CFD Analysis of Sine Baffles on Flow Mixing and Power Consumption in Stirred Tank
Abstract
:1. Introduction
2. Research Objectives
2.1. Stirring Device
2.2. Sine Baffle Structure
3. PIV Experimental Setup
4. Mathematical Model
4.1. Governing Equations
4.2. Numerical Simulation Details
4.3. Numerical Model Verification
5. Results and Discussion
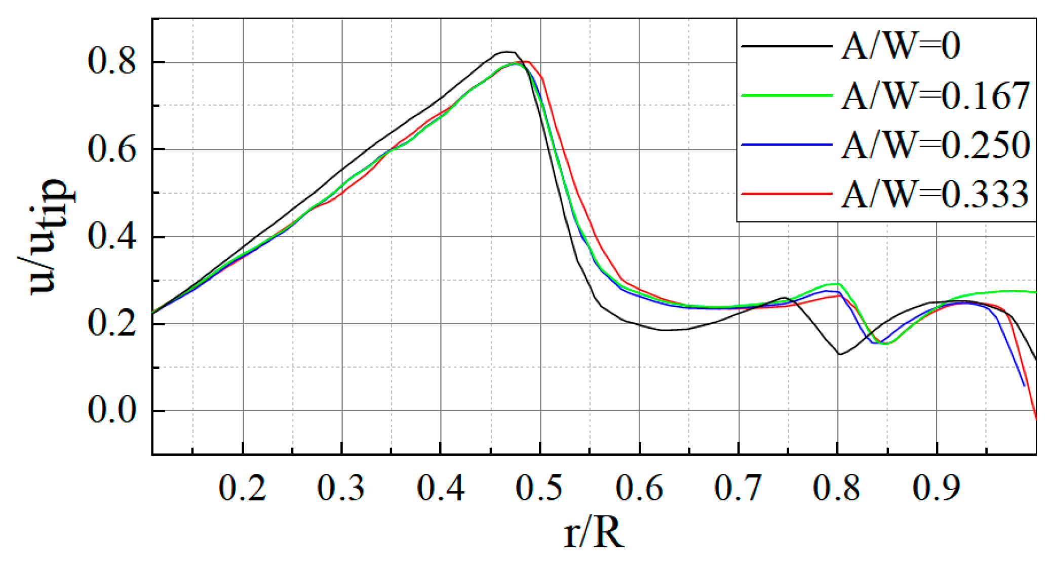
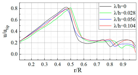
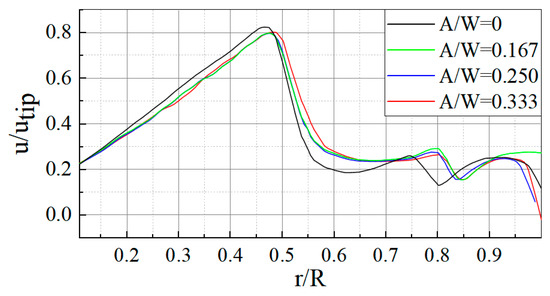
5.1. Effect of Baffle Structure on Flow Field
5.2. Effect of Baffle Structure on Flow Pattern behind It
5.3. Effect of Baffle Structure on Turbulent Dynamics
5.4. Effect of Baffle Structure on Particle Concentration Distribution
5.5. Strain Force and Power Consumption
6. Conclusions
Author Contributions
Funding
Institutional Review Board Statement
Informed Consent Statement
Data Availability Statement
Acknowledgments
Conflicts of Interest
Nomenclature
| A | Tooth height, mm |
| C | Off-bottom clearance, mm |
| Cav | Average concentration |
| Cd | Drag coefficient |
| Cr | Radial concentration |
| C1ε,C2ε,Cμ | Coefficients of turbulent model |
| D | Impeller diameter, mm |
| dS | Solid particle diameter, mm |
| Gk,m | Turbulence generation, kg·m/s3 |
| g | Gravity acceleration, m/s2 |
| h | Baffle height, mm |
| K | Interface momentum transfer coefficient |
| k | Turbulent kinetic energy, m2/s2 |
| N | Impeller speed, rpm |
| P | Power, W |
| p | Pressure, pa |
| Re | Reynolds number |
| R | Radius of the tank, mm |
| T | Tank diameter, mm |
| t | Time, s |
| Velocity vector, m/s | |
| u | Average velocity, m/s |
| ur, uθ, | cylindrical velocity components, m/s |
| utip | Impeller tip velocity, m/s |
| W | Baffle width, mm |
| Wb | Blade width, mm |
| x,y,z | Cartesian coordinates |
| Greek Letters | |
| λ | Tooth width, mm |
| δ | Baffle thickness, mm |
| ε | Turbulent kinetic energy dissipation rate, m2/s3 |
| μ | Shear viscosity, Pa·s |
| ρ | Density, kg/m3 |
| σ | Turbulent Prandtl number for k and ε |
| Viscous stress tensor, Pa | |
| φ | Volume fraction, % |
| ψ | Smooth function |
| Subscripts | |
| L | Liquid phase |
| S | Solid phase |
| m | Mixture properties |
| i | i = L for liquid phase or S for solid phase |
References
- Lin, P.-Y.; Lee, H.L.; Chen, C.-W. Effects of baffle configuration and tank size on spherical agglomerates of dimethyl fumarate in a common stirred tank. Int. J. Pharm. 2015, 495, 886–894. [Google Scholar] [CrossRef]
- Karcz, J.; StreK, F. Heat transfer in jacketed agitated vessels equipped with non-standard baffles. Chem. Eng. J. Biochem. Eng. J. 1995, 58, 135–143. [Google Scholar] [CrossRef]
- Vilardi, G.; Verdone, N. Production of metallic iron nanoparticles in a baffled stirred tank reactor: Optimization via computational fluid dynamics simulation. Particuology 2020, 5, 14. [Google Scholar] [CrossRef]
- Xu, W.; Tan, Y.; Li, M. Effects of surface vortex on the drawdown and dispersion of floating particles in stirred tanks. Particuology 2019, 49, 159–168. [Google Scholar] [CrossRef]
- Lu, Z.-M.; Li, C.-T.; Fei, L.-Q.; Zhang, H.-L.; Pan, Y.-H. Effect of baffle structure on flow field characteristics of orbitally shaken bioreactor. Bioprocess Biosyst. Eng. 2021, 44, 563–573. [Google Scholar] [CrossRef]
