Numerical Simulation of Non-Spherical Submicron Particle Acceleration and Focusing in a Converging–Diverging Micronozzle
Abstract
:1. Introduction
2. Model Formulation
3. Numerical Procedure
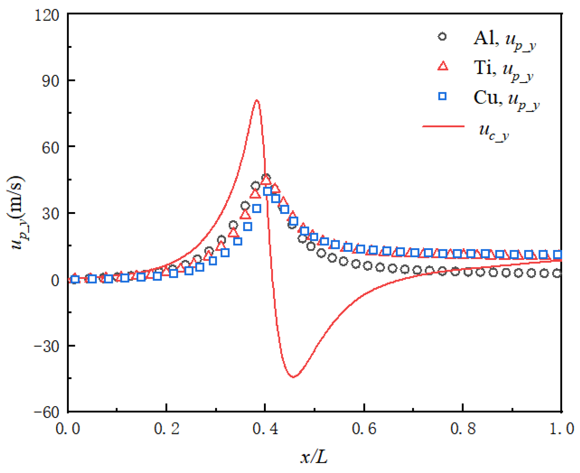
4. Validation of Solvers
5. Results and Discussion
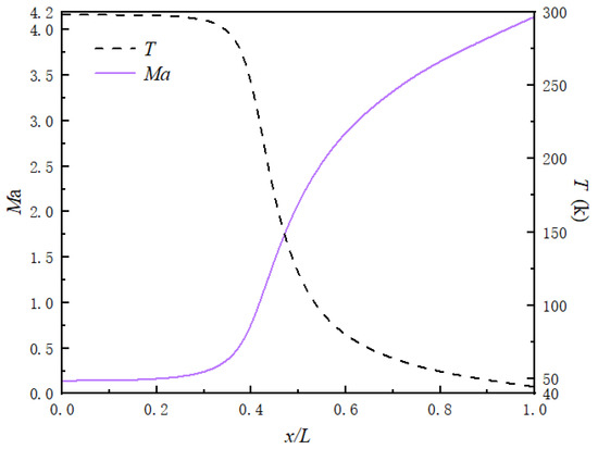
5.1. Flow Field Characteristics in the Micronozzle
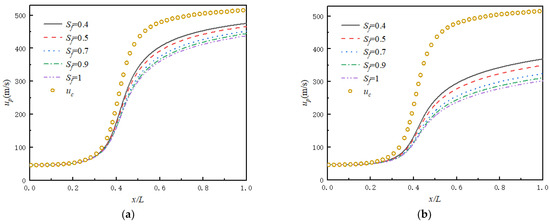
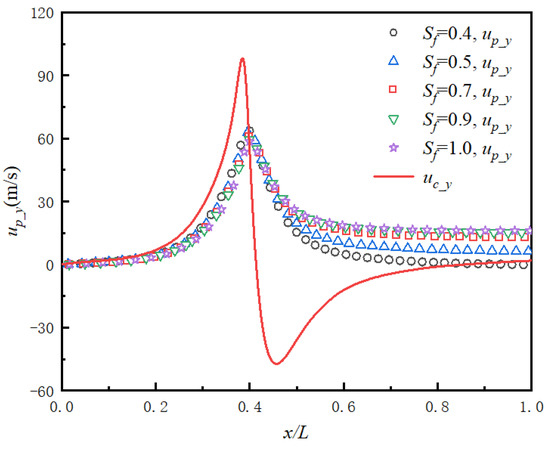
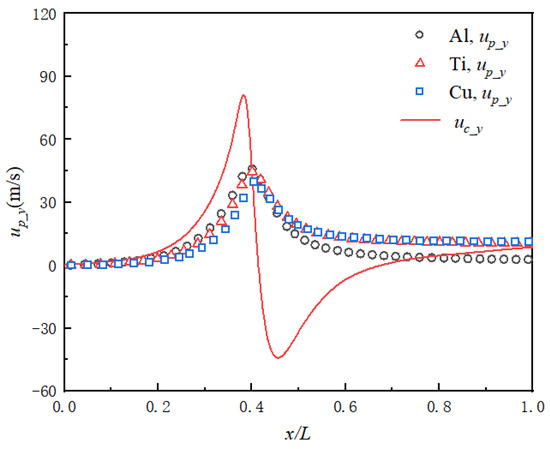
5.2. Distributions of Non-Spherical Submicron Particle Velocity
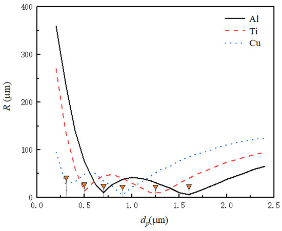
5.3. Effect of the Diffusion of Submicron Particles
6. Conclusions
Author Contributions
Funding
Conflicts of Interest
References
- Pourfattah, F.; Sabzpooshani, M. Thermal management of a power electronic module employing a novel multi-micro nozzle liquid-based cooling system: A numerical study. Int. J. Heat Mass Transf. 2020, 147, 118928. [Google Scholar] [CrossRef]
- He, L.; Hassani, M. A review of the mechanical and tribological behavior of cold spray metal matrix composites. J. Therm. Spray Technol. 2020, 29, 1565–1608. [Google Scholar] [CrossRef]
- Kudryavtsev, A.; Shershnev, A.; Rybdylova, O. Numerical simulation of aerodynamic focusing of particles in supersonic micronozzles. Int. J. Multiph. Flow 2019, 114, 207–218. [Google Scholar] [CrossRef]
- Darbandi, M.; Roohi, E. Study of subsonic–supersonic gas flow through micro/nanoscale nozzles using unstructured DSMC solver. Microfluid. Nanofluidics 2011, 10, 321–335. [Google Scholar] [CrossRef]
- Israel, G.W.; Gerhard, W.; Friedlander, S.K. High-speed beams of small particles. J. Colloid Interface Sci. 1967, 24, 330–337. [Google Scholar] [CrossRef]
- Liu, M.; Zhang, X.; Zhang, G.; Chen, Y. Study on micronozzle flow and propulsion performance using DSMC and continuum methods. Acta Mech. Sin. 2006, 22, 409–416. [Google Scholar] [CrossRef]
- Cao, C.; Han, T.; Xu, Y.; Li, W.; Yang, X.; Hu, K. The associated effect of powder carrier gas and powder characteristics on the optimal design of the cold spray nozzle. Surf. Eng. 2020, 36, 1081–1089. [Google Scholar] [CrossRef]
- Akhatov, I.S.; Hoey, J.M.; Thompson, D.; Lutfurakhmanov, A.; Mahmud, Z.; Swenson, O.F.; Schulz, D.L.; Osiptsov, A.N. Aerosol flow through a micro-capillary. Int. Conf. Micro/Nanoscale Heat Transf. 2009, 43895, 223–232. [Google Scholar]
- Bhattacharya, S.; Lutfurakhmanov, A.; Hoey, J.M.; Swenson, O.F.; Mahmud, Z.; Akhatov, I.S. Aerosol flow through a converging-diverging micro-nozzle. Nonlinear Eng. 2013, 2, 103–112. [Google Scholar] [CrossRef]
- Shershnev, A.; Kudryavtsev, A. Numerical simulation of particle beam focusing in a supersonic nozzle with rectangular cross-section. J. Phys. Conf. Ser. 2019, 1404, 012042. [Google Scholar] [CrossRef]
- Lin, W.; Zhang, P.; Lin, J. Flow and heat transfer property of Oldroyd-B-fluid-based nanofluids containing cylindrical particles in a pipe. Processes 2021, 9, 647. [Google Scholar] [CrossRef]
