Dynamic Coefficients of Tilting Pad Bearing by Perturbing the Turbulence Model
Abstract
:1. Introduction
2. Mathematical Method
2.1. The Transient Reynolds Equation
2.2. Static and Perturbed Film Thickness for Tilting Pad Bearings
2.3. Static and Perturbed Reynolds Equation
2.4. The Dynamic Coefficients of Tilting Pad Bearings
2.5. Numerical Method and Mesh Discretization
3. The Validation of Program
4. Results and Discussion
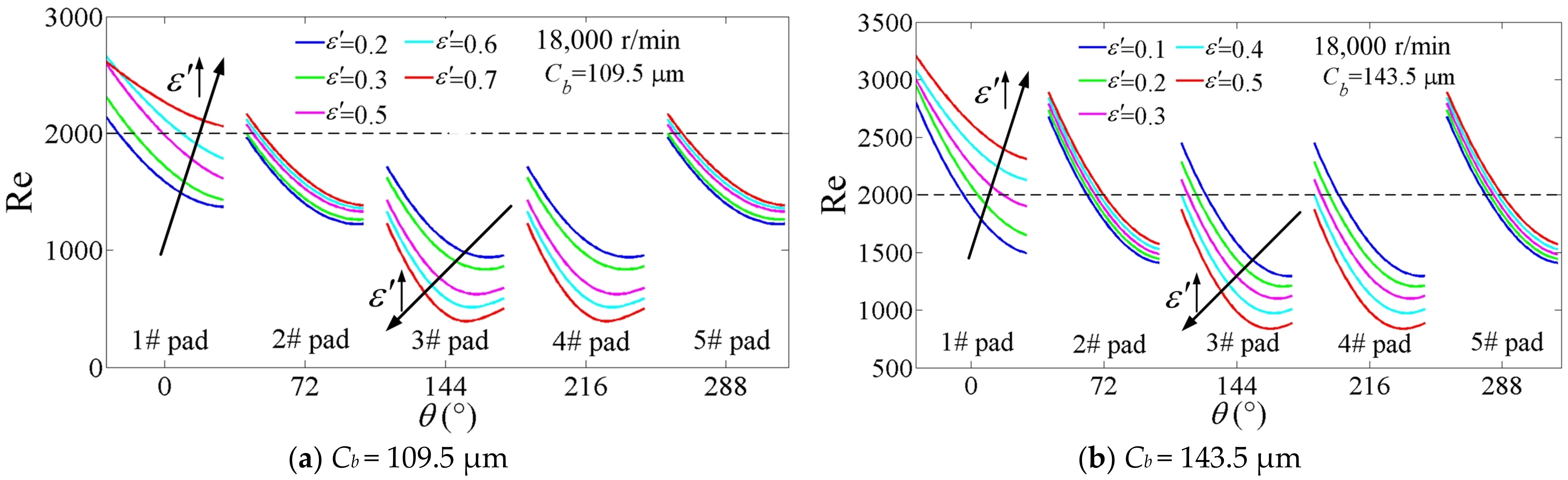
4.1. Analysis of Coexistence of Laminar and Turbulent Flow
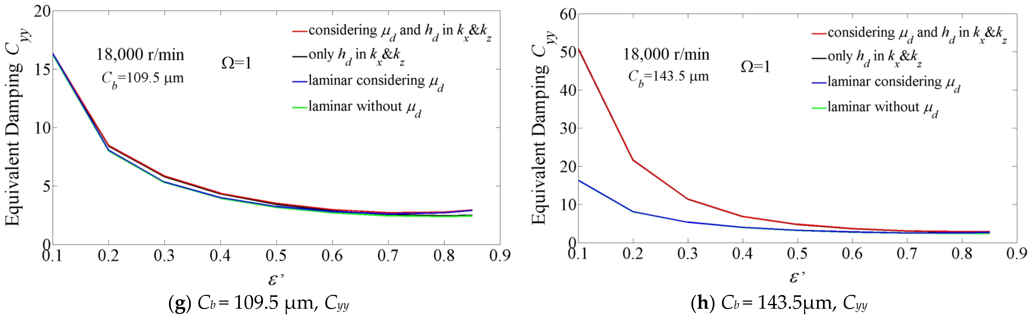
4.2. The Influence of the Perturbed Viscosity on Dynamic Coefficients
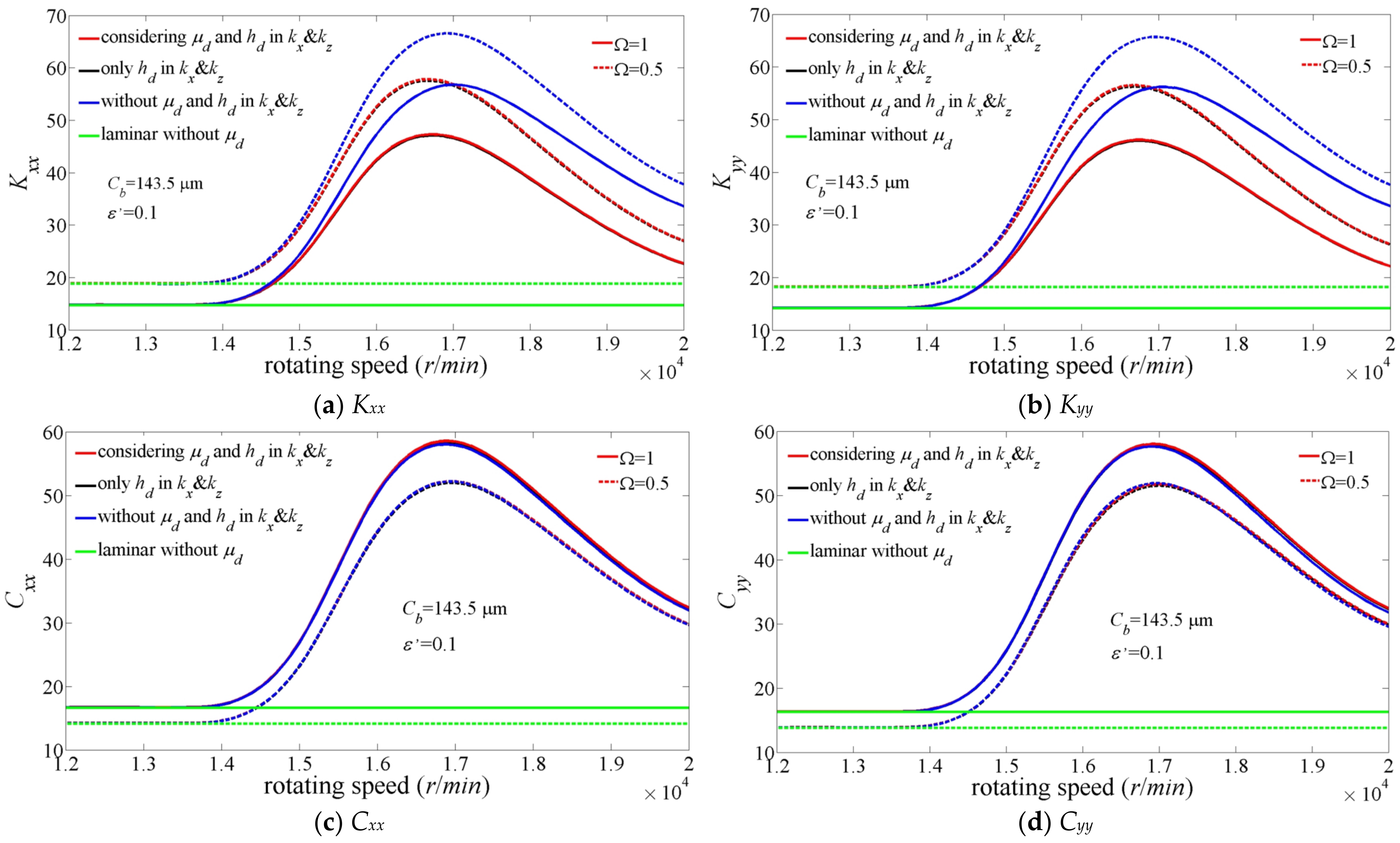
4.3. The Influence of Perturbed Film Thickness Included in Turbulence Coefficients
5. Conclusions
- (1)
- The influence of turbulence on dimensionless dynamic coefficients is obvious at a medium assembled eccentricity ratio (about 0.3 to 0.5) for small assembled radius clearance, and at a small assembled eccentricity ratio (about 0.1 to 0.3) for large assembled radius clearance. The perturbed viscosity takes effect mainly at the large assembled eccentricity ratio for small assembled radius clearance.
- (2)
- For large assembled radius clearance and at high rotating speed, neglecting the perturbed film thickness included in turbulence coefficients perturbations will lead to obviously excessive results of equivalent stiffness coefficients. Thus, the dynamic effect of turbulence needs to be considered.
