Study on the Effect of Grinding Pressure on Material Removal Behavior Performed on a Self-Designed Passive Grinding Simulator
Abstract
1. Introduction
2. Materials and Methods
2.1. Self-Designed Passive Grinding Simulator
2.2. Experimental Materials
2.3. Grinding Test
3. Results
3.1. Grinding Efficiency and Grinding Ratio
3.2. Morphology and Roughness of Rail Surface Grinding Zone
3.3. Residual Stress on Rail Surface
3.4. Wear Morphologies of Grinding Wheels
3.5. Grinding Force
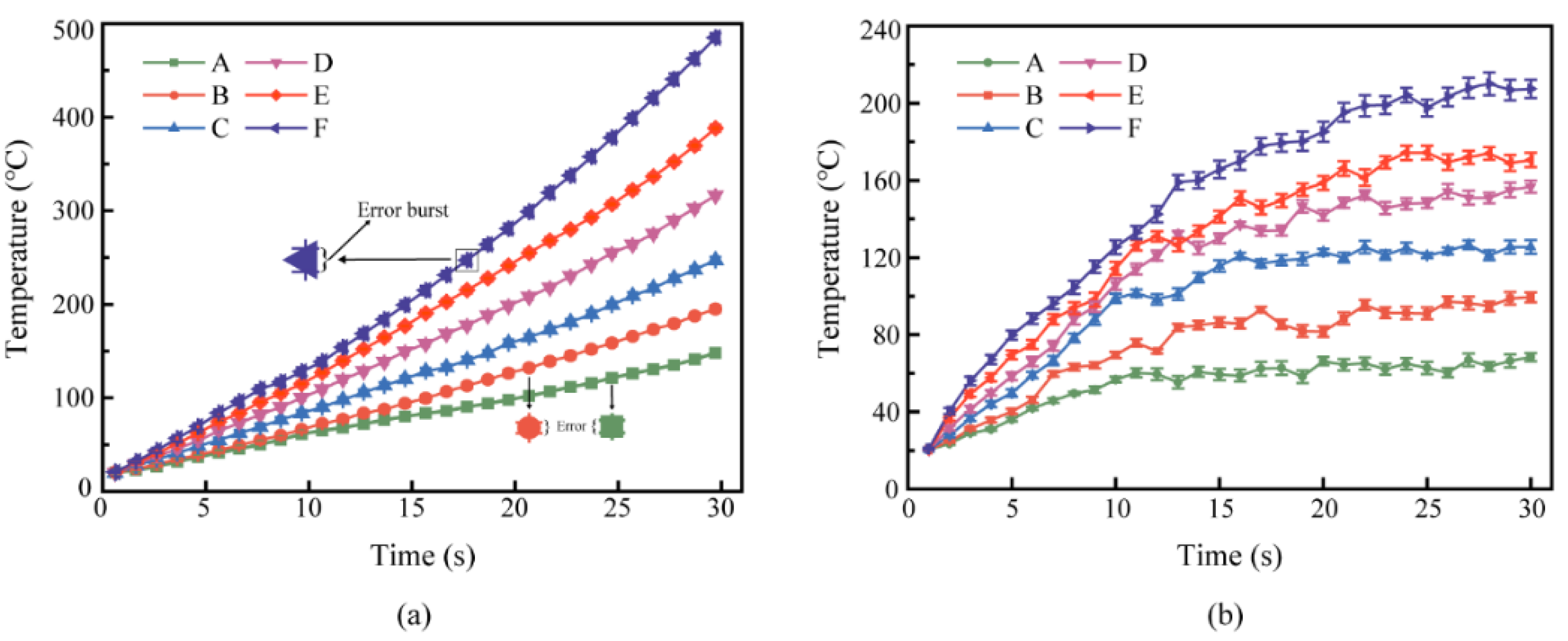
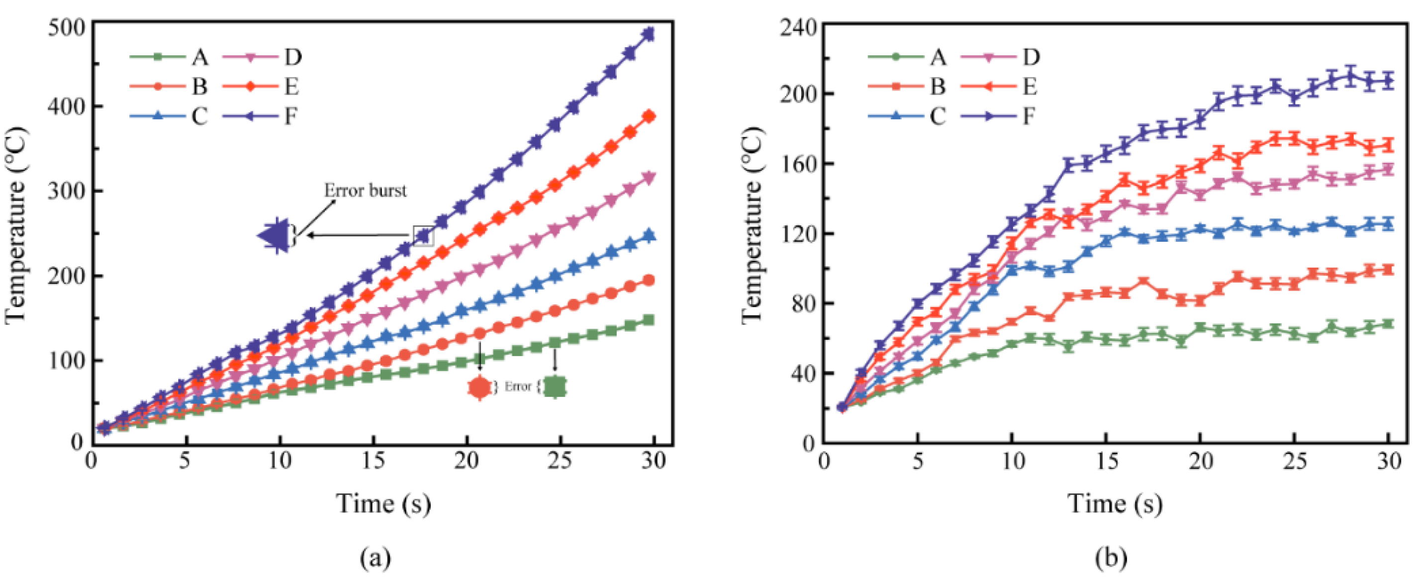
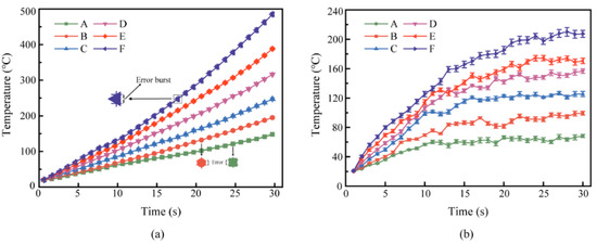
3.6. Grinding Temperature
3.7. Grinding Debris
4. Discussion
5. Conclusions
- (1)
- The increase in passive grinding pressure load will improve the grinding efficiency but will reduce the service life of the grinding wheel and increase the residual stress on the rail surface. Too low grinding load cannot completely remove defects on the rail surface, and excessive grinding load will cause rail wear and lead to rail maintenance quality degradation. According to the calculation of the experimental results, the passive grinding effect is best when the grinding load is in the range of 2000~2400 N under actual working conditions.
- (2)
- Through the analysis of grinding force in passive grinding, it is found that the grinding depth will deepen with the increase of grinding pressure load, which will enhance the grinding force. For every 40 N increase in load on a single grinding wheel in the test, the grinding force increases by about 10 N.
- (3)
- The maximum surface temperature of the rail was below 500 °C after the grinding wheel continued to passively grind the rail for 30 s in the test. Due to the characteristics of high speed, passive grinding does not make it easy to burn the rail surface at suitable grinding pressure loads.
- (4)
- The hollow spherical melt debris accounts for the majority of grinding debris and contains a large amount of oxygen, which is the main component of the spark produced by grinding. The distinction in debris morphology and composition reflects the influence of grinding pressure load on the passive grinding process.
