Next Article in Journal
The Application of Image Texture Analysis Techniques on the Effects of Dry Needling versus Placebo in Low-Back Pain Patients: A Pilot-Study
Previous Article in Journal
New Achievements for the Treatment of Triple-Negative Breast Cancer
 
 
Font Type:
Arial Georgia Verdana
Font Size:
Aa Aa Aa
Line Spacing:
Column Width:
Background:
Article

Random Noise Suppression Method of Micro-Seismic Data Based on CEEMDAN-FE-TFPF

1
Department of Geology, Northeastern University, Shenyang 110004, China
2
School of Resource and Materials, Northeastern University at Qinhuangdao, Qinhuangdao 066004, China
*
Author to whom correspondence should be addressed.
Appl. Sci. 2022, 12(11), 5555; https://doi.org/10.3390/app12115555
Submission received: 24 March 2022 / Revised: 15 May 2022 / Accepted: 16 May 2022 / Published: 30 May 2022

Abstract

:
As rock fractures caused by micro-seismic events has potential safety hazards to underground workers, it is often necessary to accurately locate the micro-seismic source for hidden danger investigation. Micro-seismic data are generated in complex underground environments which are significantly affected by random noise. These data greatly influence subsequent micro-seismic source location, energy estimation, and disaster monitoring. In this paper, a new denoising method based on Time-Frequency Peak Filtering (TFPF) and Complete Ensemble Empirical Mode Decomposition with Adaptive Noise (CEEMDAN) is proposed for micro-seismic data. Micro-seismic data are decomposed into several Intrinsic Mode Functions (IMFs) by CEEMDAN. Then, discriminant factors are used to determine which IMF needs to be denoised by TFPF. Finally, the denoised result is reconstructed by inverse CEEMDAN. By comparing and analyzing different entropies, Fuzzy Entropy (FE) is selected as the best discriminant factor. The CEEMDAN-FE-TFPF denoising method can effectively avoid the influence of fixed window length of the conventional TFPF method. The effectiveness and superiority of this method are verified by experiments of synthetic and actual data.

1. Introduction

Micro-seismic events are rock rupture phenomena caused by geological engineering activities or natural micro-earthquakes. As the existence of random noise will affect the signal recognition, first arrival time pickup, accuracy of micro-seismic source location, and energy estimation, it is necessary to attenuate the random noise of micro-seismic signals before further operation. In the actual micro-seismic data, the events generated by the impact pressure of minerals have the characteristics of large released energy, relatively low frequency, and short duration, so their signal-to-noise ratio (SNR) is lower than other conventional seismic data. Moreover, the propagation direction, frequency, and speed of random noise are not regular, which is not ideal for sufficiently suppressing random noise only using the time domain method.
There are many denoising methods for micro-seismic data, such as frequency-domain filtering, the standard deviation method, and the MAD method. However, for complex non-stationary micro-seismic signals, these methods cannot effectively attenuate random noise and protect the effective signals from damage. Therefore, other denoising methods have been developed, including FIR (non-recursive filter)/IIR (recursive filter) filter, wavelet transform, Curvelet transform, F-K transform, Singular Value Decomposition (SVD), TFPF, and so on. However, each method has its drawbacks. The IIR filter cannot control the phase characteristics of the filter, while the FIR filter is more complex to design. Although the transform domain method can well distinguish the abrupt part of non-stationary signals, the denoising results are influenced by the basis function and the Gibbs effect. The SVD transform requires many assumptions.
As a new time–frequency analysis method, TFPF can recover non-stationary signals without any assumptions. With its unique advantages, TFPF has been gradually applied to suppress the random noise of one-dimensional micro-seismic data. However, TFPF also has some shortcomings. The selection of its window length directly influences the denoising result. Lin et al. put forward the application of TFPF in actual seismic exploration, and systematically analyzed the influence of fixed window length and window type [1,2,3,4,5,6].
In the 1990s, Huang et al. [7,8,9,10] proposed the Empirical Mode Decomposition (EMD) method to solve the problem of unstable micro-seismic signals. This method is an adaptive decomposition method. It can not only decompose the signal into several IMFs without any assumptions, but also highlight the physical characteristics of the signal. Ju et al. proposed a denoising method based on EMD and the improved wavelet threshold, which achieved good results [11]. However, the traditional EMD method brings the problem of modal aliasing. In addition, in the threshold denoising method of EMD, it is difficult to achieve a balance between amplitude preservation and random noise suppression.
To solve the above problems, CEEMDAN [12,13,14,15] is proposed. This method solves the problem of mode aliasing by adding adaptive white noise, and decomposes the signal into approximate stationary IMFs with different frequencies. Liu et al. combined EMD and TFPF for seismic denoising and demonstrated the better performance of the new method compared with the conventional TFPF [16]. Song studied the basic principles and the problems existing in the algorithm itself of EMD, EEMD, CEEMD, and CEEMDAN deeply, and proposed a threshold denoising method using signal entropy [17]. Chen et al. combined CEEMDAN with TFPF, and used sample entropy to screen IMFs, so as to further improve the denoising effect [18].
Based on the characteristics of TFPF and CEEMDAN, this paper proposes a CEEMDAN-TFPF denoising method by using discriminant factors to screen the processing IMFs. The main process and innovation of this paper are summarized as follows:
(1)
In order to avoid the problem of modal aliasing of EMD, CEEMDAN is used to decompose the original signal with random noise into several IMFs.
(2)
The IMFs which need to be denoised are distinguished by discriminant factors. This paper focuses on the selection, comparison, and analysis of discriminant factors.
(3)
To overcome the drawback of TFPF, the IMFs obtained by CEEMDAN can flexibly select different window lengths for TFPF denoising.
(4)
The denoising result is reconstructed through calculating the sum of the processed and residual IMFs. In this way, it can improve the signal SNR.
The paper is organized as follows. Following the introduction, Section 2 describes the principle of the proposed method in this paper. Section 3 describes experiments conducted on synthetic and actual data to show the effectiveness of the method. The last section discusses the the results and gives conclusions.

