Vehicle Acceleration Prediction Based on Machine Learning Models and Driving Behavior Analysis
Abstract
1. Introduction
1.1. Model-Driven Prediction Methods
1.2. Data-Driven Prediction Methods
- Firstly, this paper predicts the vehicle acceleration based on machine learning methods and driving behavior classification. The MHMM-based driving behavior classification can identify the heterogeneity of different drivers and improve the prediction accuracy.
- Secondly, we compare the performance of the LSTM and GRU in the prediction of vehicle acceleration.
2. Methodology
2.1. HMM
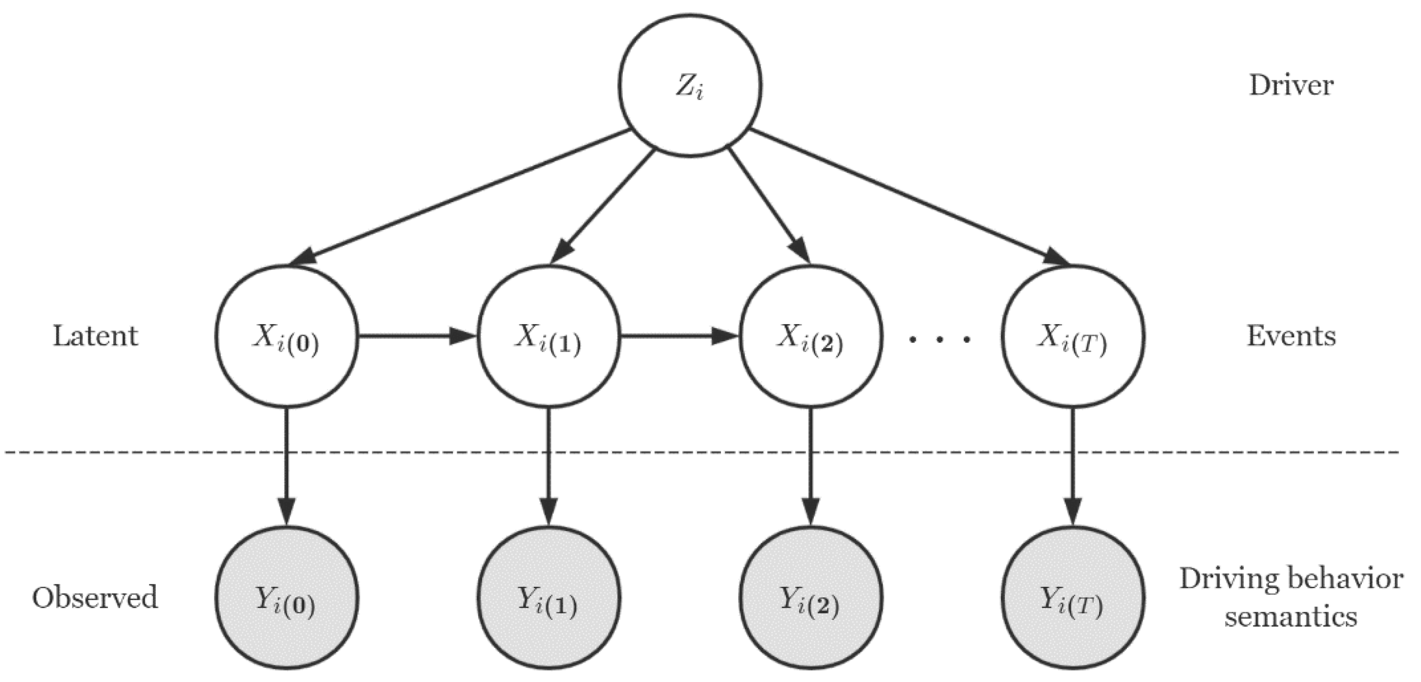
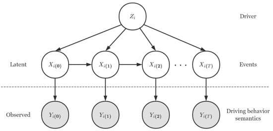
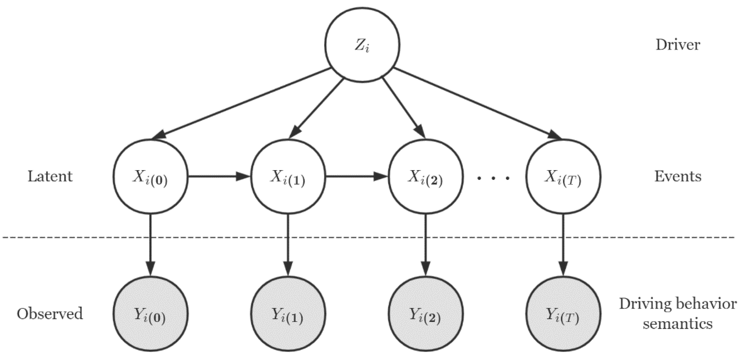
2.2. MHMM
2.3. LSTM
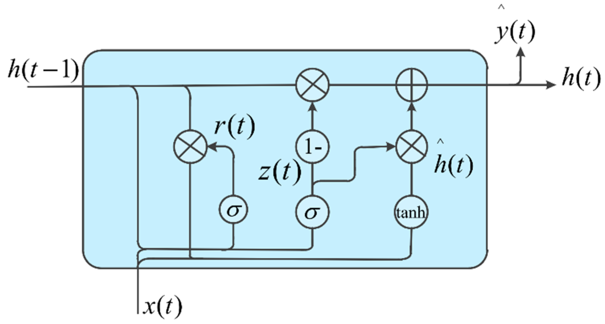
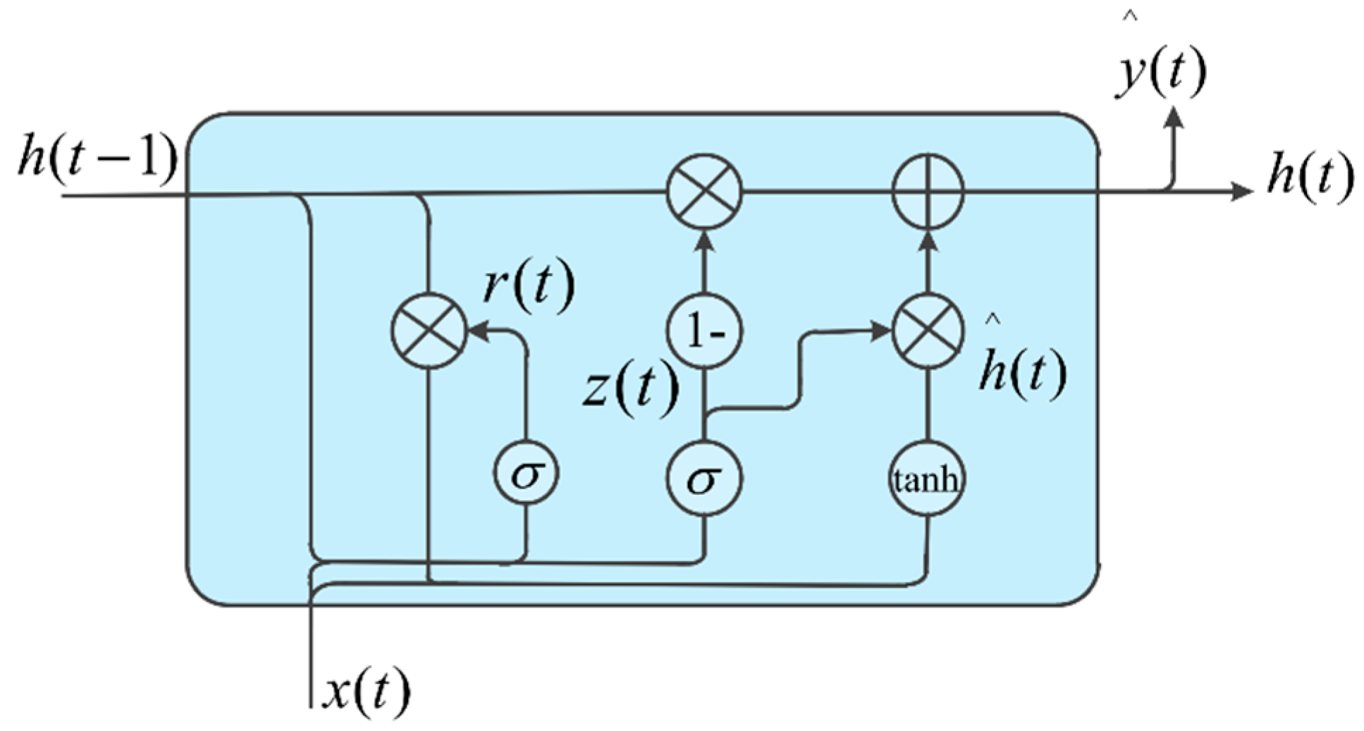
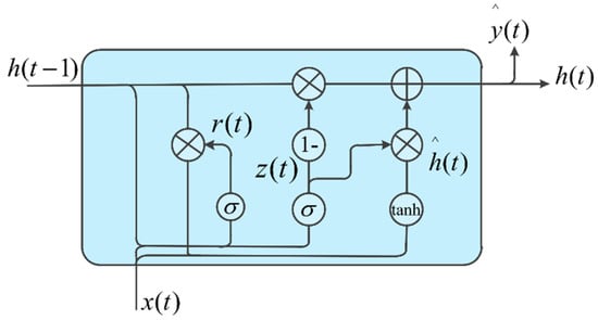
2.4. GRU
3. Personalized Driving Behavior Analysis Model
3.1. Data Description
3.2. Semantic Division of the Driving Behavior
3.3. Similarity Evaluation for the Driving Behavior
4. Discussion
4.1. Experimental Content
4.2. Experimental Results
5. Conclusions
Author Contributions
Funding
Institutional Review Board Statement
Informed Consent Statement
Data Availability Statement
Acknowledgments
Conflicts of Interest
References
- Miyaji, M.; Danno, M.; Oguri, K. Analysis of driver behavior based on traffic incidents for driver monitor systems. In Proceedings of the Intelligent Vehicles Symposium, Eindhoven, The Netherlands, 4–6 June 2008; IEEE: Piscataway, NJ, USA, 2008. [Google Scholar]
- Aufrère, R.; Gowdy, J.; Mertz, C.; Thorpe, C.; Wang, C.C.; Yata, T. Perception for collision avoidance and autonomous driving. Mechatronics 2003, 13, 1149–1161. [Google Scholar] [CrossRef]
- Amin, M.S.; Reaz, M.; Nasir, S.S. Integrated Vehicle Accident Detection and Location System. TELKOMNIKA (Telecommun. Comput. Electron. Control.) 2014, 12, 73–78. [Google Scholar] [CrossRef][Green Version]
- Sato, T.; Akamatsu, M. Understanding driver car-following behavior using a fuzzy logic car-following model. In Fuzzy Logic—Algorithms, Techniques and Implementations; Book on Demand: Norderstedt, Germany, 2012; pp. 265–282. [Google Scholar]
