Rod–Airfoil Interaction Noise Reduction Using Gradient Distributed Porous Leading Edges
Abstract
:1. Introduction
2. Experimental Set-Up and Data Processing
2.1. Test Facility and Model
2.2. Data Acquisition and Processing
3. Results
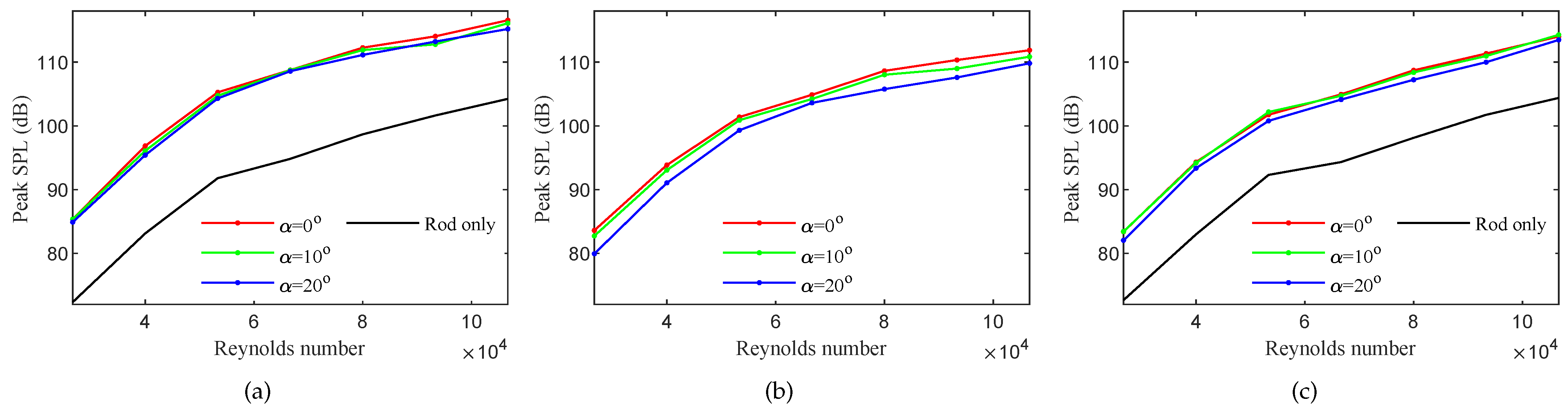
3.1. Noise Characteristics of the Baseline Case
3.2. Noise Characteristics of Porous Leading Edges
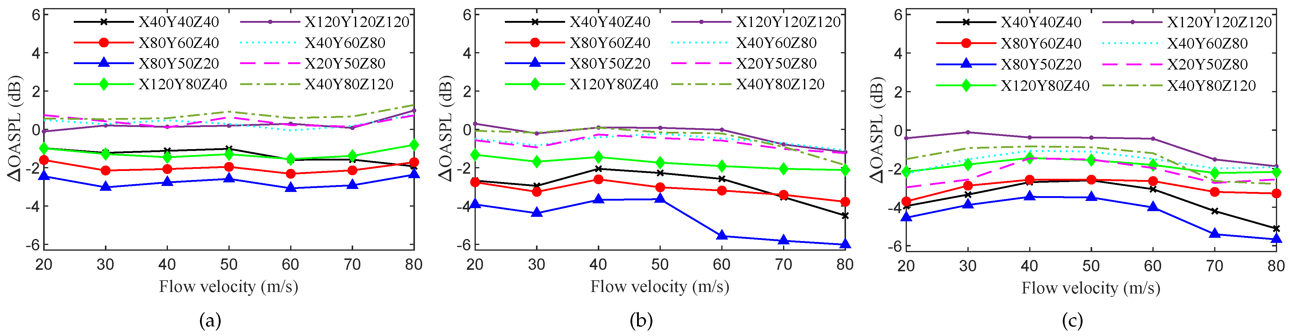
3.3. Effect of Gradient Properties on Noise Reduction
4. Conclusions
Author Contributions
Funding
Institutional Review Board Statement
Informed Consent Statement
Data Availability Statement
Acknowledgments
Conflicts of Interest
References
- Casalino, D.; Jacob, M.; Roger, M. Prediction of rod–airfoil interaction noise using the Ffowcs-Williams-Hawkings analogy. AIAA J. 2003, 41, 182–191. [Google Scholar] [CrossRef]
- Chen, W.J.; Qiao, W.Y.; Tong, F.; Wang, L.F.; Wang, X.N. Experimental investigation of wavy leading edges on rod-aerofoil interaction noise. J. Sound Vib. 2018, 422, 409–431. [Google Scholar] [CrossRef]
- Henning, A.; Koop, L.; Ehrenfried, K. Simultaneous particle image velocimetry and microphone array measurements on a rod–airfoil configuration. AIAA J. 2010, 48, 2263–2273. [Google Scholar] [CrossRef]
- Wang, Y.; Zhao, K.; Lu, X.Y.; Song, Y.B.; Bennett, G.J. Bio-inspired aerodynamic noise control: A bibliographic review. Appl. Sci. 2019, 9, 2224. [Google Scholar] [CrossRef] [Green Version]
- Jacob, M.C.; Boudet, J.; Casalino, D.; Michard, M. A rod–airfoil experiment as benchmark for broadband noise modeling. Theor. Comp. Fluid Dyn. 2005, 19, 171–196. [Google Scholar] [CrossRef]
- Agrawal, B.R.; Sharma, A. Aerodynamic noise prediction for a rod–airfoil configuration using large eddy simulations. In Proceedings of the 20th AIAA/CEAS Aeroacoustics Conference, Atlanta, GA, USA, 16–20 June 2014. [Google Scholar]
- Giret, J.; Sengissen, A.; Moreau, S.; Sanjosé, M.; Jouhaud, J. Noise source analysis of a rod–airfoil configuration using unstructured Large-Eddy Simulation. AIAA J. 2015, 53, 1062–1077. [Google Scholar] [CrossRef]
- Caraeni, M.; Dai, Y.; Caraeni, D. Acoustic investigation of rod airfoil configuration with DES and FWH. In Proceedings of the 37th AIAA Fluid Dynamics Conference and Exhibit, Miami, FL, USA, 25–28 June 2007. [Google Scholar]
- Galdeano, S.; Barré, S.; Réau, N. Noise radiated by a rod–airfoil configuration using DES and the Ffowcs-Williams & Hawkings’ Analogy. In Proceedings of the 16th AIAA/CEAS Aeroacoustics Conference, Stockholm, Sweden, 7–9 June 2010. [Google Scholar]
- Siller, H.A.; Jacob, M.C.; Michel, U. Flow and noise modification by suction and blowing on a rod–airfoil Configuration. In Proceedings of the 11th AIAA/CEAS Aeroacoustics Conference, Monterey, CA, USA, 23–25 May 2005. [Google Scholar]