2. Materials and Methods

The CEEMDAN-FE-TFPF method introduced in this paper is an improvement of the traditional EMD and TFPF denoising methods. CEEMDAN can overcome the problem of modal aliasing in the traditional EMD method. Each IMF obtained by CEEMDAN can flexibly select different window lengths to overcome the TFPF drawback. The following is the basic principle of this method.

2.1. Complete Ensemble Empirical Mode Decomposition with Adaptive Noise (CEEMDAN)

By adding a finite amount of adaptive white noise in each stage, CEEMDAN can realize that the reconstruction error approaches zero under a small average number of times. This solves the problem of modal aliasing and avoids the distortion of the original signal. The steps are as follows.
(1)
The adaptive white noise is added to the original data S t several times, respectively. In this paper, q = 50 is taken, and the q-th signal is
S q t = S t + σ q B q t   q = 1 , 2 , ,   50
where σ q means the standard deviation of the adaptive noise for the q-th time.
Then, the first IMF decomposed by CEEMDAN can be expressed as
I M F 1 = 1 q i = 1 q I M F 1 i
where I M F 1 means the first IMF of S q t .
(2)
Obtain the residual of the first IMF:
R 1 t = S t I M F 1
(3)
The adaptive white noise is added to the residual of the first IMF several times for constructing a new signal to be decomposed:
S t = R 1 t + σ q B q t
The second IMF of the original signal can be expressed as
I M F 2 = 1 q i = 1 q I M F 1 i
(4)
Repeat the above operation until the original signal is completely decomposed, resulting in a total of ω IMFs. The last residual is calculated as
R = S t p = 1 ω I M F p

2.2. Time–Frequency Peak Filtering (TFPF)

2.2.1. TFPF Principle

The TFPF algorithm can extract the effective signals from the original data to achieve the purpose of suppressing random noise. The original data containing random noise is modulated by a frequency modulation factor μ to obtain analytic signals. By calculating the Pseudo Wigner–Ville Distribution (PWVD) spectrum and its peak value of the analytic signals, the instantaneous frequency estimation of the analytic signal is obtained. In this way, it can achieve the denoising purpose [19]. The specific steps are as follows:
(1)
The original data can be expressed as the sum of effective signals and random noise:
S t = x t + r t
where x t is the effective signals and r t is random noise.
(2)
Modulate the signal with a frequency modulation factor μ:
z t = e j 2 π μ i = 0 t S i
(3)
Calculate the PWVD spectrum of the analytic signal:
W z t , f = + Z S t + τ 2 Z S * t τ 2 e j 2 π f τ d τ
(4)
Calculate the peak value of the PWVD spectrum as an instantaneous frequency estimation of the analytic signal:
x ^ = f ^ t = a r g   max x W z t , f μ

2.2.2. Influence of Fixed Window Length of TFPF

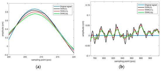
In the TFPF algorithm, the choice of window length will influence the denoising result. That is, TFPF with fixed window length cannot effectively suppress random noise and preserve the amplitude of the effective signals at the same time. This paper explains the problem of TFPF through the synthetic data. By adding random noise to the synthetic data, noisy data is obtained. Then, window lengths of 7, 11, and 15 can be selected, respectively, to deal with the noisy data. The original data and denoising results of each window length are presented in Figure 1. In order to better show the difference of the denoising results, two areas (sampling point 200~220 and 770~920) are enlarged, respectively, in Figure 2. It can be observed that the short window length has better signal fitting degree at the signal peak than the long window length in Figure 2a. In Figure 2b, the denoising quality of long window length is more obvious than the short window length.

2.3. Discriminant Factor

In order to solve the drawback of TFPF, CEEMDAN is used to decompose the original data into several approximate stationary IMFs. Then, the window lengths for TFPF are determined by each IMF. The CEEMDAN-TFPF method will deal with each IMF. However, the low-frequecy IMFs contain mostly effective signals, which are hardly affected by random noise. Denoising these IMFs will damage the waveform of the effective signals. Therefore, a discriminant factor should be used to judge whether the IMFs need to be denoised. The entropy of the signal is the typical discriminant factor [20]. The entropy is an index reflecting the confusion degree of a signal. The higher the entropy is, the richer the frequency components of the signal contains. The lower the entropy is, the simpler the frequency components of the signal contains. Therefore, the entropy can be used as the discriminant factor to screen the IMFs with random noise. This paper will discuss four different signal entropies: Approximate Entropy (ApEn), Sample Entropy (SampEn), Fuzzy Entropy (FE), and Permutation Entropy (PE).

