Improved Dynamic Power Flow Model with Frequency Regulation by DFIG Integrated through VSC-HVDC Considering Governor Delay of SG
Abstract
:1. Introduction
- (1)
- Based on the static frequency characteristic, the SGs respond very fast to the frequency change, but the actual reaction, especially of the thermal SGs, is slower due to the governor delay [22]. The output change is not instantaneous. The governor delay is considered in [23] by simply treating the output as zero, then stepping up to the set value. A more accurate delay model is desirable for the DPF to improve the accuracy of the frequency regulation. With the slow support from the SGs due to the governor delay at the early stage of the regulation, a large deviation of the frequency occurs due to the delayed support from the SGs, leading to a frequency nadir that is smaller than the post-disturbance steady-state frequency.
- (2)
- The equivalent inertia of the DFIG is critical for its frequency regulation capability [24,25]. It is often set fixed based on the initial rotor speed before regulation [26]. Since the inertia of the DFIG is related to the kinetic energy of the rotor, the rotor speed change during frequency regulation needs to be considered when determining the inertia of the DFIG. A fixed inertia overestimates the regulation capability of the DFIG. To improve the accuracy of the DPF model, dynamic correction to the inertia of the DFIG based on the changing kinetic energy is necessary.
- (3)
- The inertia of the VSC-HVDC is not set freely, but decided by the constraint of the DC voltage. With the cascaded droop control, the drop of the DC voltage shows the frequency drop and is finally decided by the system inertia. The frequency nadir is a critical constraint to set the system inertia. As stated earlier, to estimate the nadir, the transient frequency response instead of the steady state frequency deviation is needed, which is more difficult with DFIG participating in frequency regulation through VSC-HVDC [27].
2. DPF Model Considering Governor Delay of SG
2.1. Traditional DPF Model
2.2. SG Model with Governor Delay in DPF
3. Cascaded Droop Control to DFIG Integrated through VSC-HVDC for Frequency Regulation
4. Virtual Inertia Control of the VSC-HVDC
4.1. Virtual Inertia Control of DC Capacitor
4.2. Initialization of HDC Based on Frequency Nadir
5. Frequency Regulation by DFIGs Integrated by VSC-HVDC
5.1. Derated Mode of DFIG
5.2. Correction to Inertia of DFIG Based on Kinetic Energy of Rotor
- (1)
- With high wind speed, the rotor speed is fixed at the rated value. The pitch angle control is applied to regulate the frequency. No kinetic energy is released, thus HDFIG is 0.
- (2)
- With medium wind speed, the over-speed and pitch angle control may be applied, with ωwt approximately changing in a linear manner during frequency regulation,where β is the pitch angle. HDFIG is then solved similarly to that under low wind speed in the following.
- (3)
- With low wind speed, only the rotor speed control is applied, and the nonlinear relationship between the output of the DFIG and ωwt based on the cp function is given by,where cp is the power utilization coefficient of WT; c1–c9 are the parameters to describe cp; D is the diameter of the blade; A is the sweeping area; ρ is the air density; kder is the derating coefficient. The subscript opt denotes the MPPT mode.