- (3)
- The perturbed viscosity makes the stiffness and damping coefficients larger at both laminar and turbulent flow states, so the consideration of the perturbed viscosity is optional. For a simplified simulation and conservative prediction results, the perturbed viscosity can be neglected.
Author Contributions
Funding
Institutional Review Board Statement
Informed Consent Statement
Data Availability Statement
Acknowledgments
Conflicts of Interest
Nomenclature
| z | axial coordinate |
| R | bearing radius |
| d | bearing diameter |
| L | bearing length |
| θ | circumferential angular coordinate |
| λ | dimensionless axial coordinate |
| dimensionless film thickness | |
| Cp | pad/nominal radius clearance |
| Cb | assembled radius clearance |
| δ | pad’s tilting angle (in radian) |
| m | preload factor |
| ψ | clearance ratio |
| dimensionless viscosity | |
| dimensionless pressure | |
| ω | rotational circular frequency |
| dimensionless time | |
| ε | eccentricity ratio |
| attitude angle | |
| ε′ | assembled eccentricity ratio |
| dimensionless dynamic oil-film forces in the x-y Cartesian coordinate | |
| υ | shaft perturbation circular frequency |
| Ω | dimensionless perturbation frequency |
| kx, kz | turbulence coefficients |
| a1, b1, a2, b2 | constants in the turbulence coefficients |
| average viscosity | |
| βl | circumferential angular location of the pivot of the lth pad (l = 1, 2, …, 5) |
| α | pad arc angle (in degree) |
| θpad | pad’s angular extent (in radian) |
| γ | pivot offset |
| θL | pad’s leading edge |
| θT | pad’s trailing edge |
| dimensionless pad moment of inertia | |
| W | static load of the bearing |
| Subscripts | |
| 0 | static variables |
| d | perturbations |
| l or _l | the lth pad/pivot (l = 1, 2, …, 5) |
| Headers | |
| ~ | complex amplitude of frequency perturbation |
References
- Hei, D.; Lu, Y.; Zhang, Y.; Lu, Z.; Gupta, P.; Müller, N. Nonlinear dynamic behaviors of a rod fastening rotor supported by fixed-tilting pad journal bearings. Chaos Solitons Fractals 2014, 69, 129–150. [Google Scholar] [CrossRef]
- Varela, A.; Santos, I. Stability analysis of an industrial gas compressor supported by tilting-pad bearings under different lubrication regimes. ASME J. Eng. Gas Turbines Power 2012, 134, 022504. [Google Scholar] [CrossRef]
- Buchhorn, N.; Stottrop, M.; Bender, B. Influence of Active Cooling at the Trailing Edge on the Thermal Behavior of a Tilting-Pad Journal Bearing. Lubricants 2021, 9, 26. [Google Scholar] [CrossRef]
- Xie, Z.; Rao, Z.; Liu, H. Effect of Surface Topography and Structural Parameters on the Lubrication Performance of a Water-Lubricated Bearing: Theoretical and Experimental Study. Coatings 2019, 9, 23. [Google Scholar] [CrossRef] [Green Version]
- Mehdi, S.M.; Kim, T.H. Computational Model Development for Hybrid Tilting Pad Journal Bearings Lubricated with Supercritical Carbon Dioxide. Appl. Sci. 2022, 12, 1320. [Google Scholar] [CrossRef]
- Xu, J.; Chen, R.; Hong, H.; Yuan, X.; Zhang, C. Static characteristics of high-temperature superconductor and hydrodynamic fluid-film compound bearing for rocket engine. IEEE Trans. Appl. Supercond. 2015, 25, 3601908. [Google Scholar] [CrossRef]
- Ali, A.; Si, Q.; Wang, B.; Yuan, J.; Wang, P.; Rasool, G.; Shokrian, A.; Ali, A.; Zaman, M.A. Comparison of empirical models using experimental results of electrical submersible pump under two-phase flow: Numerical and empirical model validation. Phys. Scr. 2022, 97, 065209. [Google Scholar] [CrossRef]
- Ali, A.; Yuan, J.; Deng, F.; Wang, B.; Liu, L.; Si, Q.; Buttar, N.A. Research Progress and Prospects of Multi-Stage Centrifugal Pump Capability for Handling Gas–Liquid Multiphase Flow: Comparison and Empirical Model Validation. Energies 2021, 14, 896. [Google Scholar] [CrossRef]
- Bi, C.; Han, D.; Wu, Y.; Li, Y.; Yang, J. Thermohydrodynamic investigation for supercritical carbon dioxide high speed tilting pad bearings considering turbulence and real gas effect. Phys. Fluids 2021, 33, 125114. [Google Scholar] [CrossRef]
- Qin, Z.; Han, Q.; Chu, F. Bolt loosening at rotating joint interface and its influence on rotor dynamics. Eng. Fail. Anal. 2016, 59, 456–466. [Google Scholar] [CrossRef]