- Wang, W.; Wei, Z.; Li, D.; Hirahara, K.; Ikeuchi, K. Improved action point model in traffic flow based on driver’s cognitive mechanism. In Proceedings of the Intelligent Vehicles Symposium, Parma, Italy, 14–17 June 2004. [Google Scholar]
- Agamennoni, G.; Nieto, J.I.; Nebot, E.M. A Bayesian approach for driving behavior inference. In Proceedings of the Intelligent Vehicles Symposium (IV), Baden-Baden, Germany, 5–9 June 2011; IEEE: Piscataway, NJ, USA, 2011. [Google Scholar]
- Wang, J.; Chen, R.; He, Z. Traffic speed prediction for urban transportation network: A path based deep learning approach. Transp. Res. Part C Emerg. Technol. 2019, 100, 372–385. [Google Scholar] [CrossRef]
- Jiang, B.; Fei, Y. Vehicle Speed Prediction by Two-Level Data Driven Models in Vehicular Networks. IEEE Trans. Intell. Transp. Syst. 2017, 18, 1793–1801. [Google Scholar] [CrossRef]
- Angkititrakul, P.; Miyajima, C.; Takeda, K. An improved driver-behavior model with combined individual and general driving characteristics. In Proceedings of the Intelligent Vehicles Symposium, Madrid, Spain, 3–7 June 2012. [Google Scholar]
- Harkous, H.; Bardawil, C.; Artail, H.; Daher, N. Application of Hidden Markov Model on Car Sensors for Detecting Drunk Drivers. In Proceedings of the 2018 IEEE International Multidisciplinary Conference on Engineering Technology (IMCET), Beirut, Lebanon, 14–16 November 2018. [Google Scholar]
- Vitali, W.; Ronja, F.; Yannis, P.; Iris, P.; Norman, W.; Jérémie, B. Using Hidden Markov Models to Improve Quantifying Physical Activity in Accelerometer Data—A Simulation Study. PLoS ONE 2014, 9, e114089. [Google Scholar]
- Fu, R.; Zhang, Z.; Li, L. Using LSTM and GRU neural network methods for traffic flow prediction. In Proceedings of the 2016 31st Youth Academic Annual Conference of Chinese Association of Automation (YAC), Wuhan, China, 11–13 November 2016; pp. 324–328. [Google Scholar]
- Schuster-Böckler, B.; Bateman, A. An introduction to Hidden Markov models. Curr. Protoc. Bioinform. 2007, 18, A–3A. [Google Scholar]