6. Improved DPF with Frequency Regulation of DFIG Integrated through VSC-HVDC
6.1. Improved DPF with DFIG Integrated through VSC-HVDC Considering Governor Delay of SG
6.2. Optimization of HDC Based on Improved DPF
7. Numerical Analysis
7.1. Coordinated Frequency Regulation by SG and VSC-HVDC
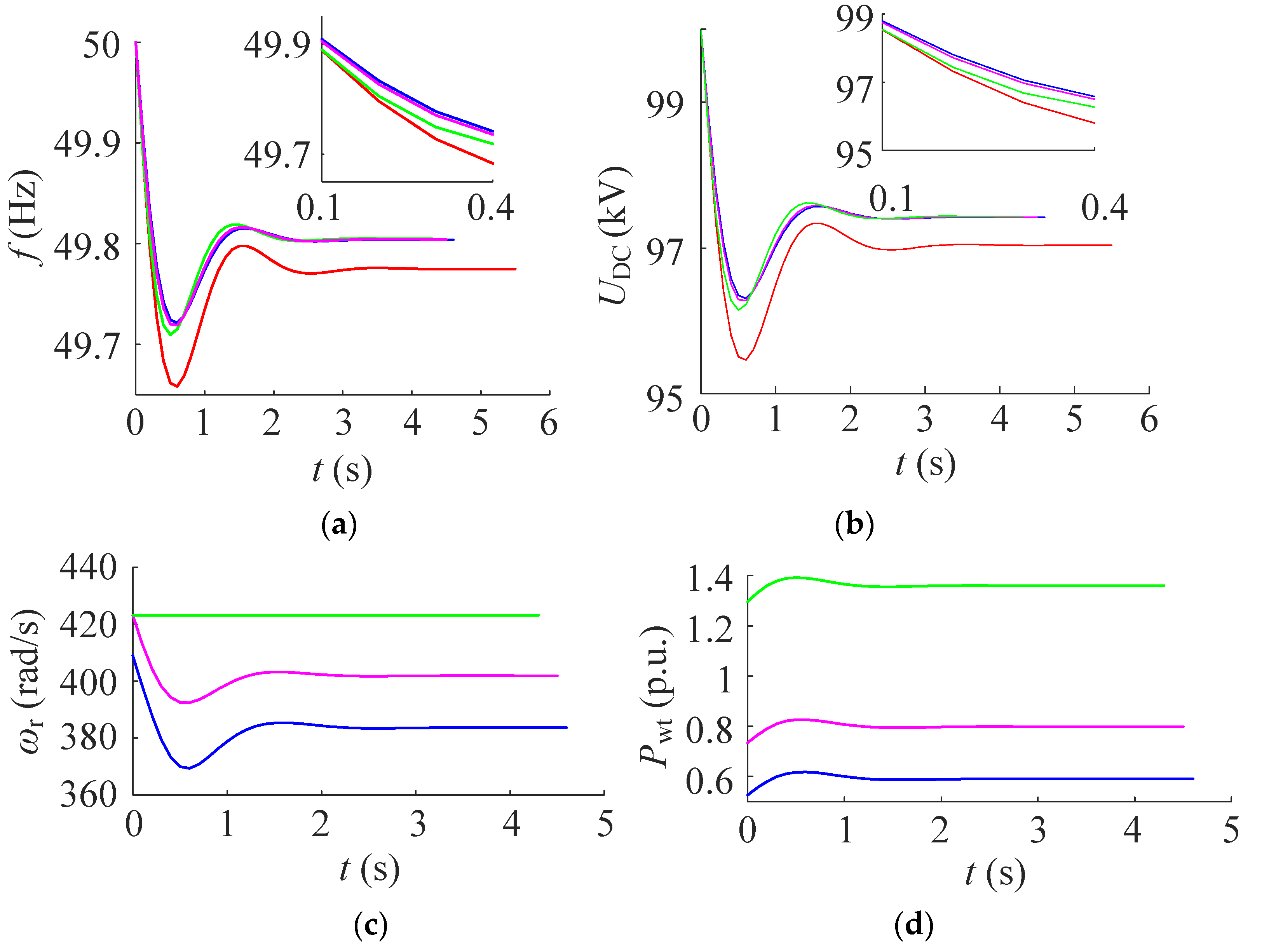