- Giesler, J.; Sarradj, E. Measurement of broadband noise generation on rod–airfoil-configurations. In Proceedings of the 15th AIAA/CEAS Aeroacoustics Conference (30th AIAA Aeroacoustics Conference), Miami, FL, USA, 11–13 May 2009. [Google Scholar]
- Li, Y.; Wang, X.N.; Chen, Z.W.; Li, Z.C. Experimental study of vortex-structure interaction noise radiated from rod–airfoil configurations. J. Fluids Struct. 2014, 51, 313–325. [Google Scholar] [CrossRef]
- Munekata, M.; Koshiishi, R.; Yoshikawa, H.; Ohba, H. An experimental study on aerodynamic sound generated from wake interaction of circular cylinder and airfoil with attack angle in tandem. J. Therm. Sci. 2008, 17, 212–217. [Google Scholar] [CrossRef]
- Siozos-Rousoulis, L.; Ghorbaniasl, G.; Lacor, C. Noise control by a rotating Rod in a rod–airfoil configuration. In Proceedings of the 21th AIAA/CEAS Aeroacoustics Conference, Dallas, TX, USA, 22–26 June 2015. [Google Scholar]
- Chen, W.J.; Wang, X.N.; Qiao, W.Y.; Wang, L.F.; Tong, F. Rod–airfoil Interaction noise reduction using leading edge serrations. In Proceedings of the 21th AIAA/CEAS Aeroacoustics Conference, Dallas, TX, USA, 22–26 June 2015. [Google Scholar]
- Geyer, T.; Sarradj, E.; Giesler, J.; Hobracht, M. Experimental assesment of the noise generated at the leading edge of porous airfoils using microphone array techniques. In Proceedings of the 17th AIAA/CEAS Aeroacoustics Conference, Portland, OR, USA, 5–8 June 2011. [Google Scholar]
- Roger, M.; Schram, C.; De Santana, L. Reduction of airfoil turbulence-impingement noise by means of leading-edge serrations and/or porous materials. In Proceedings of the 19th AIAA/CEAS Aeroacoustics Conference, Berlin, Germany, 27–29 May 2013. [Google Scholar]
- Chaitanya, P.; Joseph, P.; Chong, T.P.; Priddin, M.; Ayton, L. On the noise reduction mechanisms of porous aerofoil leading edges. J. Sound Vib. 2020, 485, 115574. [Google Scholar] [CrossRef]
- Teruna, C.; Avallone, F.; Casalino, D.; Ragni, D. Numerical investigation of leading edge noise reduction on a rod–airfoil configuration using porous materials and serrations. J. Sound Vib. 2021, 494, 115880. [Google Scholar] [CrossRef]
- Wang, Y.; Lai, Q.R.; Liang, Y.; Song, Y.B.; Zheng, X. Experimental study on instability tonal noise reduction using trailing edge gradient porous materials. In Proceedings of the 49th International Congress and Exposition on Noise Control Engineering (INTER-NOISE 2020), Seoul, Korea, 23–26 August 2020. [Google Scholar]
- Wang, Y.; Hao, N.S.; Lu, X.Y.; Tong, F.; Song, Y.B. Airfoil self-noise reduction by gradient distributed porous trailing edges. J. Aerospace Eng. 2021, 34, 04021075. [Google Scholar] [CrossRef]
