Behavior of an Internally Confined Hollow Reinforced Concrete Column with a Polygonal Cross-Section
Abstract
1. Introduction
2. Analytical Model
2.1. Concrete Model
2.1.1. Failure Mode
2.1.2. Equilibrium in A Polygonal ICH RC Column
2.1.3. Stress-Strain Relation
2.2. Column Model
3. Verification
3.1. Comparison with the Experimental Results Obtained from References
3.2. Behavior of Polygonal ICH RC According to Parameters
3.2.1. Rectangular Cross-Section
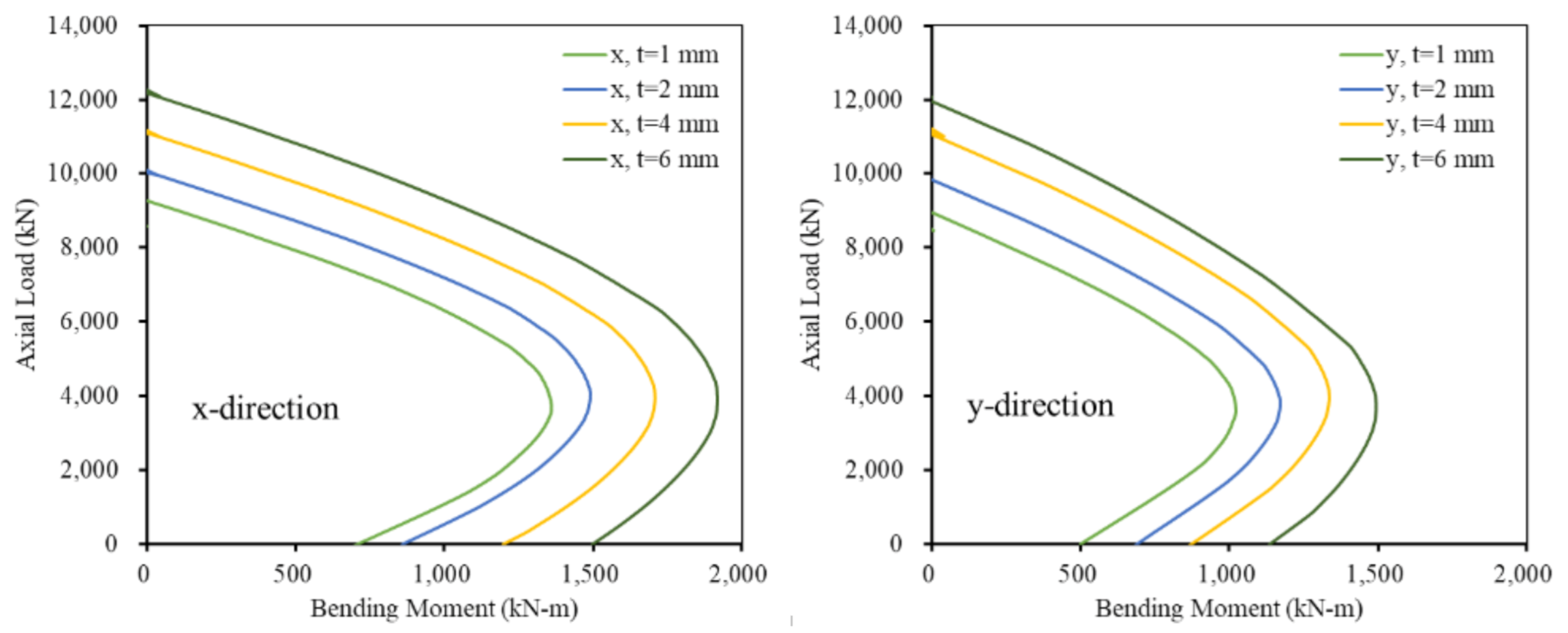
- Analysis of the axial load-bending moment
- Analysis of the lateral load-displacement
3.2.2. Square Cross-Section with Square Inner Tube
- Analysis of the axial load-bending moment
- Analysis of the lateral load-displacement
3.2.3. Square Cross-Section with Circular Inner Tube
- Analysis of the axial load-bending moment
- Analysis of lateral load-displacement
4. Conclusions
Author Contributions
Funding
Institutional Review Board Statement
Informed Consent Statement
Data Availability Statement
Conflicts of Interest
Nomenclature
| cross-sectional area of a transverse reinforcement | |
| length of confined core concrete in direction | |
| length of hollow section in direction | |
| distance between the neutral axis and the outer surface of the column | |
| distance between the neutral axis and the outer surface of the column at the th stage of the strain distribution | |
| diameter of hollow section | |
| length of confined core concrete in direction | |
| length of hollow section in direction | |
| diameter of transverse reinforcement | |
| diameter of longitudinal reinforcement | |
| modulus of elasticity of internal steel tube | |
| tangent modulus of unconfined concrete | |
| lateral force at the th stage of the strain distribution | |
| initial axial load | |
| buckling strength of the internal tube | |
| bending strength of the internal tube | |
| bending strength of the internal tube in direction | |
| bending strength of the internal tube in direction | |
| stress acting on concrete | |
| strength of unconfined concrete | |
| strength of confined concrete | |
| confined strength of concrete | |
| compression stress | |
| confining pressure | |
| effective constant lateral confining pressure | |
| confining stress on the concrete border | |
| effective constant lateral confining pressure on the concrete border | |
| confining stress on the concrete border in direction | |
| confining stress on the concrete border in direction | |
| smaller value between yield strength and buckling strength of the internal tube | |
| confining stress on the concrete body in direction | |
| confining stress on the concrete body in direction | |
| tension stress | |
| stress acting on the internal tube | |
| stress acting on the internal tube in direction | |
| stress acting on the internal tube in direction | |
| ultimate strength of the steel | |
| yield strength of the steel | |
| yield strength of the transverse reinforcement | |
| yield strength of the internal tube | |
| yield strength of the longitudinal reinforcement | |