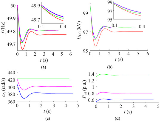
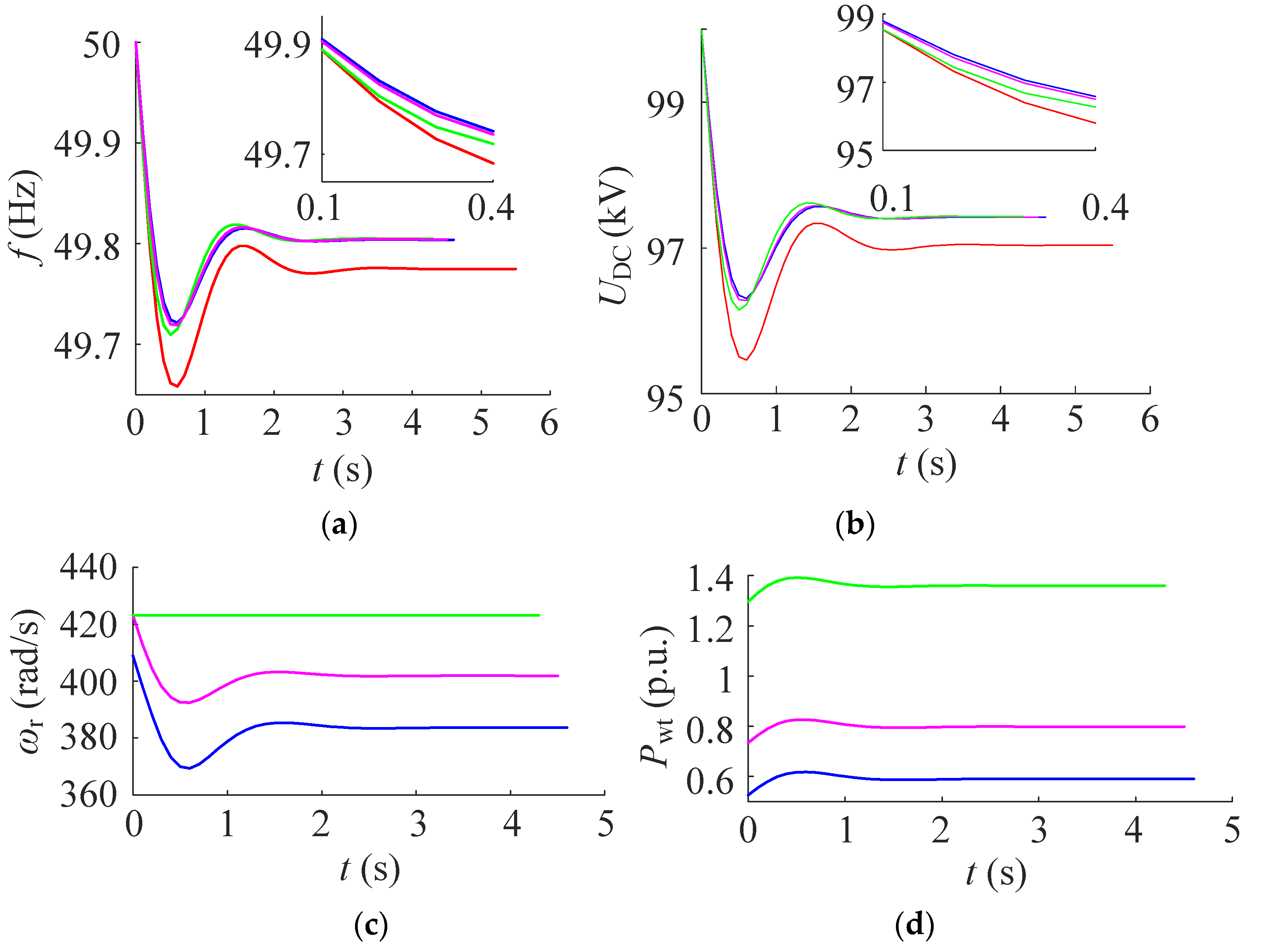
7.2. Regulation Impact by DFIG Integrated through VSC-HVDC
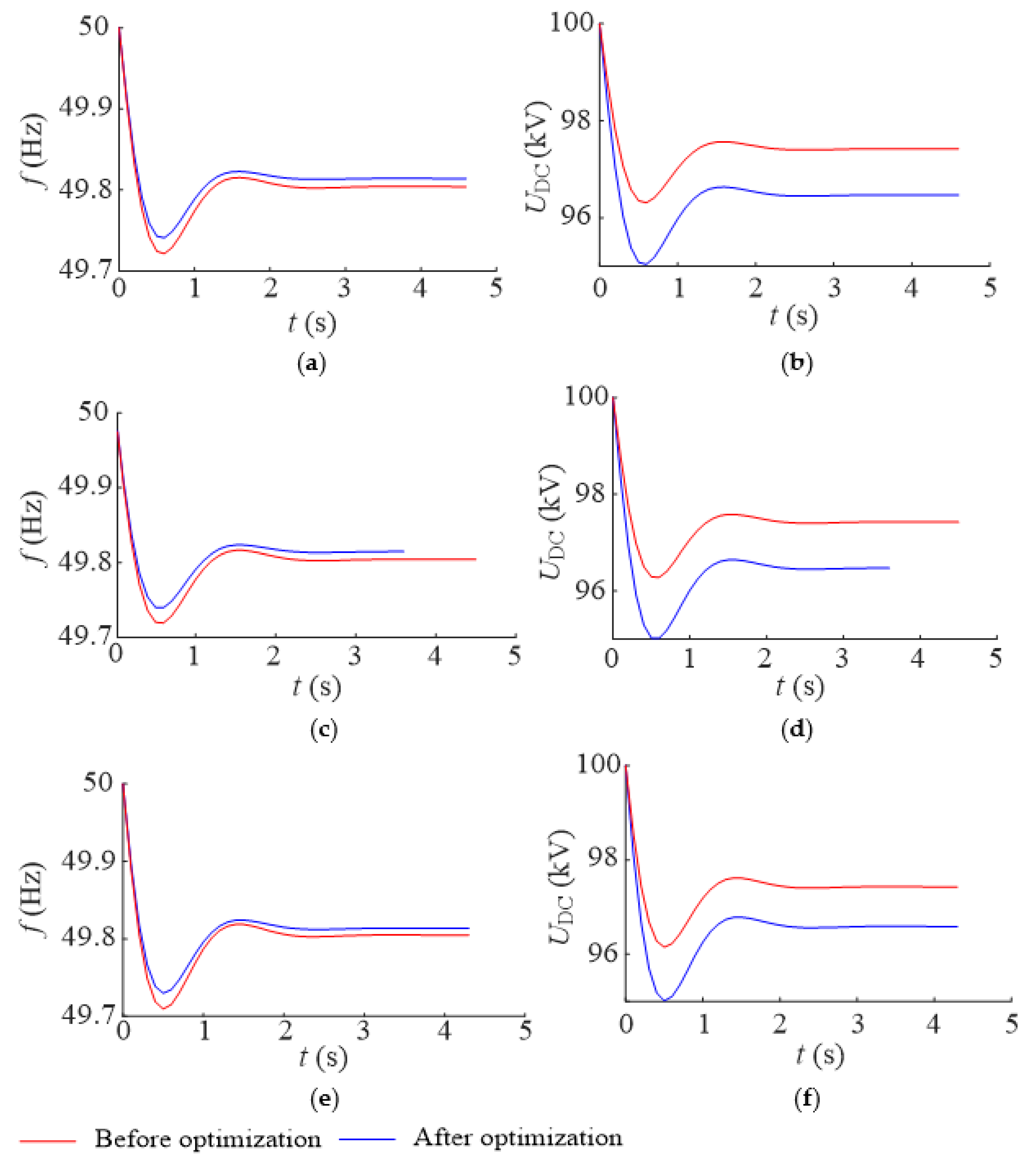
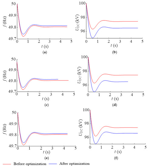
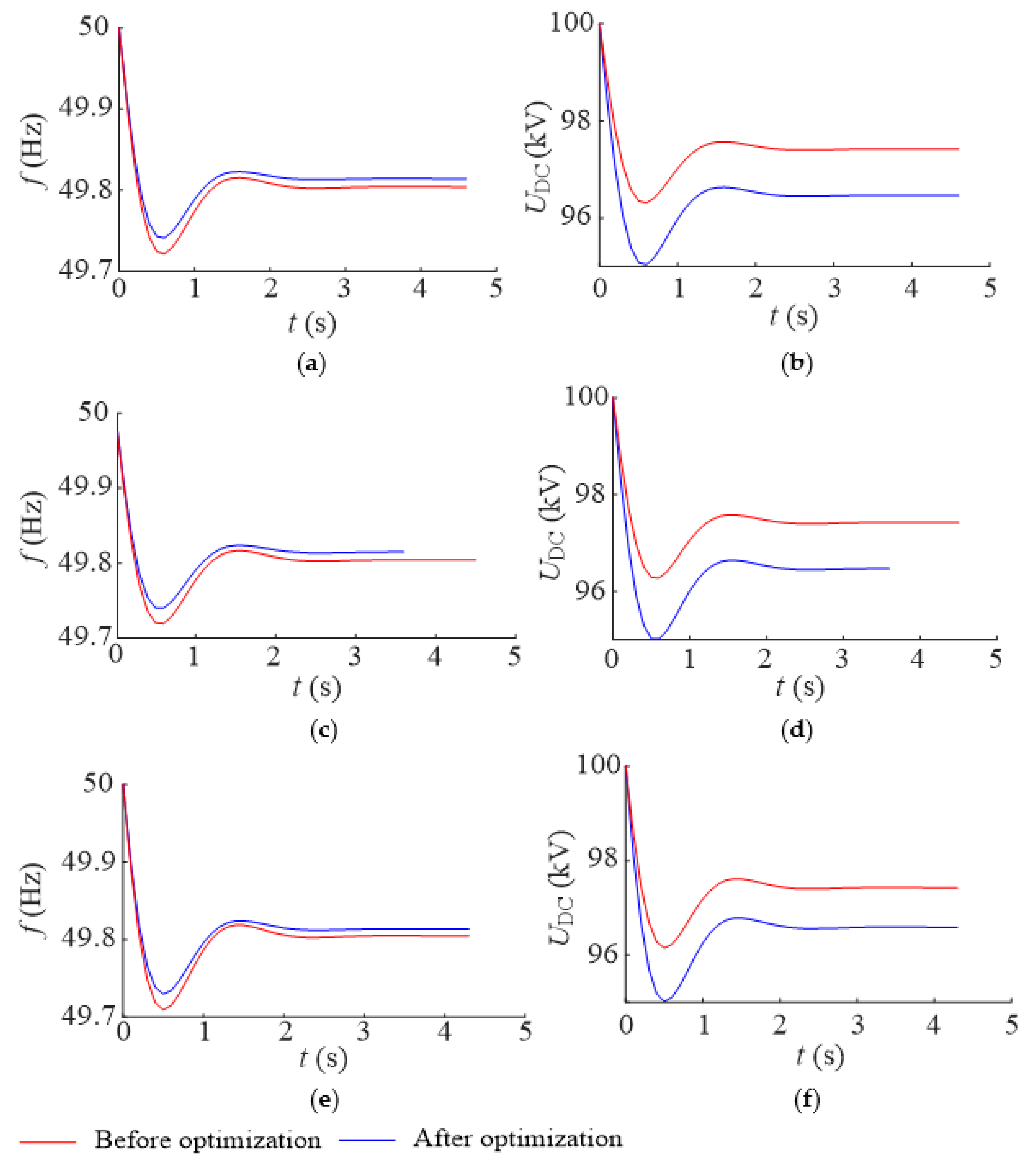
7.3. Enhanced Frequency Regulation Capability with Optimization of HDC
8. Conclusions
- (1)
- Ignorance of the governor delay of the SGs yields an optimistic estimation of the frequency oscillation and nadir. With the governor delay, the frequency nadir occurs at the early stage of the frequency regulation due to not being fully supportive of the SGs. With the larger delay, a longer time is needed to reach the steady state frequency.
- (2)
- With the virtual inertia control of VSC-HVDC, releasing the stored energy in the DC capacitor reduces the drop rate of the frequency at the early stage of regulation. Initialization of HDC based on estimation of the frequency nadir provides more inertia support to the system frequency without violating the constraint of the DC voltage.