- Shi, R.; Lin, J.; Yang, H.; Yu, M. Distribution of non-spherical nanoparticles in turbulent flow of ventilation chamber considering fluctuating particle number density. Appl. Math. Mech. 2021, 42, 317–330. [Google Scholar] [CrossRef]
- Song, J.; Liu, J.; Chen, Q.; Li, K. Effect of the shape factor on the cold-spraying dynamic characteristics of sprayed particles. J. Therm. Spray Technol. 2017, 26, 1851–1858. [Google Scholar] [CrossRef]
- Ye, Y.; Tu, C.; Zhang, Z.; Xu, R.; Bao, F.; Lin, J. Deagglomeration of airborne nanoparticles in a decelerating supersonic round jet. Adv. Powder Technol. 2021, 32, 1488–1501. [Google Scholar] [CrossRef]
- Liu, M.; Peskin, R.L.; Muzzio, F.J.; Leong, C.W. Structure of the stretching field in chaotic cavity flows. AIChE J. 1994, 40, 1273–1286. [Google Scholar] [CrossRef]
- De Vanna, F.; Picano, F.; Benini, E. A sharp-interface immersed boundary method for moving objects in compressible viscous flows. Comput. Fluids 2020, 201, 104415. [Google Scholar] [CrossRef]
- Ambruş, V.E.; Sofonea, V. Half-range lattice Boltzmann models for the simulation of Couette flow using the Shakhov collision term. Phys. Rev. E 2018, 98, 063311. [Google Scholar] [CrossRef] [Green Version]
- Haider, A.; Levenspiel, O. Drag coefficient and terminal velocity of spherical and nonspherical particles. Powder Technol. 1989, 58, 63–70. [Google Scholar] [CrossRef]
- Rothe, D.E. Electron-beam studies of viscous flow in supersonic nozzles. AIAA J. 1971, 9, 804–811. [Google Scholar] [CrossRef]
- Liu, Z.M.; Zhang, T. Numerical investigation on gas flow in Laval micronozzle. J. Aerosp. Power 2009, 24, 1556–1563. [Google Scholar]
- Celik, I.B.; Ghia, U.; Roache, P.J.; Freitas, C.J. Procedure for estimation and reporting of uncertainty due to discretization in CFD applications. J. Fluids Eng. 2008, 130, 078001. [Google Scholar]
- Bao, F.; Hao, H.; Yin, Z.; Tu, C. Numerical study of nanoparticle deposition in a gaseous microchannel under the influence of various forces. Micromachines 2021, 12, 47. [Google Scholar] [CrossRef]
- Zhang, H.; Li, G.; An, X.; Ye, X.; Wei, G.; Yu, A. Numerical study on the erosion process of the low temperature economizer using computational fluid dynamics-discrete particle method. Wear 2020, 450, 203269. [Google Scholar] [CrossRef]
- Shershnev, A.; Kudryavtsev, A. Kinetic simulation of near field of plume exhausting from a plane micronozzle. Microfluid. Nanofluid. 2015, 19, 105–115. [Google Scholar] [CrossRef]
- Talbot, L.; Cheng, R.K.; Schefer, R.W.; Willis, D.R. Thermophoresis of particles in a heated boundary layer. J. Fluid Mech. 1980, 101, 737–758. [Google Scholar] [CrossRef] [Green Version]
- Lin, W.; Shi, R.; Lin, J. Distribution and deposition of cylindrical nanoparticles in a turbulent pipe flow. Appl. Sci. 2021, 11, 962. [Google Scholar] [CrossRef]