2.3.1. Approximate Entropy (ApEn)

The general idea of approximate entropy is to decompose a time series into k series, with m as the window size. The distance between each series and all series needs to be calculated, which is defined as the absolute value of the difference between two series. Then, the distance values are tabulated for subsequent operations. Here, a threshold F is usually defined as
F = r × S D
where r is the similarity tolerance, which is usually 0.1~0.25. S D means the standard deviation of the series.
Then, the number of the distance value in each row of the table which is greater than the threshold F needs to be counted, which is used to calculate the ratio to the total number. Next, the logarithmic average is calculated according to the ratio. Then, the window size is increased by 1, and the operation is repeated to obtain another logarithmic average. Finally, the approximate entropy can be obtained through calculating the difference between the logarithmic averages.

2.3.2. Sample Entropy (SampEn)

Sample entropy is used to measure data complexity, which is similar to ApEn but has higher accuracy. The calculation idea of sample entropy also requires decomposing of the time series and calculating of the distance value between them. However, when calculating the ratio of sample entropy, it will exclude itself from the total number.

2.3.3. Fuzzy Entropy (FE)

Fuzzy entropy introduces fuzzy membership function, which calculates the fuzzy membership degree of the distance value between each series. Thus, the algorithm is designed more scientifically. Then, the fuzzy membership degrees are tabulated to calculate the ratio, which is a similar process to SampEn.

2.3.4. Permutation Entropy (PE)

Permutation entropy introduces the idea of permutation. Before calculating the distance value of time series, permutation entropy rearranges the series from large to small, and then calculates the complexity between the rearranged series.
The following process can intuitively reflect the calculation process and difference of the above four entropies.
(1) The time series: X 1 , X 2 , , X n
(2) Taking m as the window size, the time series is decomposed into k = n m + 1 series:   X i t = x i t , x i + 1 t , , x i + m 1 t
(3) Calculate the distance value between each series and all k series:
d i j = m a x x i + k t x j + k t       k = 0 , 1 , , m 1
(4) List the above data in Table 1. d means the distance value between each series, and D means the fuzzy membership degree between each series.
Figure 3. Calculation process of entropy value.
Figure 3. Calculation process of entropy value.
Applsci 12 05555 g003
(5) For ApEn and SampEn, the threshold F = r × S D is defined. The number of the distance value in each row of the table which is greater than the threshold F needs to be counted, which is used to calculate the ratio of C i m t to the total number. Then, it uses k different C i m t to calculate its average value:
Φ ApEn m t = 1 n m + 1 i = 1 n m + 1 C i m t
Φ SampEn m t = 1 n m i = 1 n m + 1 C i m t
The above two equations are the average equation for calculating the ApEn and SampEn.
For the FE, it calculates the fuzzy membership D i j according to the distance vaule dij, and counts the number of each row greater than the threshold to calculate its ratio to the number (nm).
D i j m = μ d i j m , n , r = e d i j m n r
Φ FE m t = 1 n m j = 1 n m 1 n m 1 j = 1 , j i n m D i j m
(6) Increase the window size by 1 and repeat the above operations to obtain ApEn, SampEn, and FE. The calculation results are as follows:
ApEn t = l n Φ ApEn m t l n Φ ApEn m + 1 t
SampEn t = l n Φ SampEn m t l n Φ SampEn m + 1 t
FuzzyEn t = l n Φ FE m t l n Φ FE m + 1 t
The calculation of PE is slightly different. Through decomposing the original data into k series, each series is rearranged in ascending order and mapped into a symbol sequence:   X i t * = x i + j 1 1 L t x i + j 1 1 L t x i + j m 1 L t .
Calculate the number of each symbol sequence. Then, divide it by the total number of different symbol sequences as the probability of the symbol sequence P 1 , P 2 , , P k , where k m ! . Then, calculate the permutation entropy through probability:
H m = j = 1 K P j l n P j

2.4. TFPF Method Based on CEEMDAN-FE

In order to solve the influence of fixed window length for TFPF, Li et al. gave the selection rules of window length for TFPF [2,5] as follows:
1 W L 0.384 f s f d
where f s is the sampling frequency and f d is the main frequency.
It can be seen from the above equations that the window length used by TFPF is directly proportional to the sampling frequency, and inversely proportional to the main frequency. If f s increases or f d decreases, the window length used should increase, and the value of window length is usually odd. Therefore, when TFPF is used to attenuate random noise in high frequency signals, a short window length should be used. In contrast, a long window length should be used for low-frequency signals. The flow of this method is as follows:
(1)
The noisy data is decomposed by CEEMDAN into several IMFs, which are ordered from high frequency to low frequency.
(2)
The noisy critical point of the IMFs is judged by the discriminant factor. If it is higher than the critical point, it is considered that the IMFs needs to be denoised. In this way, the IMFs which need to be denoised are screened out. Therefore, the IMFs are divided into two groups, including the processing group for denoising and the residual group.
(3)
According to the principle of window length selection, the high-frequency IMFs of the processing group are denoised by TFPF with a short window length, and the low-frequency IMFs of the processing group are denoised by TFPF with a long window length.
(4)
The IMF processing group after denoising and the IMF residual group are used to reconstruct the denoised data. In this way, the purpose of random noise suppressing is achieved.

