 | 2.6 |
| 2nd | 40–45 | 5.3 |
| 3rd | 45–80 | 10.6 |
| Parameters | Value | Unit |
|---|---|---|
| Pressure of pump outlet | 8.5 | MPa |
| Rated pump flow | 5.3 | kg/s |
| Number of poles | 2 | / |
| Number of slots | 18 | / |
| Rated voltage | 540 | VDC |
| Rated speed | 36,000 | r/min |
| Rated power | 50 | kW |
| Stator outer diameter | 135 | mm |
| Stator inner diameter | 45 | mm |
| Parameters | Value | Unit |
|---|---|---|
| Throat diameter of regulating valve | 10.47 | mm |
| Maximum regulating valve flow | 10.6 | kg/s |
| Flow coefficient of regulating valve | 0.8 | / |
| Nominal diameter of gas valve | 10 | mm |
| Nominal diameter of valve before and after pump | 25 | mm |
| Nominal diameter of gas pipeline | 10 | mm |
| Nominal diameter of main liquid pipeline | 40 | mm |
| Parameters | Value | Unit |
|---|---|---|
| Volume of propellant tank | 500 | L |
| Pneumatic cushion of propellant tank | 75 | L |
| Allowable pressure of propellant tank | 1 | MPa |
| Wall thickness of propellant tank | 2 | mm |
| Volume of gas tank | 30 | L |
| Pressure of gas tank | 15 | MPa |
| Heat transfer coefficient of gas tank | 40 | W/(m2·K) |
| Period | Scheme ASYNC | Scheme SYNC | ||
|---|---|---|---|---|
| Quantity of Working Pumps | Speed (r/min) | Quantity of Working Pumps | Speed (r/min) | |
| 1st | 1 | 13,300 | 2 | 12,100 |
| 2nd | 1 | 22,300 | 2 | 19,600 |
| 3rd | 2 | 36,000 | 2 | 36,000 |
| Period | Scheme SYNC | Scheme JOINT | ||
| Quantity of Working Pumps | Speed (r/min) | Quantity of Working Pumps | Speed (r/min) | |
| 1st | 2 | 12,100 | 2 | 24,800 |
| 2nd | 2 | 19,600 | 2 | 29,700 |
| 3rd | 2 | 36,000 | 2 | 36,000 |
Publisher’s Note: MDPI stays neutral with regard to jurisdictional claims in published maps and institutional affiliations. |
© 2022 by the authors. Licensee MDPI, Basel, Switzerland. This article is an open access article distributed under the terms and conditions of the Creative Commons Attribution (CC BY) license (https://creativecommons.org/licenses/by/4.0/).
Share and Cite
Zhou, C.; Yu, N.; Wang, J.; Cai, G. Starting and Regulating Characteristics of Electric Pump Feed System for LRE under Different Schemes. Appl. Sci. 2022, 12, 6441. https://doi.org/10.3390/app12136441
Zhou C, Yu N, Wang J, Cai G. Starting and Regulating Characteristics of Electric Pump Feed System for LRE under Different Schemes. Applied Sciences. 2022; 12(13):6441. https://doi.org/10.3390/app12136441
Chicago/Turabian StyleZhou, Chuang, Nanjia Yu, Jue Wang, and Guobiao Cai. 2022. "Starting and Regulating Characteristics of Electric Pump Feed System for LRE under Different Schemes" Applied Sciences 12, no. 13: 6441. https://doi.org/10.3390/app12136441
APA StyleZhou, C., Yu, N., Wang, J., & Cai, G. (2022). Starting and Regulating Characteristics of Electric Pump Feed System for LRE under Different Schemes. Applied Sciences, 12(13), 6441. https://doi.org/10.3390/app12136441