- Zhang, S.; Cao, C.; Quinn, A.; Vivekananda, U.; Litvak, V. Dynamic Analysis on Simultaneous iEEG-MEG Data via Hidden Markov Model. NeuroImage 2021, 233, 117923. [Google Scholar] [CrossRef]
- Chaumaray, M.; Marbac, M.; Navarro, F. Mixture of Hidden Markov models for accelerometer data. Ann. Appl. Stat. 2019, 14, 1834–1855. [Google Scholar]
- Baum, L.E.; Petrie, T. Statistical Inference for Probabilistic Functions of Finite State Markov Chains. Ann. Math. Stat. 1966, 37, 1554–1563. [Google Scholar] [CrossRef]
- Benaglia, T.; Chauveau, D.; Hunter, D.R.; Young, D.S. mixtools: An R Package for Analyzing Mixture Models. J. Stat. Softw. 2009, 32, 1–29. [Google Scholar] [CrossRef]
- Kong, W.; Dong, Z.Y.; Jia, Y.; Hill, D.J.; Xu, Y.; Zhang, Y. Short-term residential load forecasting based on LSTM recurrent neural network. IEEE Trans. Smart Grid 2017, 10, 841–851. [Google Scholar] [CrossRef]
- Hochreiter, S.; Schmidhuber, J. Long short-term memory. Neural Comput. 1997, 9, 1735–1780. [Google Scholar] [CrossRef] [PubMed]
- Peng, Z.; Peng, S.; Fu, L.; Lu, B.; Li, W. A novel deep learning ensemble model with data denoising for short-term wind speed forecasting. Energy Convers. Manag. 2020, 207, 112524. [Google Scholar] [CrossRef]
- Kisvari, A.; Lin, Z.; Liu, X. Wind power forecasting—A data-driven method along with gated recurrent neural network. Renew. Energy 2021, 163, 1895–1909. [Google Scholar] [CrossRef]
- Fitch, G.M.; Hanowski, R.J. Using Naturalistic Driving Research to Design, Test and Evaluate Driver Assistance Systems; Springer: London, UK, 2012. [Google Scholar]
- Bau, D. Numerical Linear Algebra: Numerical Linear Algebra; SIAM: Philadelphia, PA, USA, 1997. [Google Scholar]
- Wang, W.; Xi, J.; Zhao, D. Driving Style Analysis Using Primitive Driving Patterns With Bayesian Nonparametric Approaches. IEEE Trans. Intell. Transp. Syst. 2017, 20, 2986–2998. [Google Scholar] [CrossRef]
- Reesi, H.A.; Maniri, A.A.; Kai, P.; Hinai, M.A.; Adawi, S.A.; Davey, J.; Freeman, J. Risky driving behavior among university students and staff in the Sultanate of Oman. Accid. Anal. Prev. 2013, 58, 1–9. [Google Scholar] [CrossRef]