- Ying, F.; Jiao, S.; Jie, J. The Effect of Baffle on Flow Structures and Dynamics Stirred by Pitch Blade Turbine. Chem. Eng. Res. Des. 2021, 68, 227–238. [Google Scholar]
- Atibeni, R.; Gao, Z.-M.; Bao, Y.-Y. Effect of baffles on fluid flow field in stirred tank with floating particles by using PIV. Can. J. Chem. Eng. 2013, 91, 570–578. [Google Scholar] [CrossRef]
- Kamla, Y.; Bouzit, M.; Ameur, H. Effect of the Inclination of Baffles on the Power Consumption and Fluid Flows in a Vessel Stirred by a Rushton Turbine. Chin. J. Mech. Eng. 2017, 30, 9. [Google Scholar] [CrossRef]
- Ammar, M.; Driss, Z.; Chtourou, W.; Abid, M.S. Effects of baffle length on turbulent flows generated in stirred vessels. Cent. Eur. J. Eng. 2011, 1, 401–412. [Google Scholar] [CrossRef]
- da Silva Rosa, V.; Torneiros, D.L.M.; de Albuquerque Maranhão, H.W.; de Moraes, M.S.; Taqueda, M.E.S.; de Paiva, J.L.; Santos, A.R.; de Moraes Júnior, D. Heat transfer and power consumption of Newtonian and non-Newtonian liquids in stirred tanks with vertical tube baffles—ScienceDirect. Appl. Therm. Eng. 2020, 176, 115355. [Google Scholar] [CrossRef]
- Soliman, M.S.; Nosier, S.A.; Hussein, M. Mass and heat transfer behavior of a new heterogeneous stirred tank reactor with serpentine tube baffles. Chem. Eng. Res. Des. 2017, 124, 211–221. [Google Scholar] [CrossRef]
- Shen, Y.-Y.; Qin, B.; Li, X. Investigation of the flow characteristics of liquid–liquid two-phase mixing in an agitator equipped with a “V-shaped” horizontal baffle. Environ. Dev. Sustain. 2020, 23, 2298–2313. [Google Scholar] [CrossRef]
- Bukhari, M.; Ali, A.; Amir, K. A Study of Palm Oil-Methanol Mixing in a Stirred Tank Equipped with a Fractal Baffles. In International Conference on Recent Trends in Materials and Mechanical Engineering (ICRTMME 2015), 3rd ed.; Trans Tech Publications Ltd.: Stafa-Zurich, Switzerland, 2015. [Google Scholar]
- Foukrach, M.; Ameur, H. Effect of baffles shape on the flow patterns and power consumption in stirred vessels. SN Appl. Sci. 2019, 1, 1503. [Google Scholar] [CrossRef] [Green Version]
- Karcz, J.; Mackiewicz, B. Effects of vessel baffling on the drawdown of floating solids. Chem. Pap. 2009, 63, 164–171. [Google Scholar] [CrossRef]
- Zhang, C.; Li, A.; Che, J.; Li, Y.; Liu, Q.; Zhao, Y. A low-resistance elbow with a bionic sawtooth guide vane in ventilation and air conditioning systems. Build. Simul. 2022, 15, 117–128. [Google Scholar] [CrossRef]
- Martínez-Delgadillo, S.A.; Alonzo-Garcia, A.; Mendoza-Escamilla, V.X.; González-Neria, I.; Yáñez-Varela, J.A. Analysis of the turbulent flow and trailing vortices induced by new design grooved blade impellers in a baffled tank. Chem. Eng. J. 2019, 358, 225–235. [Google Scholar] [CrossRef]
- Zhang, W.-T.; Gao, Z.-L.; Yang, Q.-Z.; Zhou, S.-Q.; Xia, D. Study of novel punched-bionic impellers for high efficiency and homogeneity in PCM mixing and other solid-liquid stirs. Appl. Sci. 2021, 11, 9883. [Google Scholar] [CrossRef]
- Rao, D.A.; Sivashanmugam, P. Experimental and CFD simulation studies on power consumption in mixing using energy saving turbine agitator. J. Ind. Eng. Chem. 2010, 16, 157–161. [Google Scholar]
- Gidaspow, D. Multiphase Flow and Fluidization: Continuum and Kinetic Theory Description. J. Non-Newton. Fluid Mech. 1994, 55, 207–208. [Google Scholar]