- (3)
- With the DFIG participating in frequency regulation through the VSC-HVDC, the transient drop rate and the steady-state deviation of frequency are further reduced. The rotor speed and kinetic energy of the DFIG vary during the frequency regulation, thus the equivalent inertia needed to be modified accordingly.
- (4)
- Optimization of HDC based on the improved DPF model maximizes the virtual inertia of the VSC-HVDC for a better frequency regulation effect.
Author Contributions
Funding
Institutional Review Board Statement
Informed Consent Statement
Data Availability Statement
Conflicts of Interest
References
- Qiu, S.; Chunju, F.; Cheng, L.; Linyue, Q. Research on VSC–HVDC control strategy based on large offshore wind power system. J. Eng. 2017, 2017, 1923–1927. [Google Scholar] [CrossRef]
- Li, Y.; Liu, C.; Tian, X.; Wang, Z. Study on fault ride-through control of islanded wind farm connected to VSC-HVDC grid based on the VSC converter AC-side bus forced short circuit. J. Eng. 2019, 2019, 3325–3328. [Google Scholar] [CrossRef]
- Farsani, P.M.; Vennelaganti, S.G.; Chaudhuri, N.R. Synchrophasor-enabled power grid restoration with DFIG-based wind farms and VSC-HVDC transmission system. IET Gener. Transm. Distrib. 2018, 12, 1339–1345. [Google Scholar] [CrossRef]
- Elliott, D.; Bell, K.; Finney, S.J.; Adapa, R.; Brozio, C.; Yu, J.; Hussain, K. A Comparison of AC and HVDC Options for the Connection of Offshore Wind Generation in Great Britain. IEEE Trans. Power Deliv. 2015, 31, 798–809. [Google Scholar] [CrossRef] [Green Version]
- Rouzbehi, K.; Zhang, W.; Candela, J.I.; Luna, A.; Rodriguez, P. Unified reference controller for flexible primary control and inertia sharing in multi-terminal voltage source converter-HVDC grids. IET Gener. Transm. Distrib. 2017, 11, 750–758. [Google Scholar] [CrossRef] [Green Version]
- Miao, Z.; Fan, L.; Osborn, D.; Yuvarajan, S. Wind Farms with HVdc Delivery in Inertial Response and Primary Frequency Control. IEEE Trans. Energy Convers. 2010, 25, 1171–1178. [Google Scholar] [CrossRef]
- Zhao, J.; Lyu, X.; Fu, Y.; Hu, X.; Li, F. Coordinated Microgrid Frequency Regulation Based on DFIG Variable Coefficient Using Virtual Inertia and Primary Frequency Control. IEEE Trans. Energy Convers. 2016, 31, 833–845. [Google Scholar] [CrossRef]
- Vyver, J.V.D.; Kooning, J.D.M.D.; Meersman, B.; Vandevelde, L.; Vandoorn, T.L. Droop control as an alternative inertial response strategy for the synthetic inertia on wind turbines. IEEE Trans. Power Syst. 2016, 31, 1129–1138. [Google Scholar] [CrossRef]
- Ye, H.; Pei, W.; Qi, Z. Analytical Modeling of Inertial and Droop Responses From a Wind Farm for Short-Term Frequency Regulation in Power Systems. IEEE Trans. Power Syst. 2015, 31, 3414–3423. [Google Scholar] [CrossRef]
- Arani, M.F.M.; Mohamed, Y.A.-R.I. Dynamic Droop Control for Wind Turbines Participating in Primary Frequency Regulation in Microgrids. IEEE Trans. Smart Grid 2017, 9, 5742–5751. [Google Scholar] [CrossRef]
- Lee, J.; Muljadi, E.; Sørensen, P.E.; Kang, Y.C. Releasable Kinetic Energy-Based Inertial Control of a DFIG Wind Power Plant. IEEE Trans. Sustain. Energy 2016, 7, 279–288. [Google Scholar] [CrossRef]
