Broadband Spectral Shaping of Regenerative Amplification with Extra-Cavity Waveplate for Cross Polarized Wave Generation
Abstract
:1. Introduction
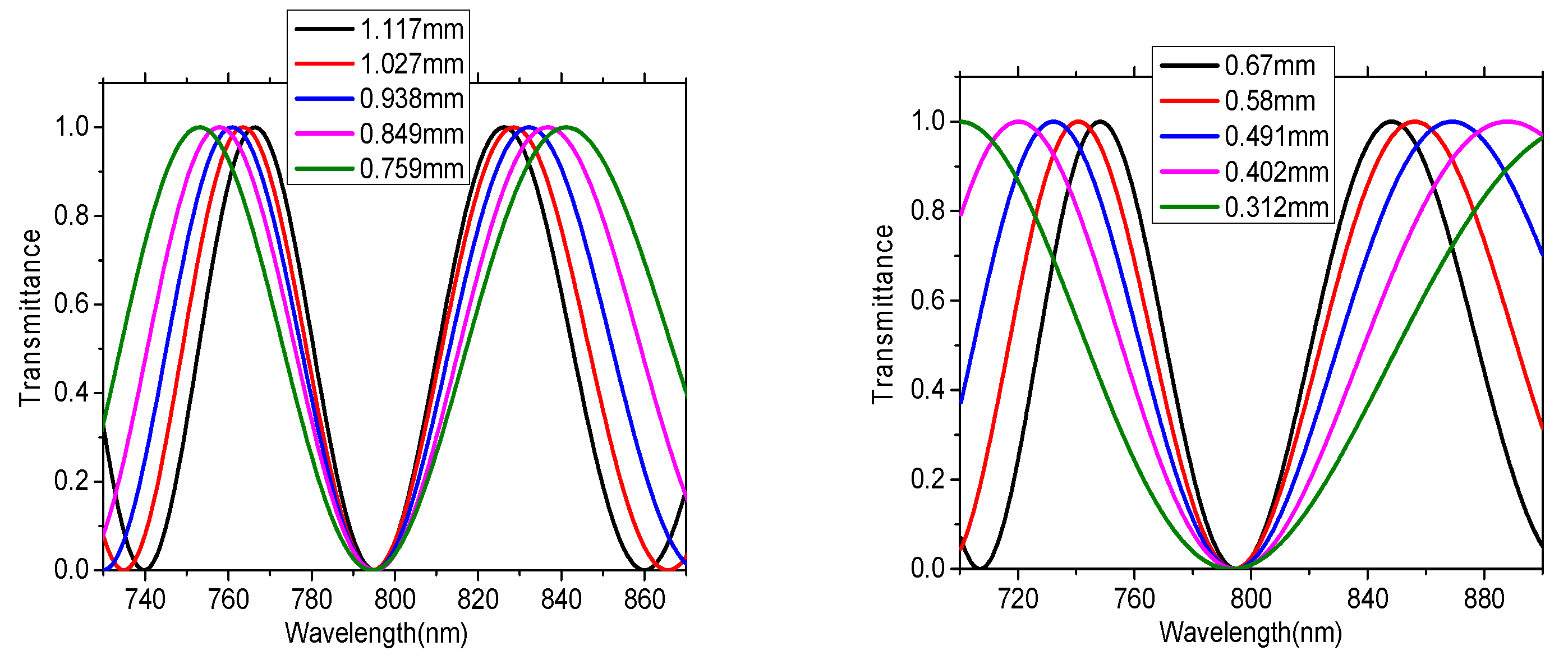
2. Gain Narrowing Pre-Compensating Method
3. Gain Narrowing Pre-Compensating Experimental Setup and Results
4. XPW Generation Experiment
5. Conclusions
Author Contributions
Funding
Institutional Review Board Statement
Informed Consent Statement
Data Availability Statement
Acknowledgments
Conflicts of Interest
References
- Strickland, D.; Mourou, G. Compression of amplified chirped optical pulses. Opt. Commun. 1985, 55, 447–449. [Google Scholar] [CrossRef]
- Danson, C.N.; Haefner, C.; Bromage, J.; Butcher, T.; Chanteloup, J.C.-F.; Chowdhury, E.A.; Galvanauskas, A.; Gizzi, L.A.; Hein, J.; Hillier, D.I.; et al. Petawatt and exawatt class lasers worldwide. High Power Laser Sci. Eng. 2019, 7, e54. [Google Scholar] [CrossRef]
- Sung, J.H.; Lee, H.W.; Yoo, J.Y.; Yoon, J.W.; Lee, C.W.; Yang, J.M.; Son, Y.J.; Jang, Y.H.; Lee, S.K.; Nam, C.H. 4.2 PW, 20 fs Ti:sapphire laser at 0.1 Hz. Opt. Lett. 2017, 42, 2058–2061. [Google Scholar] [CrossRef]
- Zhang, Z.; Wu, F.; Hu, J.; Yang, X.; Gui, J.; Liu, X.; Wang, C.; Liu, Y.; Lu, X.; Xu, Y.; et al. The 1 PW/0.1 Hz laser beamline in SULF facility. High Power Laser Sci. Eng. 2020, 8, e4. [Google Scholar] [CrossRef] [Green Version]
- Zeng, X.; Zhou, K.; Zuo, Y.; Zhu, Q.; Su, J.; Wang, X.; Wang, X.; Huang, X.; Jiang, X.; Jiang, D.; et al. Multi-petawatt laser facility fully based on optical parametric chirped-pulse amplification. Opt. Lett. 2017, 42, 2014–2017. [Google Scholar] [CrossRef]
- Nakamura, K.; Mao, H.-S.; Gonsalves, A.; Vincenti, H.; Mittelberger, D.E.; Daniels, J.; Magana, A.; Toth, C.; Leemans, W.P. Diagnostics, Control and Performance Parameters for the BELLA High Repetition Rate Petawatt Class Laser. IEEE J. Quantum Electron. 2017, 53, 1–21. [Google Scholar] [CrossRef]
- Barty, C.P.J.; Korn, G.; Raksi, F.; Tien, A.-C.; Wilson, K.R.; Yakovlev, V.V.; Rose-Petruck, C.; Squier, J.; Yamakawa, K. Regenerative pulse shaping and amplification of ultrabroadband optical pulses. Opt. Lett. 1996, 21, 219–221. [Google Scholar] [CrossRef] [PubMed]
- Bagnoud, V.; Salin, F. Amplifying laser pulses to the terawatt level at a 1-kilohertz repetition rate. Appl. Phys. B 2000, 70, S165–S170. [Google Scholar] [CrossRef]
- Leng, Y.; Lin, L.; Wang, W.; Jiang, Y.; Tang, B.; Xu, Z. Broadband spectral shaping in a Ti:sapphire regenerative amplifier. Opt. Laser Technol. 2003, 35, 425. [Google Scholar] [CrossRef]
- Lu, X.; Li, C.; Leng, Y.; Wang, C.; Zhang, C.; Liang, X.; Li, R.; Xu, Z. Berefringent plate design for broadband spectral shaping in a Ti:sapphire regenerative amplifier. Chin. Opt. Lett. 2007, 5, 493–496. [Google Scholar]