- Han, D.; Bi, C.; Yang, J. Nonlinear dynamic behavior research on high-speed turbo-expander refrigerator rotor. Eng. Fail. Anal. 2019, 96, 484–495. [Google Scholar] [CrossRef]
- Lund, J.W. Spring and Damping Coefficients for the Tilting-Pad Journal Bearing. Tribol. Trans. 1964, 7, 342–352. [Google Scholar] [CrossRef]
- Barrett, L.E.; Allaire, P.E.; Wilson, B.W. The Eigenvalue Dependence of Reduced Tilting Pad Bearing Stiffness and Damping Coefficients. Tribol. Trans. 1988, 31, 411–419. [Google Scholar] [CrossRef]
- Suh, J.; Kim, C.; Han, J.H. Effffect of Thermal Boundary Condition on Tilting Pad Journal Bearing Behavior. Appl. Sci. 2020, 10, 7540. [Google Scholar] [CrossRef]
- Ciulli, E.; Ferraro, R.; Forte, P.; Innocenti, A.; Nuti, M. Experimental Characterization of Large Turbomachinery Tilting Pad Journal Bearings. Machines 2021, 9, 273. [Google Scholar] [CrossRef]
- Yang, L.; Qi, S.; Yu, L. Analysis on Dynamic Performance of Hydrodynamic Tilting-Pad Gas Bearings Using Partial Derivative Method. ASME J. Tribol. 2009, 131, 011703. [Google Scholar]
- Schüler, E.; Berner, O. Improvement of Tilting-Pad Journal Bearing Operating Characteristics by Application of Eddy Grooves. Lubricants 2021, 9, 18. [Google Scholar] [CrossRef]
- White, M.F.; Chan, S.H. The Subsynchronous Dynamic Behavior of Tilting-Pad Journal Bearings. ASME J. Tribol. 1992, 114, 167–173. [Google Scholar] [CrossRef]
- Dousti, S.; Allaire, P. A thermohydrodynamic approach for single-film and double-film floating disk fixed thrust bearings verified with experiment. Tribol. Int. 2019, 140, 105858. [Google Scholar] [CrossRef]
- Lv, F.; Shangguan, Y.; Zou, D.; Ji, A. Transient mixed-lubrication analysis of low-viscosity lubricated bearings under impact load with consideration of turbulence. Phys. Fluids 2022, 34, 033108. [Google Scholar] [CrossRef]
- Yan, R.; Chen, H.; Zhang, W.; Hong, X.; Bao, X.; Ding, X. Calculation and verification of flow field in supercritical carbon dioxide dry gas seal based on turbulent adiabatic flow model. Tribol. Int. 2022, 165, 107275. [Google Scholar] [CrossRef]
- Guenat, E.; Schiffmann, J. Real-gas effects on aerodynamic bearings. Tribol. Int. 2018, 120, 358–368. [Google Scholar] [CrossRef]
- Bi, C.; Han, D.; Yang, J. The frequency perturbation method for predicting dynamic coefficients of supercritical carbon dioxide lubricated bearings. Tribol. Int. 2020, 146, 106256. [Google Scholar] [CrossRef]
- Ng, C.W.; Pan, C.H.T. A linearized turbulent lubrication theory. J. Basic Eng. 1965, 87, 675–682. [Google Scholar] [CrossRef]
- Someya, T. Journal-Bearing Databook; Springer: Berlin/Heidelberg, Germany, 1989. [Google Scholar]
- Barus, C. Isothermals, isopiestics, and isometrics relative to viscosity. Am. J. Sci. 1893, 45, 87–96. [Google Scholar] [CrossRef]
- Gao, J.; Liu, J.; Yue, H.; Zhao, Y.; Tlili, I.; Karimipour, A. Effects of various temperature and pressure initial conditions to predict the thermal conductivity and phase alteration duration of water based carbon hybrid nanofluids via MD approach. J. Mol. Liq. 2022, 351, 118654. [Google Scholar] [CrossRef]
- Wu, Y.; Yang, L.; Xu, T.; Wu, W. Thermo-Elasto-Hydrodynamic Characteristics Analysis of Journal Microbearing Lubricated with Rarefied Gas. Micromachines 2020, 11, 955. [Google Scholar] [CrossRef]
- Griffini, D.; Salvadori, S.; Martelli, F. Thermo-Hydrodynamic Analysis of Plain and Tilting Pad Bearings. Energy Procedia 2016, 101, 2–9. [Google Scholar] [CrossRef]
- Ramadan, K.M.; Qisieh, O.; Tlili, I. Thermal creep effects on fluid flow and heat transfer in a microchannel gas cooling. Proc. Inst. Mech. Eng. Part C J. Mech. Eng. Sci. 2022, 236, 5033–5047. [Google Scholar] [CrossRef]
- Nicholas, J. Tilting Pad Bearing Design. In Proceedings of the 23rd Turbomachinery Symposium, College Station, TX, USA, 13–15 September 1994; pp. 179–194. [Google Scholar]
- Jeung, S.H.; Suh, J.; Yoon, H.S. Performance of Tilting Pad Journal Bearings with the Same Sommerfeld Number. Appl. Sci. 2020, 10, 3529. [Google Scholar] [CrossRef]
- Dyrobes BePerf (Bearings). Available online: https://dyrobes.com/features/bearings/ (accessed on 16 May 2022).