3. Experiments and Results

3.1. Synthetic Data Experiment

Three Ricker wavelets with dominant frequencies of 25 Hz, 30 Hz, and 35 Hz were selected to obtain the synthetic data, as shown in Figure 4a. The sampling rate was 1 ms, and the number of sampling points was 1000. By adding random noise into the synthetic data, the SNR of the noisy data became less than 5 dB. At this time, the noisy data was seriously polluted by random noise, as shown in Figure 4b.
CEEMDAN was used to decompose the synthetic data and noisy data into several IMFs, which were ordered from high frequency to low frequency, as shown in Figure 4c,d.
Figure 4. Comparison of the synthetic data and noisy data. (a) Synthetic data; (b) Noisy data; (c) IMFs of synthetic data; (d) IMFs of noisy data.
Figure 4. Comparison of the synthetic data and noisy data. (a) Synthetic data; (b) Noisy data; (c) IMFs of synthetic data; (d) IMFs of noisy data.
Applsci 12 05555 g004
The ApEn, SampEn, FE, and PE of each IMF of the noisy data are calculated respectively, as shown in Figure 5. By using four entropies as the discriminant factors, the IMFs which need to be denoised can be screened out. The window length of TFPF can be selected based on the frequency of these IMFs.
By observing the variation law in Figure 5, it was found that the trends of different entropies are roughly the same. The entropy value of the high-frequency IMF is higher, which shows that the IMF has complex signal components. The entropy value of the low-frequency IMF is relatively low, indicating that the IMF has simple signal components. However, the variation trend of ApEn, SampEn, and PE is relatively gentle, while FE has an obvious inflection point. In this paper, an appropriate threshold needs to be defined for different entropies to screen the IMFs which need to be denoised.