- Li, Y.; Xu, Z.; Østergaard, J.; Hill, D. Coordinated Control Strategies for Offshore Wind Farm Integration via VSC-HVDC for System Frequency Support. IEEE Trans. Energy Convers. 2017, 32, 843–856. [Google Scholar] [CrossRef] [Green Version]
- Zhu, J.; Booth, C.; Adam, G.P.; Roscoe, A.; Bright, C.G. Inertia Emulation Control Strategy for VSC-HVDC Transmission Systems. IEEE Trans. Power Syst. 2012, 28, 1277–1287. [Google Scholar] [CrossRef] [Green Version]
- Zhu, J.; Guerrero, J.M.; Hung, W.; Booth, C.D.; Adam, G.P. Generic inertia emulation controller for multi-terminal voltage-source-converter high voltage direct current systems. IET Renew. Power Gener. 2014, 8, 740–748. [Google Scholar] [CrossRef] [Green Version]
- Liu, H.; Chen, Z. Contribution of VSC-HVDC to Frequency Regulation of Power Systems with Offshore Wind Generation. IEEE Trans. Energy Convers. 2015, 30, 918–926. [Google Scholar] [CrossRef]
- Adeuyi, O.D.; Cheah-Mane, M.; Liang, J.; Jenkins, N. Fast Frequency Response from Offshore Multiterminal VSC–HVDC Schemes. IEEE Trans. Power Deliv. 2016, 32, 2442–2452. [Google Scholar] [CrossRef] [Green Version]
- Silva, B.; Moreira, C.L.; Seca, L.; Phulpin, Y.; Lopes, J.A.P. Provision of inertial and primary frequency control services using offshore multi-terminal HVDC networks. IEEE Trans. Sustain. Energy 2012, 3, 800–808. [Google Scholar] [CrossRef]
- Chan, M.L.; Dunlop, R.D.; Schweppe, F. Dynamic Equivalents for Average System Frequency Behavior Following Major Distribances. IEEE Trans. Power Appar. Syst. 1972, PAS-91, 1637–1642. [Google Scholar] [CrossRef]
- Wang, R.; Zhang, H.; Li, C.; Ma, C. Dynamic power flow calculation method of power system with wind power. In Proceedings of the International Conference on Electric Utility Deregulation and Restructuring and Power Technologies (DRPT), Changsha, China, 26–29 November 2015. [Google Scholar] [CrossRef]
- Ramanathan, R.; Ramchandani, H.; Sackett, S.A. Dynamic Load Flow Technique for Power System Simulators. IEEE Trans. Power Syst. 1986, 1, 25–30. [Google Scholar] [CrossRef]
- Baojiang, X.; Haibo, Z. The research on distributed dynamic power flow based on asynchronous iteration mode considering frequency change. In Proceedings of the International Conference on Power System Technology, Hangzhou, China, 24–28 October 2010. [Google Scholar] [CrossRef]
- Akbari, M.; Madani, S.M. Analytical evaluation of control strategies for participation of doubly fed induction generator-based wind farms in power system short-term frequency regulation. IET Renew. Power Gener. 2014, 8, 324–333. [Google Scholar] [CrossRef]
- Wang, R.; Xie, Y.; Zhang, H.; Li, C.; Li, W.; Terzija, V. Dynamic power flow algorithm considering frequency regulation of wind power generators. IET Renew. Power Gener. 2017, 11, 1218–1225. [Google Scholar] [CrossRef]
- Shao, H.; Cai, X.; Zhou, D.; Li, Z.; Zheng, D.; Cao, Y.; Wang, Y.; Rao, F. Equivalent modeling and comprehensive evaluation of inertia emulation control strategy for DFIG wind turbine generator. IEEE Access 2019, 7, 64798–64811. [Google Scholar] [CrossRef]
- Tian, X.; Wang, W.; Chi, Y.; Li, Y.; Liu, C. Virtual inertia optimisation control of DFIG and assessment of equivalent inertia time constant of power grid. IET Renew. Power Gener. 2018, 12, 1733–1740. [Google Scholar] [CrossRef]