- Takada, H.; Kakehata, M.; Torizuka, K. High-repetition-rate 12fs pulse amplification by a Ti:sapphire regenerative amplifier system. Opt. Lett. 2006, 31, 1145–1147. [Google Scholar] [CrossRef] [PubMed]
- Durfee, C.G.; Bera, S.; Sabbah, A.; Squier, J.A.; Ellison, M. Spectral shaping filter for broadband amplifiers. Opt. Commun. 2006, 263, 256–260. [Google Scholar] [CrossRef]
- Oksenhendler, T.; Kaplan, D.; Tournois, P.; Greetham, G.; Estable, F. Intracavity acousto-optic programmable gain control for ultra-wide-band regenerative amplifiers. Appl. Phys. B 2006, 83, 491–494. [Google Scholar] [CrossRef]
- Zheng, S.; Chen, W.; Cai, Y.; Lu, X.; Zheng, G.; Li, J.; Xu, S. Intra-cavity spectral shaping based on optical rotatory dispersion in a broadband Ti:S regenerative amplifier. Laser Phys. Lett. 2015, 12, 085301. [Google Scholar] [CrossRef]
- Zheng, S.; Zeng, X.; Pan, X.; Li, J.; Cai, Y.; Zheng, G.; Xu, S. Enhancing the output bandwidth of a chirped-pulse Ti:S multipass amplifier via optical rotatory dispersion. Opt. Lasers Eng. 2016, 78, 86–90. [Google Scholar] [CrossRef]
- Kalashnikov, M.; Cao, H.; Osvay, K.; Chvykov, V. Polarization-encoded chirped pulse amplification in Ti:sapphire: A way toward few-cycle petawatt lasers. Opt. Lett. 2015, 41, 25–28. [Google Scholar] [CrossRef]
- Cao, H.; Kalashnikov, M.; Osvay, K.; Khodakovskiy, N.; Nagymihaly, R.S.; Chvykov, V. Active spectral shaping with polarization-encoded Ti:sapphire amplifiers for sub-20 fs multi-terawatt systems. Laser Phys. Lett. 2018, 15, 045003. [Google Scholar] [CrossRef]
- Wang, X.; Lu, X.; Liu, Y.; Xu, Y.; Wang, C.; Li, S.; Yu, L.; Liu, X.; Liu, K.; Xu, R.; et al. Broadband spectral shaping in regenerative amplifier based on modified polarization-encoded chirped pulse amplification. Appl. Phys. Express 2018, 11, 062701. [Google Scholar] [CrossRef]
- Verluise, F.; Laude, V.; Cheng, Z.; Spielmann, C.; Tournois, P. Amplitude and phase control of ultrashort pulses by use of an acousto-optic programmable dispersive filter: Pulse compression and shaping. Opt. Lett. 2000, 25, 575–577. [Google Scholar] [CrossRef]
- Collett, E. Field Guide To Polarization; SPIE Press: Bellingham, WA, USA, 2005. [Google Scholar]
- Malitson, I.H. Interspecimen comparison of the refractive index of fused silica. J. Opt. Soc. Am. 1965, 55, 1205–1208. [Google Scholar] [CrossRef]
- Zhao, B.; Banerjee, S.; Yan, W.; Zhang, P.; Zhang, J.; Golovin, G.; Liu, C.; Fruhling, C.; Haden, D.; Chen, S.; et al. Control over high peak-power laser light and laser-driven X-rays. Opt. Commun. 2018, 412, 141–145. [Google Scholar] [CrossRef]