For ApEn and SampEn, the threshold is set to 0.2. The entropy values of IMFs bigger than 0.2 need to be denoised. For FE and PE, the thresholds are set to 0.02 and 0.9, respectively. Then, according to the selection rules, different window lengths are selected by TFPF to deal with the screened IMFs.
Here, we provide an example of ApEn, as shown in Figure 6. After denoising by TFPF, the noise is obviously suppressed. The effective signals are more prominent. According to the experience of CEEMDAN decomposition and reconstruction, the first two high-frequency IMFs with partial noise are eliminated. Then, the denoised result will be reconstructed as the sum of the denoised IMF groups and the residual IMF group with entropy values smaller than 0.2.
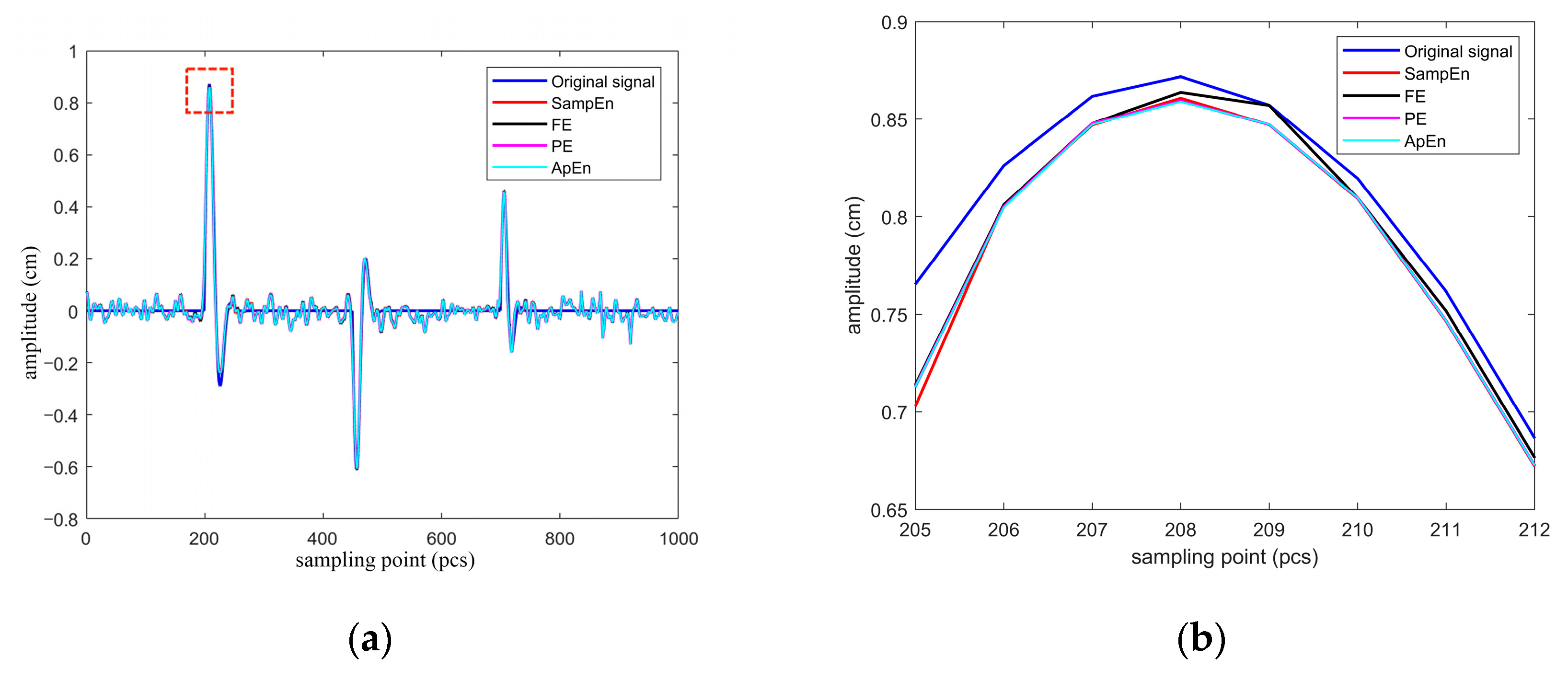
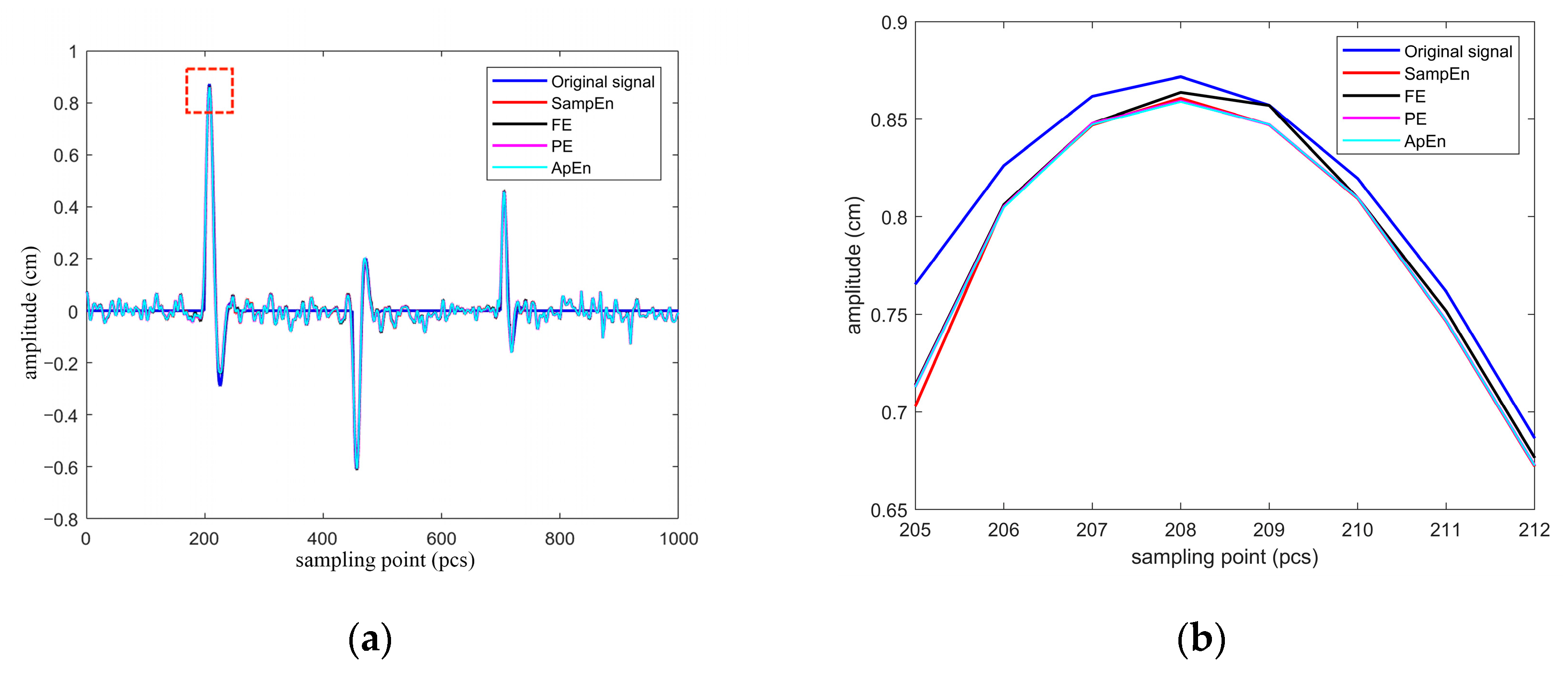
The denoising signal processed with four entropies as discriminant factors can be seen in Figure 7. In Figure 7a, it can be observed that the four entropies as the discriminant factor used by the CEEMDAN-TFPF method can all suppress random noise and restore the effective signals. However, through comparing the amplitude preservation in Figure 7b, it can be found that the denoising result with FE as the discriminant factor has the best fitting degree at the peak. It shows that CEEMDAN-FE-TFPF can not only attenuate random noise effectively, but also preserve the amplitude to the maximum.