- Ahmed, K.I. Modeling Drivers’ Acceleration and Lane Changing Behavior. Ph.D. Thesis, Massachusetts Institute of Technology, Cambridge, MA, USA, 1999. [Google Scholar]
- Macadam, C.; Bareket, Z.; Fancher, P.; Ervin, R. Using Neural Networks to Identify Driving Style and Headway Control Behavior of Drivers. Veh. Syst. Dyn. 1998, 29, 143–160. [Google Scholar] [CrossRef]
- Wang, W.; Han, W.; Na, X.; Gong, J.; Xi, J. A Probabilistic Approach to Measuring Driving Behavior Similarity With Driving Primitives. IEEE Trans. Intell. Veh. 2019, 5, 127–138. [Google Scholar] [CrossRef]
- Nechyba, M.; Xu, Y. Stochastic Similarity For Validating Human Control Strategy Models. IEEE Trans. Robot. Autom. 1998, 14, 437–451. [Google Scholar] [CrossRef]
- Hollander, M.; Wolfe, D.A.; Chicken, E. Nonparametric Statistical Methods; John Wiley & Sons, Inc.: Hoboken, NJ, USA, 2008. [Google Scholar]
- Jais, I.K.M.; Ismail, A.R.; Nisa, S.Q. Adam optimization algorithm for wide and deep neural network. Knowl. Eng. Data Sci. 2019, 2, 41–46. [Google Scholar] [CrossRef]
- Wang, C.; Du, W.B.; Zhu, Z.X.; Yue, Z.F. The real-time big data processing method based on LSTM or GRU for the smart job shop production process. J. Algorithms Comput. Technol. 2020, 14, 1748302620962390. [Google Scholar] [CrossRef]







| Variable | Variable State | Threshold |
|---|---|---|
| Relative Distance (m) | Long distance (LD) | >59.33 |
| Normal distance (ND) | (27.04, 59.33] | |
| Close distance (CD) | (5, 27.04] | |
| Relative Speed (m/s) | Rapidly closing in (RCI) | <−1.3 |
| Closing in (CI) | [−1.3, −0.2) | |
| Keeping (KE) | [−0.2, 0.2) | |
| Falling behind (FB) | [0.2, 1.0] | |
| Rapidly falling behind (RFB) | >1.0 | |
| Acceleration (m/s2) | Aggressive acceleration (AA) | >0.19 |
| Gentle acceleration (GA) | (0.0522, 0.19] | |
| No acceleration (NA) | (−0.0642, 0.0522] | |
| Gentle deceleration (GD) | [−0.2, −0.0642] | |
| Aggressive deceleration (AD) | <−0.2 |
| Methods | Total Number | Durations of Driving Behavior Semantic (s) | |||||||
| <1.0 | [1.0, 5.0) | [5.0, 10.0) | [10.0, 15.0) | [15.0, 20.0) | [20.0, 25.0) | [25.0, 30.0) | ≥30.0 | ||