| column height | |
| length of the plastic hinge | |
| reduction coefficient for the effective constant lateral confining pressure | |
| moment at the th stage of the strain distribution | |
| moment acting on the core concrete at the th stage of the strain distribution | |
| moment acting on the cover concrete at the th stage of the strain distribution | |
| moment acting on the longitudinal reinforcements at the th stage of the strain distribution | |
| moment acting on the internal tube at the th stage of the strain distribution | |
| nominal moment capacity of the column | |
| axial load at the th stage of the strain distribution | |
| axial load acting on the core concrete at the th stage of the strain distribution | |
| axial load acting on the cover concrete at the th stage of the strain distribution | |
| axial load acting on the longitudinal reinforcements at the th stage of the strain distribution | |
| axial load acting on the internal tube at the th stage of the strain distribution | |
| distance between transverse reinforcements | |
| length of each element | |
| thickness of the internal tube | |
| required minimal thickness of the internal tube to avoid its bending failure in direction | |
| required minimal thickness of the internal tube to avoid its bending failure in direction | |
| required minimal thickness of the internal tube to avoid its buckling failure | |
| required minimal thickness of the internal tube to avoid its shear failure in direction | |
| required minimal thickness of the internal tube to avoid its shear failure in direction | |
| displacement by the th curvature element at the th stage of the strain distribution | |
| axial strain of concrete | |
| axial strain of concrete at its peak strength | |
| axial strain of unconfined concrete at its peak strength | |
| ultimate strain of the concrete | |
| strain at left end of the column | |
| strain at right end of the column | |
| ultimate strain of the steel | |
| yield strain of the steel | |
| angle by the th curvature element at the th stage of the strain distribution | |
| curvature of the column at the th stage of the strain distribution |
References
- Gabel, J.; Shehadi, A. CTBUH Year in Review: Tall Trends of 2016: 2016 Another Record-Breaker for Skyscraper Completions; 18 “Tallest Titles” Bestowed. CTBUH J. 2017, 1, 38–45. [Google Scholar]
- Tailor, A.; Dalal, S.P.; Desai, A.K. Comparative performance evaluation of steel column building & concrete filled tube column building under static and dynamic loading. Procedia Eng. 2017, 173, 1847–1853. [Google Scholar]
- Elshaer, A.; Bitsuamlak, G.T.; Damatty, A.E. Enhancing wind performance of tallbuildings using corner aerodynamic optimization. Eng. Struct. 2017, 136, 133–148. [Google Scholar]
- Bai, Y.; Wang, J.; Liu, Y.; Lin, X. Thin-Walled CFST Columns for Enhancing Seismic Collapse Performance of High-Rise Steel Frames. Appl. Sci. 2017, 7, 53. [Google Scholar] [CrossRef]