3.2. Quantitative Analysis of Synthetic Data Experimental Results

Table 2 shows the Mean Square Error (MSE), SNR, and Peak Signal-to-Noise Ratio (PSNR) of the noisy data and denoising results obtained by four entropies as discriminant factors, respectively. Comparing the data in Table 2 shows that FE is better than the others in terms of MSE, SNR, and PSNR. Through the above analysis, FE as the discriminant factor for CEEMDAN-TFPF denoising method is the best choice.

3.3. Actual Data Experiment

The actual micro-seismic data (as shown in Figure 8) were selected for the application of the CEEMDAN-FE-TFPF method. It was observed that the actual micro-seismic data were significantly polluted by random noise. Figure 9 shows the frequency spectrum of the micro-seismic data, ranging from about 0 Hz to 450 Hz. Through analyzing its frequency characteristics, the frequency of effective signals should mainly be distributed between 0 Hz and 50 Hz. The existence of random noise broadens the frequency distribution.
The micro-seismic actual data was decomposed by CEEMDAN to obtain 12 IMFs, which are sorted from high frequency to low frequency, as shown in Figure 10. ApEn, SampEn, FE, and PE of each IMF were calculated, respectively, as shown in Figure 11. It can be observed that the trend of ApEn, SampEn, and PE is relatively gentle. However, the trend of FE changes rapidly and has an obvious inflection point. For the actual micro-seismic data processing, FE was chosen as the discriminant factor. Here, the threshold was set to 0.02. The entropy values of IMFs bigger than 0.2 were denoised. Figure 12 shows the denoising result, in which it can be seen that random noise is obviously attenuated. The amplitude and waveform of the effective signals are well preserved.
By comparing the frequency spectrum of the actual micro-seismic data before and after denoising, as shown in Figure 13, it can be found that the high-frequency part of the denoising result caused by random noise is basically attenuated, and its frequency distribution is still distributed between 0 HZ and 50 HZ. It also shows that the method in this paper can not only suppress random noise effectively, but also preserve the amplitude to the maximum.
Figure 14 shows random noise removed from the actual micro-seismic data. Through its frequency spectrum in Figure 15, it can be observed that the frequency distribution is higher than the effective signals.
Figure 13. Frequency spectrum of the actual micro-seismic data before and after denoising. (a) Overall frequency spectrum. (b) Part of the frequency spectrum.
Figure 13. Frequency spectrum of the actual micro-seismic data before and after denoising. (a) Overall frequency spectrum. (b) Part of the frequency spectrum.
Applsci 12 05555 g013

4. Discussions

This paper focuses on researching the denoising method to attenuate random noise in micro-seismic data.
According to the characteristics of micro-seismic signals, the random noise in micro-seismic signals is mainly composed of high-frequency signal components. However, the frequency of the effective signal is relatively lower. For these non-stationary signals, time–frequency analysis is undoubtedly a powerful tool. When the signals are distributed linearly in time, the instantaneous frequency can be estimated by the peak value of the time–frequency distribution. The noisy signals are modulated into analytical signals by a frequency modulation factor. TFPF introduces PWVD (WVD with time window) to realize local linearization. The instantaneous frequency is estimated by the peak value of the analytical signal of PWVD. In this way, an unbiased estimation can be realized. As a novel time–frequency algorithm, the advantage of TFPF is that it can better recover the effective signal under the conditions of low SNR and fewer constraints. However, the selection of window length is very important. A fixed window length cannot achieve a balance between amplitude preservation and random noise suppression. The advantage of CEEMDAN is that it can decompose non-stationary signals into several stationary IMFs with different dominant frequencies. CEEMDAN can overcome the modal aliasing caused by EMD, and reconstructs the signals accurately as the sum of all IMFs.
Based on the advantages of TFPF and CEEMDAN, the CEEMDAN-TFPF method is researched in this paper. However, the TFPF method cannot be performed on all IMFs after CEEMDAN. The reason is that low-frequency IMFs are barely associated with random noise. The effective signals will be destroyed when denoising these IMFs.
In order to solve the problem, the discriminant factor is introduced in this paper. The noisy IMFs to be processed are screened out through the discriminant factors. The window lengths of the TFPF method performed on these IMFs are flexibly selected according to the selection rule. In this paper, four discriminant factors are discussed. Among them, through introducing the concept of fuzzy membership degree, FE is designed more scientifically. The variation trend of FE has more obvious inflection points. Therefore, the denoising effect of FE is also the best. The experimental results of synthetic data show that the SNR has been significantly improved by CEEMDAN-FE-TFPF.
With the depth study of the signals, more indicators can reflect the stability of a signal. In recent years, with the idea of multi-scale and multivariable entropy being put forward, the CEEMDAN-TFPF method still has room for improvement.

5. Conclusions

This paper can draw the following conclusions:
(1)
Through combining the advantages of CEEMDAN, FE, and TFPF, the CEEMDAN-FE-TFPF denoising method proposed in this paper can not only attenuate random noise well, but also preserve the amplitude to the maximum for micro-seismic data.
(2)
The method proposed in this paper introduces the concept of a discriminant factor. Through comparing the characteristics of different entropies, FE as the discriminant factor for the CEEMDAN-TFPF denoising method is the best choice.
(3)
The CEEMDAN-FE-TFPF denoising method can avoid the problem of TFPF not being able to achieve a balance between amplitude preservation and random noise suppression due to the fixed window length.

Author Contributions

Writing—original draft preparation, J.C.; writing—review and editing, J.F.; visualization, H.C.; data curation, Y.Y.; investigation, S.J. and D.Y. All authors have read and agreed to the published version of the manuscript.

Funding

This research was funded by the National Key Research and Development Program of China (grant number: 2017YFC1503105).

Institutional Review Board Statement

Not applicable.

Informed Consent Statement

Not applicable.

Data Availability Statement

Not applicable.

Acknowledgments

The authors are very grateful for all constructive comments that greatly help us to improve the original version of the manuscript.