| ε’ | Constant μ and without kx, kz | Relative Deviation | ||||||
|---|---|---|---|---|---|---|---|---|
| Kxx | Kyy | Cxx | Cyy | Kxx | Kyy | Cxx | Cyy | |
| 0.1 | 14.3 | 13.7 | 18.8 | 18.4 | 0.69% | 1.44% | 1.05% | 1.08% |
| 0.2 | 8.18 | 6.82 | 9.88 | 8.98 | 1.68% | 0.44% | 1.20% | 1.43% |
| 0.3 | 6.74 | 4.46 | 7.13 | 5.68 | 1.17% | 2.19% | 1.66% | 1.73% |
| 0.4 | 6.62 | 3.18 | 5.95 | 3.90 | 0.60% | 2.15% | 1.65% | 1.76% |
| 0.5 | 7.25 | 2.31 | 5.40 | 2.71 | 0.14% | 1.70% | 0.92% | 1.81% |
| 0.6 | 8.63 | 1.62 | 5.23 | 1.82 | 0.12% | 2.41% | 0.76% | 2.15% |
| 0.7 | 11.1 | 1.06 | 5.48 | 1.14 | 0.28% | 1.85% | 3.52% | 2.56% |
| 0.8 | 15.8 | 0.593 | 6.46 | 0.608 | 0.63% | 2.79% | 0.78% | 3.18% |
| 0.85 | 20.3 | 0.399 | 7.11 | 0.400 | 2.87% | 2.44% | 3.49% | 2.91% |
| Parameters | Value |
|---|---|
| Bearing radius (R) | 70 mm |
| Bearing length (L) | 56 mm |
| Pad arc angle (α) | 60° |
| Preload factor (m) | 0.5 |
| Pivot offset (γ) | 0.5 |
| Density of lubrication oil (ρ) | 871 kg/m3 |
| Average viscosity of oil film (μa) | 9.37 mPa·s |
Publisher’s Note: MDPI stays neutral with regard to jurisdictional claims in published maps and institutional affiliations. |
© 2022 by the authors. Licensee MDPI, Basel, Switzerland. This article is an open access article distributed under the terms and conditions of the Creative Commons Attribution (CC BY) license (https://creativecommons.org/licenses/by/4.0/).
Share and Cite
Han, D.; Bi, C.; Chen, C.; Yang, J. Dynamic Coefficients of Tilting Pad Bearing by Perturbing the Turbulence Model. Appl. Sci. 2022, 12, 6348. https://doi.org/10.3390/app12136348
Han D, Bi C, Chen C, Yang J. Dynamic Coefficients of Tilting Pad Bearing by Perturbing the Turbulence Model. Applied Sciences. 2022; 12(13):6348. https://doi.org/10.3390/app12136348
Chicago/Turabian StyleHan, Dongjiang, Chunxiao Bi, Ce Chen, and Jinfu Yang. 2022. "Dynamic Coefficients of Tilting Pad Bearing by Perturbing the Turbulence Model" Applied Sciences 12, no. 13: 6348. https://doi.org/10.3390/app12136348
APA StyleHan, D., Bi, C., Chen, C., & Yang, J. (2022). Dynamic Coefficients of Tilting Pad Bearing by Perturbing the Turbulence Model. Applied Sciences, 12(13), 6348. https://doi.org/10.3390/app12136348