- Monteiro, A.; Arede, A.; Pouca, N.V. Seismic behavior of coupled column bridge RC piers: Experimental campaign. Eng. Struct. 2017, 132, 399–412. [Google Scholar] [CrossRef]
- Guo, T.; Liu, J.; Huang, L. Investigation and control of excessive cumulative girder movements of long-span steel suspension bridges. Eng. Struct. 2016, 125, 217–226. [Google Scholar] [CrossRef]
- Sritharan, S. Wind turbine towers: Precast concrete hexcrete may help increase renewable energy capacity with taller hub height. PCI J. 2015, 60, 33–38. [Google Scholar] [CrossRef]
- Ma, Y.; Martinez-Vazquez, P.; Baniotopoulos, C. Wind turbine tower collapse cases: A historical overview. Proc. Inst. Civil Eng. Struct. Build. 2018, 172, 547–555. [Google Scholar] [CrossRef]
- Wind Turbine Collapses in Ocotillo. Available online: http://www.eastcountymagazine.org/wind-turbine-collapses-ocotillo (accessed on 15 October 2019).
- Wind Turbine Collapses in Haskell County. Available online: https://www.wind-watch.org/news/2014/12/16/wind-turbine-collapses-in-haskell-county/ (accessed on 13 October 2019).
- Han, T.H.; Lim, N.H.; Han, S.Y.; Park, J.S.; Kang, Y.J. Nonlinear concrete model for an internally confined hollow reinforced concrete column. Mag. Concrete Res. 2008, 60, 429–440. [Google Scholar] [CrossRef]
- Kim, S.; Kim, J.J.; Han, T.H. Section design of internally confined hollow reinforced concrete wind power tower. J. Korean Soc. Hazard Mitig. 2016, 16, 163–174. [Google Scholar] [CrossRef]
- Han, T.H.; Stallings, J.M.; Kang, Y.J. Behaviour of a hollow RC column with an internal tube. Mag. Concrete Res. 2010, 62, 25–38. [Google Scholar] [CrossRef]
- American Wood Council. Beam Design Formulas with Shear and Moment Diagrams; American Forest & Paper Association: Washington, DC, USA, 2007. [Google Scholar]
- Kerr, A.D.; Soifer, M.T. The linearization of the prebuckling state and its effect on the determined instability loads. J. Appl. Mech. 1969, 36, 775–783. [Google Scholar] [CrossRef]
- Mander, J.B.; Priestley, M.J.N.; Park, R. Seismic Design of Bridge Piers; Research Report No. 84-2; University of Canterbury: Christchurch, New Zealand, 1984. [Google Scholar]
- Popovics, S. A numerical approach to the complete stress–strain curves of concrete. Cem. Concr. Res. 1973, 3, 583–599. [Google Scholar] [CrossRef]
- Kilpatrick, A.E.; Ranagan, B.V. Deformation-Control Analysis of Composite Concrete Columns; Research Report No. 3/97; School of Civil Engineering, Curtin University of Technology: Perth, Australia, 1997. [Google Scholar]
- Yatsumoto, H.; Sakai, J.; Hoshikuma, J. Cyclic Loading Test of Reinforced Concrete Column with Hollow Section an High Longitudinal Steel Ratio under High Axial Loading. In Proceedings of the 28th U.S.-Japan Bridge Engineering Workshop, Portland, OR, USA, 8–10 October 2012. [Google Scholar]
- Ko, S.H. Seismic performance of square RC column confined with spirals. JKSMI 2012, 16, 88–97. [Google Scholar]
- Seo, S.Y.; Yoon, S.J.; Lee, W.J. Evaluation of structural performance the hollow PC column joint subjected to cyclic lateral load. J. Korea Concr. Inst. 2008, 20, 335–343. [Google Scholar]