Conflicts of Interest

The authors declare no conflict of interest.

References

  1. Lin, H.B. Time-Frequency Peak Filtering Random Noise Reduction Technology and Its Application in Seismic Exploration. Ph.D. Thesis, Jilin University, Changchun, China, 2007. [Google Scholar]
  2. Lin, H.; Li, Y.; Yang, B. Recovery of Seismic Events by Time-Frequency Peak Filtering. In Proceedings of the 2007 IEEE International Conference on Image Processing, San Antonio, TX, USA, 16–19 September 2007; pp. 441–444. [Google Scholar] [CrossRef]
  3. Lin, H.B.; Li, Y.; Ye, W.H.; Pan, W. Time-frequency peak filtering denoising technology and its application. Adv. Geophys. 2008, 23, 1953–1957. [Google Scholar]
  4. Lin, H.B.; Li, Y.; Yang, B.J.; Wu, N.; Li, S.K. The influence of limited linearization of time window on TFPT under the strong noise background. Chin. J. Geophys.-Chin. Ed. 2009, 52, 1899–1906. [Google Scholar] [CrossRef]
  5. Wu, N.; Li, Y.; Yang, B. Noise Attenuation for 2-D Seismic Data by Radial-Trace Time-Frequency Peak Filtering. IEEE Geosci. Remote Sens. Lett. 2011, 8, 874–878. [Google Scholar] [CrossRef]
  6. Lin, H.B.; Li, Y.; Xu, X.C.; Ma, H.T. Time-frequency peak filtering algorithm for reducing dispersion error. J. Jilin Univ. (Earth Sci. Ed.) 2011, 41, 572–578. [Google Scholar] [CrossRef]
  7. Huang, N.E.; Long, S.R.; Wu, M.L.C.; Shih, H.H.; Zheng, Q.; Yen, N.-C.; Tung, C.C.; Liu, H.H. The empirical mode decomposition and the Hilbert Spectrum for nonlinear and non-stationary time series analysis. Proc. R. Soc. A-Math. Phys. Eng. Sci. 1998, 454, 903–995. [Google Scholar] [CrossRef]
  8. Huang, N.E. Introduction to Hilbert-Huang Transform and Its Associated Mathematical Problems; Huang, N.E., Attoh-Okine, N., Eds.; Hilbert-Huang Transform in Engineering; CRC Press: New York, NY, USA, 2005; pp. 1–32. [Google Scholar]
  9. Huang, N.E.; Shen, S. The Hilbert-Huang Transform and It Applications; World Scientific: Singapore, 2005; pp. 227–262. [Google Scholar] [CrossRef]
  10. Huang, N.E.; Wu, M.L.; Qu, W.; Long, S.R.; Shen, S.S. Applications of Hilbert-Huang transform to non-stationary financial time series analysis. Appl. Stoch. Models Bus. Ind. 2010, 19, 245–268. [Google Scholar] [CrossRef]
  11. Ju, X.; Zheng, X.P.; Wu, K.H.; Zhou, J.; Shang, D.M.; Xu, J.X. Seismic signal denoising method based on EMD and improved wavelet threshold. Inn. Mong. Petrochem. 2020, 46, 44–49. [Google Scholar]
  12. Torres, M.E.; Colominas, M.A.; Schlotthauer, G.; Flandrin, P. A complete ensemble empirical mode decision with adaptive noise. In Proceedings of the IEEE International Conference on Acoustics, Speech and Signal Processing (ICASSP), Prague, Czech Republic, 22–27 May 2011. [Google Scholar]
  13. Hu, Y.; Meng, Z.; Ai, X.; Hu, Y.; Zhang, Y.; Shao, Y. Performance Enhancement of the Location and Recognition of a Φ-OTDR System Using CEEMDAN-KL and AMNBP. Appl. Sci. 2020, 10, 3047. [Google Scholar] [CrossRef]
  14. Yang, J.; Chang, Y.; Gao, T.; Wang, J. Failure Prediction of the Rotating Machinery Based on CEEMDAN-ApEn Feature and AR-UKF Model. Appl. Sci. 2020, 10, 2056. [Google Scholar] [CrossRef] [Green Version]
  15. Xiong, C.; Yu, L.; Niu, Y. Dynamic Parameter Identification of a Long-Span Arch Bridge Based on GNSS-RTK Combined with CEEMDAN-WP Analysis. Appl. Sci. 2019, 9, 1301. [Google Scholar] [CrossRef] [Green Version]
  16. Liu, Y.; Li, Y.; Lin, H.; Ma, H. An Amplitude-Preserved Time–Frequency Peak Filtering Based on Empirical Mode Decomposition for Seismic Random Noise Reduction. IEEE Geosci. Remote Sens. Lett. 2014, 11, 896–900. [Google Scholar] [CrossRef]
  17. Song, Q.H. Research on Seismic Signal Denoising Method Based on Modal Decomposition Technology. Ph.D. Thesis, Northeast Petroleum University, Daqing, China, 2020. [Google Scholar] [CrossRef]
  18. Chen, Y.J.; Cheng, H.; Gong, E.P.; Xue, L. Time-Frequency Peak Filtering microseismic random noise suppression method based on CEEMDAN. Oil Geophys. Prospect. 2021, 56, 234–241, 209–210. [Google Scholar] [CrossRef]
  19. Boashash, B.; Mesbah, M. Signal enhancement by Time-Frequency Peak Filtering. IEEE Trans. Signal Process. 2004, 52, 929–937. [Google Scholar] [CrossRef]
  20. Akıllı, M.; Yılmaz, N. Windowed scalogram entropy: Wavelet-based tool to analyze the temporal change of entropy of a time series. Eur. Phys. J. Plus 2021, 136, 1165. [Google Scholar] [CrossRef]
Figure 1. Original signal and denoising results with different window lengths.
Figure 1. Original signal and denoising results with different window lengths.
Applsci 12 05555 g001
Figure 2. Local enlarged view of sampling point (a) 200~220 and (b) 770~920.
Figure 2. Local enlarged view of sampling point (a) 200~220 and (b) 770~920.
Applsci 12 05555 g002
Figure 5. Variation law of different entropies. (a) ApEn; (b) SampEn; (c) FE; (d) PE.
Figure 5. Variation law of different entropies. (a) ApEn; (b) SampEn; (c) FE; (d) PE.
Applsci 12 05555 g005
Figure 6. Comparison of IMFs before and after denoising. (a) IMFs before denoising; (b) IMFs after denoising by TFPF.
Figure 6. Comparison of IMFs before and after denoising. (a) IMFs before denoising; (b) IMFs after denoising by TFPF.
Applsci 12 05555 g006
Figure 7. Denoising results of the synthetic data. (a) Original signal and the denoising result with different discriminant factors. (b) Local amplification of wave peak.
Figure 7. Denoising results of the synthetic data. (a) Original signal and the denoising result with different discriminant factors. (b) Local amplification of wave peak.
Applsci 12 05555 g007
Figure 8. Actual micro-seismic data.
Figure 8. Actual micro-seismic data.
Applsci 12 05555 g008
Figure 9. Frequency spectrum of the actual micro-seismic data. (a) Overall frequency spectrum. (b) Part of the frequency spectrum.
Figure 9. Frequency spectrum of the actual micro-seismic data. (a) Overall frequency spectrum. (b) Part of the frequency spectrum.
Applsci 12 05555 g009
Figure 10. IMFs of actual micro-seismic data.
Figure 10. IMFs of actual micro-seismic data.
Applsci 12 05555 g010
Figure 11. Variation law of different entropies for the actual micro-seismic data. (a) ApEn; (b) SampEn; (c) FE; (d) PE.
Figure 11. Variation law of different entropies for the actual micro-seismic data. (a) ApEn; (b) SampEn; (c) FE; (d) PE.
Applsci 12 05555 g011
Figure 12. Actual micro-seismic data before and after denoising by CEEMDAN-FE-TFPF.
Figure 12. Actual micro-seismic data before and after denoising by CEEMDAN-FE-TFPF.
Applsci 12 05555 g012
Figure 14. Random noise of the actual micro-seismic data.
Figure 14. Random noise of the actual micro-seismic data.
Applsci 12 05555 g014
Figure 15. Frequency spectrum of random noise of the actual micro-seismic data.
Figure 15. Frequency spectrum of random noise of the actual micro-seismic data.
Applsci 12 05555 g015
Table 1. Statistical table of ApEn, SampEn, FE.
Table 1. Statistical table of ApEn, SampEn, FE.
Applsci 12 05555 g016
Table 2. MSE, SNR, and PSNR of synthetic data experiment.
Table 2. MSE, SNR, and PSNR of synthetic data experiment.
Noisy SignalApEnSampEnFEPE
MSE0.00438.5455 × 10−48.4790 × 10−48.3744 × 10−48.4834 × 10−4
SNR4.701111.706111.740011.793911.7378
PSNR71.808578.813478.847378.901378.8451
Publisher’s Note: MDPI stays neutral with regard to jurisdictional claims in published maps and institutional affiliations.