- You, D.; Choi, H.; Myung-Ryul, C.; Shin-Hyoung, K. Control of flow-induced noise behind a circular cylinder using splitter plates. AIAA J. 1998, 36, 1961–1967. [Google Scholar] [CrossRef]
- Spiteri, M.; Zhang, X.; Molin, N.; Chow, L.C. The use of a fairing and split plate for bluff body noise control. In Proceedings of the 14th AIAA/CEAS Aeroacoustics Conference, Vancouver, BC, Canada, 5–7 May 2008. [Google Scholar]
- Woodward, R.P.; Glaser, F.W. Wind tunnel measurements of blade/vane ratio and spacing effects on fan noise. J. Aircraft 1983, 20, 58–65. [Google Scholar] [CrossRef]
- Lorenzoni, V.; Moore, P.; Scarano, F.; Tuinstra, M. Aeroacoustic analysis of a rod–airfoil flow by means of time-resolved PIV. In Proceedings of the 15th AIAA/CEAS Aeroacoustics Conference (30th AIAA Aeroacoustics Conference), Miami, FL, USA, 11–13 May 2009. [Google Scholar]
- Liu, Y.; Dowling, A.P.; Shin, H.; Quayle, A.R. Experimental study of surface roughness noise. In Proceedings of the 13th AIAA/CEAS Aeroacoustics Conference (28th AIAA Aeroacoustics Conference), Rome, Italy, 21–23 May 2007. [Google Scholar]
- Geyer, T.; Sarradj, E.; Fritzsche, C. Porous airfoils: Noise reduction and boundary layer effects. In Proceedings of the 15th AIAA/CEAS Aeroacoustics Conference (30th AIAA Aeroacoustics Conference), Miami, FL, USA, 11–13 May 2009. [Google Scholar]















Publisher’s Note: MDPI stays neutral with regard to jurisdictional claims in published maps and institutional affiliations. |
© 2022 by the authors. Licensee MDPI, Basel, Switzerland. This article is an open access article distributed under the terms and conditions of the Creative Commons Attribution (CC BY) license (https://creativecommons.org/licenses/by/4.0/).
Share and Cite
Wang, Y.; Tong, F.; Chen, Z.; Wang, C.; Jiang, S. Rod–Airfoil Interaction Noise Reduction Using Gradient Distributed Porous Leading Edges. Appl. Sci. 2022, 12, 4941. https://doi.org/10.3390/app12104941
Wang Y, Tong F, Chen Z, Wang C, Jiang S. Rod–Airfoil Interaction Noise Reduction Using Gradient Distributed Porous Leading Edges. Applied Sciences. 2022; 12(10):4941. https://doi.org/10.3390/app12104941
Chicago/Turabian StyleWang, Yong, Fan Tong, Zhengwu Chen, Chao Wang, and Shujie Jiang. 2022. "Rod–Airfoil Interaction Noise Reduction Using Gradient Distributed Porous Leading Edges" Applied Sciences 12, no. 10: 4941. https://doi.org/10.3390/app12104941
APA StyleWang, Y., Tong, F., Chen, Z., Wang, C., & Jiang, S. (2022). Rod–Airfoil Interaction Noise Reduction Using Gradient Distributed Porous Leading Edges. Applied Sciences, 12(10), 4941. https://doi.org/10.3390/app12104941