- Ang, B.G. Ductility of Reinforced Concrete Bridge Piers under Seismic Loading. Master’s Thesis, University of Canterbury, Christchurch, New Zealand, 1981. [Google Scholar]
- Ohno, T.; Nishioka, T. An experimental study on energy absorption capacity of columns in reinforced concrete structures. Doboku Gakkai Ronbunshu 1984, 1, 137–147. [Google Scholar] [CrossRef]

























Case 01![]() (975 × 730 mm/ 375 × 430 mm) | Case 02![]() (400 mm/ 200 mm) | Case 03![]() (450 mm/ 350 mm) | Case 04![]() (400 mm) | Case 05![]() (400 mm) | |||||||
|---|---|---|---|---|---|---|---|---|---|---|---|
| (mm) | 10 | 6.05 | 10 | 12 | 9 | ||||||
| (mm) | 16 | 13 | 16 | 16 | 19 | ||||||
| (mm) | 40 | 124 | 90 | 100 | 100 | ||||||
| (MPa) | 56.8 | 25.0 | 40.0 | 23.6 | 24.8 | ||||||
| (MPa) | 421 | 421 | 434 | 320 | 325 | ||||||
| (MPa) | 482 | 482 | 429 | 427 | 362 | ||||||
| (mm) | 4200 | 1800 | 1600 | 1600 | 1600 | ||||||
| (kN) | 1880 | 100 | 400 | 1435 | 157 | ||||||
| Exp. (kN) | Anal. (kN) | 1081 | 1040 | 184 | 177 | 213 | 243 | 192 | 196 | 115 | 124 |
| Ratio (Exp./Anal.) | 1.04 | 1.04 | 0.87 | 0.98 | 0.93 | ||||||
| Cross-Section | Properties | |
|---|---|---|
![]() | (mm) | 13 |
| (mm) | 19 | |
| (mm) | 50 | |
| (MPa) | 20, 25, 30 | |
| (mm) | 1, 2, 4, 6 | |
| (MPa) | 237.6 | |
| (MPa) | 237.6 | |
| (mm) | 2500 | |
| Cross-Section | Properties | |
|---|---|---|
![]() | (mm) | 13 |
| (mm) | 19 | |
| (mm) | 50 | |
| (MPa) | 20, 25, 30 | |
| (mm) | 1, 2, 4, 6 | |
| (MPa) | 237.6 | |
| (MPa) | 237.6 | |
| (mm) | 2500 | |
| Cross-Section | Properties | |
|---|---|---|
![]() | (mm) | 13 |
| (mm) | 19 | |
| (mm) | 50 | |
| (MPa) | 20, 25, 30 | |
| (mm) | 1, 2, 4, 6 | |
| (MPa) | 237.6 | |
| (MPa) | 237.6 | |
| (mm) | 2500 | |
Publisher’s Note: MDPI stays neutral with regard to jurisdictional claims in published maps and institutional affiliations. |
© 2021 by the authors. Licensee MDPI, Basel, Switzerland. This article is an open access article distributed under the terms and conditions of the Creative Commons Attribution (CC BY) license (https://creativecommons.org/licenses/by/4.0/).
Share and Cite
Kim, S.; Hong, H.; Han, T. Behavior of an Internally Confined Hollow Reinforced Concrete Column with a Polygonal Cross-Section. Appl. Sci. 2021, 11, 4302. https://doi.org/10.3390/app11094302
Kim S, Hong H, Han T. Behavior of an Internally Confined Hollow Reinforced Concrete Column with a Polygonal Cross-Section. Applied Sciences. 2021; 11(9):4302. https://doi.org/10.3390/app11094302
Chicago/Turabian StyleKim, Sungwon, Hyemin Hong, and Taekhee Han. 2021. "Behavior of an Internally Confined Hollow Reinforced Concrete Column with a Polygonal Cross-Section" Applied Sciences 11, no. 9: 4302. https://doi.org/10.3390/app11094302
APA StyleKim, S., Hong, H., & Han, T. (2021). Behavior of an Internally Confined Hollow Reinforced Concrete Column with a Polygonal Cross-Section. Applied Sciences, 11(9), 4302. https://doi.org/10.3390/app11094302