- Huilin, L.; Yurong, H.; Wentie, L.; Ding, J.; Gidaspow, D.; Bouillard, J. Computer simulations of gas–solid flow in spouted beds using kinetic–frictional stress model of granular flow. Chem. Eng. Sci. 2004, 59, 865–878. [Google Scholar] [CrossRef]
- Montante, G.; Magelli, F. Modelling of solids distribution in stirred tanks: Analysis of simulation strategies and comparison with experimental data. Int. J. Comput. Fluid Dyn. 2005, 19, 253–262. [Google Scholar] [CrossRef]
- Li, L.-C.; Xu, B. CFD simulation of floating particles suspension in a stirred tank. Chem. Pap. Slovak Acad. Sci. 2017, 71, 1377–1387. [Google Scholar] [CrossRef]
- Sivashanmugam, P.; Sandeep, P. Experimental studies and CFD modeling on the effects of a cut in the baffle on power consumption. Chem. Prod. Process Model. 2009, 4, 1–14. [Google Scholar] [CrossRef]



















| Element | Symbol | Value |
|---|---|---|
| Tank diameter | T | 288 mm |
| Impeller diameter | D | T/2 |
| Off-bottom clearance | C | T/4 |
| Blade width | Wb | 38 mm |
| Element | Symbol | Value |
|---|---|---|
| Baffle width | W | 30 mm |
| Baffle height | h | 288 mm |
| Tooth height | A | 10~20 mm |
| Tooth width | λ | 8~40 mm |
| Baffle thickness | δ | 3 mm |
| Parameter | Symbol | Value |
|---|---|---|
| Liquid density | ρL | 1150 kg/m3 |
| Hydrodynamic viscosity | μ | 0.001 pa·s |
| Solid particle density | ρS | 2485 kg/m3 |
| Solid particle diameter | dS | 3 mm |
| Solid volume fraction | φS | 5.2% |
| Relative Tooth Width (λ/h) | Relative Tooth Height (A/W) | Power (W) | Reduced Power Consumption (%) |
|---|---|---|---|
| 0.104 | 0 | 21.4 | - |
| 0.167 | 19.6 | 8.4 | |
| 0.250 | 19.5 | 8.9 | |
| 0.333 | 19.3 | 9.8 |
| Relative Tooth Width (λ/h) | Relative Tooth Height (A/W) | Power (W) | Reduced Power Consumption (%) |
|---|---|---|---|
| 0.333 | 0 | 21.4 | - |
| 0.028 | 18.9 | 11.7 | |
| 0.056 | 19.0 | 11.2 | |
| 0.104 | 19.1 | 10.7 |
Publisher’s Note: MDPI stays neutral with regard to jurisdictional claims in published maps and institutional affiliations. |
© 2022 by the authors. Licensee MDPI, Basel, Switzerland. This article is an open access article distributed under the terms and conditions of the Creative Commons Attribution (CC BY) license (https://creativecommons.org/licenses/by/4.0/).
Share and Cite
Zhou, S.; Yang, Q.; Lu, L.; Xia, D.; Zhang, W.; Yan, H. CFD Analysis of Sine Baffles on Flow Mixing and Power Consumption in Stirred Tank. Appl. Sci. 2022, 12, 5743. https://doi.org/10.3390/app12115743
Zhou S, Yang Q, Lu L, Xia D, Zhang W, Yan H. CFD Analysis of Sine Baffles on Flow Mixing and Power Consumption in Stirred Tank. Applied Sciences. 2022; 12(11):5743. https://doi.org/10.3390/app12115743
Chicago/Turabian StyleZhou, Shuiqing, Qizhi Yang, Laifa Lu, Ding Xia, Weitao Zhang, and Hao Yan. 2022. "CFD Analysis of Sine Baffles on Flow Mixing and Power Consumption in Stirred Tank" Applied Sciences 12, no. 11: 5743. https://doi.org/10.3390/app12115743
APA StyleZhou, S., Yang, Q., Lu, L., Xia, D., Zhang, W., & Yan, H. (2022). CFD Analysis of Sine Baffles on Flow Mixing and Power Consumption in Stirred Tank. Applied Sciences, 12(11), 5743. https://doi.org/10.3390/app12115743