| HMM | 12949 | 0.0203 | 0.3468 | 0.2549 | 0.1162 | 0.0641 | 0.0345 | 0.0299 | 0.1333 |
| MHMM | 7213 | 0.0110 | 0.1305 | 0.1896 | 0.1481 | 0.1050 | 0.0628 | 0.0473 | 0.3056 |
| Number of Neurons | Activation Function | Optimizer | Learning Rate | Batch Size | Epoch |
|---|---|---|---|---|---|
| 128 | tanh | Adam | 0.001 | 16 | 100 |
| Number of Neurons | Activation Function | Optimizer | Learning Rate | Batch Size | Epoch |
|---|---|---|---|---|---|
| 180 | Sigmoid | Adam | 0.001 | 1 | 331 |
| Group | Model | MSE | RMSE | MAE | |
|---|---|---|---|---|---|
| Group 1 | 10 drivers | LSTM | 0.0077 | 0.0876 | 0.0593 |
| GRU | 0.0075 | 0.0711 | 0.0511 | ||
| Group 2 | 20 drivers | LSTM | 0.0307 | 0.1752 | 0.1067 |
| GRU | 0.0163 | 0.1373 | 0.0836 | ||
| Group 3 (Control group) | 30 drivers | LSTM | 0.0232 | 0.1524 | 0.0928 |
| GRU | 0.0147 | 0.1302 | 0.0804 |
Publisher’s Note: MDPI stays neutral with regard to jurisdictional claims in published maps and institutional affiliations. |
© 2022 by the authors. Licensee MDPI, Basel, Switzerland. This article is an open access article distributed under the terms and conditions of the Creative Commons Attribution (CC BY) license (https://creativecommons.org/licenses/by/4.0/).
Share and Cite
Zou, Y.; Ding, L.; Zhang, H.; Zhu, T.; Wu, L. Vehicle Acceleration Prediction Based on Machine Learning Models and Driving Behavior Analysis. Appl. Sci. 2022, 12, 5259. https://doi.org/10.3390/app12105259
Zou Y, Ding L, Zhang H, Zhu T, Wu L. Vehicle Acceleration Prediction Based on Machine Learning Models and Driving Behavior Analysis. Applied Sciences. 2022; 12(10):5259. https://doi.org/10.3390/app12105259
Chicago/Turabian StyleZou, Yajie, Lusa Ding, Hao Zhang, Ting Zhu, and Lingtao Wu. 2022. "Vehicle Acceleration Prediction Based on Machine Learning Models and Driving Behavior Analysis" Applied Sciences 12, no. 10: 5259. https://doi.org/10.3390/app12105259
APA StyleZou, Y., Ding, L., Zhang, H., Zhu, T., & Wu, L. (2022). Vehicle Acceleration Prediction Based on Machine Learning Models and Driving Behavior Analysis. Applied Sciences, 12(10), 5259. https://doi.org/10.3390/app12105259