Share and Cite

MDPI and ACS Style

Chen, J.; Fu, J.; Cheng, H.; Jia, S.; Yao, Y.; Yan, D. Random Noise Suppression Method of Micro-Seismic Data Based on CEEMDAN-FE-TFPF. Appl. Sci. 2022, 12, 5555. https://doi.org/10.3390/app12115555

AMA Style

Chen J, Fu J, Cheng H, Jia S, Yao Y, Yan D. Random Noise Suppression Method of Micro-Seismic Data Based on CEEMDAN-FE-TFPF. Applied Sciences. 2022; 12(11):5555. https://doi.org/10.3390/app12115555

Chicago/Turabian Style

Chen, Jianting, Jianfei Fu, Hao Cheng, Sanshi Jia, Yuzeng Yao, and Di Yan. 2022. "Random Noise Suppression Method of Micro-Seismic Data Based on CEEMDAN-FE-TFPF" Applied Sciences 12, no. 11: 5555. https://doi.org/10.3390/app12115555

APA Style

Chen, J., Fu, J., Cheng, H., Jia, S., Yao, Y., & Yan, D. (2022). Random Noise Suppression Method of Micro-Seismic Data Based on CEEMDAN-FE-TFPF. Applied Sciences, 12(11), 5555. https://doi.org/10.3390/app12115555

Note that from the first issue of 2016, this journal uses article numbers instead of page numbers. See further details here.

Article Metrics

Back to TopTop