- Li, S.; Zhang, W.; Wang, Z. Improved dynamic power flow model with DFIGs participating in frequency regulation. Int. Trans. Electr. Energy Syst. 2017, 27, e2459. [Google Scholar] [CrossRef]
- Li, Y.; Zhang, Z.; Yang, Y.; Li, Y.; Chen, H.; Xu, Z. Coordinated control of wind farm and VSC–HVDC system using capacitor energy and kinetic energy to improve inertia level of power systems. Int. J. Electr. Power Energy Syst. 2014, 59, 79–92. [Google Scholar] [CrossRef]
- Wang, Y.; Wen, W.; Wang, C.; Liu, H.; Zhan, X.; Xiao, X. Adaptive voltage droop method of multiterminal VSC-HVDC systems for DC voltage deviation and power sharing. IEEE Trans. Power Deliv. 2019, 34, 169–176. [Google Scholar] [CrossRef]
- Chakrabarti, S.; Kyriakides, E. Optimal Placement of Phasor Measurement Units for Power System Observability. IEEE Trans. Power Syst. 2008, 23, 1433–1440. [Google Scholar] [CrossRef]










| T (s) | 0 | 0.2 | 0.4 | 0.6 | 0.8 | 1 |
|---|---|---|---|---|---|---|
| Δfmax (p.u.) | –0.0042 | –0.0059 | –0.0075 | –0.0083 | –0.009 | –0.01 |
| HDC (s) | 3.10 | 2.47 | 1.95 | 1.76 | 1.62 | 1.46 |
| Parameter | Pwt (p.u.) | ΣPG (p.u.) | ΣPL (p.u.) | ΔPwt (p.u.) | |
|---|---|---|---|---|---|
| Wind Speed | |||||
| Low | Before | 0.5257 | 3.6804 | 4.1900 | 0.0646 |
| After | 0.5903 | 4.0725 | 4.6194 | ||
| Medium | Before | 0.7338 | 3.4678 | 4.1900 | 0.0645 |
| After | 0.7983 | 3.8593 | 4.6195 | ||
| High | Before | 1.2963 | 2.9085 | 4.1900 | 0.0643 |
| After | 1.3606 | 3.2987 | 4.1697 |
| Parameter | Pwt (p.u.) | ΣPG (p.u.) | ΣPL (p.u.) | |
|---|---|---|---|---|
| Wind Speed | ||||
| Low | Before | 0.5903 | 4.0725 | 4.6194 |
| After | 0.6140 | 4.0522 | 4.6231 | |
| Medium | Before | 0.7983 | 3.8593 | 4.6195 |
| After | 0.8219 | 3.8392 | 4.6232 | |
| High | Before | 1.3606 | 3.2987 | 4.1697 |
| After | 1.3816 | 3.2812 | 4.6229 |
Publisher’s Note: MDPI stays neutral with regard to jurisdictional claims in published maps and institutional affiliations. |
© 2022 by the authors. Licensee MDPI, Basel, Switzerland. This article is an open access article distributed under the terms and conditions of the Creative Commons Attribution (CC BY) license (https://creativecommons.org/licenses/by/4.0/).
Share and Cite
Sun, T.; Huang, J. Improved Dynamic Power Flow Model with Frequency Regulation by DFIG Integrated through VSC-HVDC Considering Governor Delay of SG. Appl. Sci. 2022, 12, 5447. https://doi.org/10.3390/app12115447
Sun T, Huang J. Improved Dynamic Power Flow Model with Frequency Regulation by DFIG Integrated through VSC-HVDC Considering Governor Delay of SG. Applied Sciences. 2022; 12(11):5447. https://doi.org/10.3390/app12115447
Chicago/Turabian StyleSun, Tingting, and Jiejie Huang. 2022. "Improved Dynamic Power Flow Model with Frequency Regulation by DFIG Integrated through VSC-HVDC Considering Governor Delay of SG" Applied Sciences 12, no. 11: 5447. https://doi.org/10.3390/app12115447
APA StyleSun, T., & Huang, J. (2022). Improved Dynamic Power Flow Model with Frequency Regulation by DFIG Integrated through VSC-HVDC Considering Governor Delay of SG. Applied Sciences, 12(11), 5447. https://doi.org/10.3390/app12115447