- Hu, X.; Lin, J.; Guo, Y.; Ku, X. Motion and equilibrium position of elliptical and rectangular particles in a channel flow of a power-law fluid. Powder Technol. 2021, 377, 585–596. [Google Scholar] [CrossRef]














| Authors | Particle Size | Method | Findings |
|---|---|---|---|
| Israel et al. [5] | 0.12–1.3 μm | Experiment | 1. Aerosol focusing is the result of the inertial effect. 2. Particle velocity is up to 190 m/s. |
| Akhatov et al. [8] | 100 μm | Experiment and a mathematical model | The Saffman force acting on aerosol particles becomes significant, causing a noticeable migration of particles toward the center line of the capillary. |
| Bhattacharya et al. [9] | 2–6 μm | CFD numerical simulation | 1. The influence of the Magnus force on 2 μm diameter particles can be ignored compared with the Saffman lift force. 2. A silver particle velocity of 600 m/s can be reached and the aerosol beam width is as thin as 50 µm. |
| Kudryavtsev et al. [3] | 0.05–5.0 μm | CFD numerical simulation | Particle beam collimation occurred in two different ranges of particle sizes for the plane-shaped and axisymmetrical nozzle. |
| Shershnev and Kudryavtsev [10] | 0.05–5.0 μm | CFD numerical simulation | Particle beam collimation occurred in two different ranges of particle sizes in the nozzle with a rectangular cross-section. |
| Particle Shape | Model | Shape Factor (Sf) | |
|---|---|---|---|
| Sphere | ![]() | 1 | |
| Cube | ![]() | 0.806 | |
| Disk-like | (h = r) | ![]() | 0.827 |
| (h = r/3) | 0.594 | ||
| (h = r/10) | 0.323 | ||
| Rod-like | (h = 3r) | ![]() | 0.86 |
| (h = 10r) | 0.691 | ||
| (h = 20r) | 0.580 | ||
Publisher’s Note: MDPI stays neutral with regard to jurisdictional claims in published maps and institutional affiliations. |
© 2021 by the authors. Licensee MDPI, Basel, Switzerland. This article is an open access article distributed under the terms and conditions of the Creative Commons Attribution (CC BY) license (https://creativecommons.org/licenses/by/4.0/).
Share and Cite
Wang, Y.; Shen, J.; Yin, Z.; Bao, F. Numerical Simulation of Non-Spherical Submicron Particle Acceleration and Focusing in a Converging–Diverging Micronozzle. Appl. Sci. 2022, 12, 343. https://doi.org/10.3390/app12010343
Wang Y, Shen J, Yin Z, Bao F. Numerical Simulation of Non-Spherical Submicron Particle Acceleration and Focusing in a Converging–Diverging Micronozzle. Applied Sciences. 2022; 12(1):343. https://doi.org/10.3390/app12010343
Chicago/Turabian StyleWang, Yanru, Jiaxin Shen, Zhaoqin Yin, and Fubing Bao. 2022. "Numerical Simulation of Non-Spherical Submicron Particle Acceleration and Focusing in a Converging–Diverging Micronozzle" Applied Sciences 12, no. 1: 343. https://doi.org/10.3390/app12010343
APA StyleWang, Y., Shen, J., Yin, Z., & Bao, F. (2022). Numerical Simulation of Non-Spherical Submicron Particle Acceleration and Focusing in a Converging–Diverging Micronozzle. Applied Sciences, 12(1), 343. https://doi.org/10.3390/app12010343