- Canova, L.; Kourtev, S.; Minkovski, N.; Jullien, A.; Lopez-Martens, R.B.; Albert, O.; Saltiel, S.M. Efficient generation of cross-polarized femtosecond pulses in cubic crystals with holographic cut orientation. Appl. Phys. Lett. 2008, 92, 231102. [Google Scholar] [CrossRef]
- Minkovski, N.; Petrov, G.I.; Saltiel, S.M.; Albert, O.; Etchepare, J. Nonlinear polarization rotation and orthogonal polarization generation experienced in a single-beam configuration. J. Opt. Soc. Am. B 2004, 21, 1659–1664. [Google Scholar] [CrossRef]
- Jullien, A.; Rousseau, J.-P.; Mercier, B.; Antonucci, L.; Albert, O.; Chériaux, G.; Kourtev, S.; Minkovski, N.; Saltiel, S.M. Highly efficient nonlinear filter for femtosecond pulse contrast enhancement and pulse shortening. Opt. Lett. 2008, 33, 2353–2355. [Google Scholar] [CrossRef] [PubMed]
- Ricci, A.; Jullien, A.; Rousseau, J.-P.; Liu, Y.; Houard, A.; Ramírez, P.; Papadopoulos, D.; Pellegrina, A.; Georges, P.; Druon, F.; et al. Energy-scalable temporal cleaning device for femtosecond laser pulses based on cross-polarized wave generation. Rev. Sci. Instrum. 2013, 84, 043106. [Google Scholar] [CrossRef] [PubMed] [Green Version]









Publisher’s Note: MDPI stays neutral with regard to jurisdictional claims in published maps and institutional affiliations. |
© 2022 by the authors. Licensee MDPI, Basel, Switzerland. This article is an open access article distributed under the terms and conditions of the Creative Commons Attribution (CC BY) license (https://creativecommons.org/licenses/by/4.0/).
Share and Cite
Zhao, B.; Zhang, X.; Lv, C.; Liu, Q.; Zhang, J.; Meng, X.; Ma, M.; Yang, G. Broadband Spectral Shaping of Regenerative Amplification with Extra-Cavity Waveplate for Cross Polarized Wave Generation. Appl. Sci. 2022, 12, 5521. https://doi.org/10.3390/app12115521
Zhao B, Zhang X, Lv C, Liu Q, Zhang J, Meng X, Ma M, Yang G. Broadband Spectral Shaping of Regenerative Amplification with Extra-Cavity Waveplate for Cross Polarized Wave Generation. Applied Sciences. 2022; 12(11):5521. https://doi.org/10.3390/app12115521
Chicago/Turabian StyleZhao, Baozhen, Xiaohua Zhang, Chong Lv, Qiushi Liu, Ji Zhang, Xianghao Meng, Mingjiang Ma, and Guoqing Yang. 2022. "Broadband Spectral Shaping of Regenerative Amplification with Extra-Cavity Waveplate for Cross Polarized Wave Generation" Applied Sciences 12, no. 11: 5521. https://doi.org/10.3390/app12115521
APA StyleZhao, B., Zhang, X., Lv, C., Liu, Q., Zhang, J., Meng, X., Ma, M., & Yang, G. (2022). Broadband Spectral Shaping of Regenerative Amplification with Extra-Cavity Waveplate for Cross Polarized Wave Generation. Applied Sciences, 12(11), 5521. https://doi.org/10.3390/app12115521