Author Contributions
Funding
Institutional Review Board Statement
Informed Consent Statement
Data Availability Statement
Conflicts of Interest
Nomenclature
| OM | optical microscope |
| SEM | scanning electron microscope |
| XRD | X-Ray Diffraction |
| lc | contact arc length |
| αp | depth of cut (grinding depth) |
| d | equivalent diameter of grinding wheel |
| Qw | removal rate of rail |
| Qs | wear of grinding wheel |
| K | removal coefficient |
| qs | sensitivity of abrasive wear of grinding wheel |
| vs | linear velocity of grinding wheel |
| Fn | grinding pressure |
| Ft | grinding force |
| θ | deflection angle of grinding wheel |
| Fp | grinding forces on unit cutting area |
| α | half-angle of the cone at the top of the abrasive grain |
| vw | linear velocity of rail |
| N | the number of abrasive grains involved in grinding per unit width |
| μ | friction coefficient |
| δ | actual contact area between the rail and the abrasive grains |
| average contact pressure between the actual wear surface of the abrasive grains and the rail | |
| b | grinding width |
| E* | equivalent elastic modulus |
| θm | maximum resulting heating value |
| q | energy input per unit area of the grinding area flowing to the grinding target |
| σ | thermal diffusivity |
| thermal conductivity | |
| vw’ | relative movement speed of rail (speed of grinding train) |
References
- Satoh, Y.; Iwafuchi, K. Effect of rail grinding on rolling contact fatigue in railway rail used in conventional line in Japan. Wear 2008, 265, 1342–1348. [Google Scholar] [CrossRef]
- Ishida, M.; Akama, M.; Kashiwaya, K.; Kapoor, A. The current status of theory and practice on rail integrity in Japanese railways—Rolling contact fatigue and corrugations. Fatigue Fract. Eng. Mater. Struct. 2010, 26, 909–919. [Google Scholar] [CrossRef]
- Tyfour, W.R. Predicting the Effect of Grinding Corrugated Rail Surface on the Wear Behavior of Pearlitic Rail Steel. Tribol. Lett. 2008, 29, 229–234. [Google Scholar] [CrossRef]
- Cuervo, P.A.; Santa, J.F.; Toro, A. Correlations between wear mechanisms and rail grinding operations in a commercial railroad. Tribol. Int. 2015, 82, 265–273. [Google Scholar] [CrossRef]
- Singleton, R.; Marshall, M.B.; Lewis, R.; Evans, G. Rail grinding for the 21st century—Taking a lead from the aerospace industry. Proc. Inst. Mech. Eng. Part F J. Rail Rapid Transit 2014, 229, 457–465. [Google Scholar] [CrossRef]
- Magel, E.; Roney, M.; Kalousek, J.; Sroba, P. The blending of theory and practice in modern rail grinding. Fatigue Fract. Eng. Mater. Struct. 2010, 26, 921–929. [Google Scholar] [CrossRef]
- Grassie, S.L. Rolling contact fatigue on the British railway system: Treatment. Wear 2005, 258, 1310–1318. [Google Scholar] [CrossRef]
- Dlest, K.V. Preventive grinding to combat rolling contact fatigue. Railw. Gaz. Int. 2011, 167, 32–34. [Google Scholar]
- Stanford, J. Preventive-Gradual Rail Grinding Pays Dividends. Int. Railw. J. Rapid Transit Rev. 2000, 40, 25–26. [Google Scholar]
- Li, H.; Tang, S. Experimental Study on the GMC96B Rail Grinding Train. Railw. Qual. Control 2011, 12, 38–44. (In Chinese) [Google Scholar]
- Zhou, K.; Ding, H.; Wang, R.; Yang, J.; Wang, W. Experimental investigation on material removal mechanism during rail grinding at different forward speeds. Tribol. Int. 2019, 143, 106040. [Google Scholar] [CrossRef]
- Von Diest, K.; Meyer, R. German turnouts get the high-speed grinding treatment. Int. Railw. J. 2016, 56, 36–38. [Google Scholar]
- Von Diest, K.; Beier, M. High-speed grinding is beneficial for noise abatement too. Rail Technol. Rev. 2012, 52, 40–44. [Google Scholar]
- Neto, A.C.; Diest, K.V.; Ferrarotti, G.; Kik, W. Wear Analysis of the High-Speed-Grinding Vehicle HSG-2: Validation, Simulation and Comparison with Measurements. In Dynamics of Vehicles on Roads and Tracks, Proceedings of the 25th International Symposium on Dynamics of Vehicles on Roads and Tracks (IAVSD 2017), Rockhampton, Australia, 14–18 August 2017; CRC Press: Boca Raton, FL, USA, 2018. [Google Scholar]
- Von Diest, K.; Puschel, A. High speed grinding—Railway noise reduction through regular rail grinding without traffic interruptions. In Proceedings of the INTER-NOISE and NOISE-CON Congress and Conference Proceedings, Innsbruck, Austria, 15 September 2013. [Google Scholar]
- Diest, K.; Beier, M. High Speed Grinding: Evolution einer etablierten Technik. Senbahntechnische Rundsch. 2015, 64, 54–57. [Google Scholar]
- Diest, K.V. High Speed Grinding: Schienenschleifen 2.0. Der Eisenb. 2010, 61, 30–32,34. [Google Scholar]
- Uhlmann, E.; Lypovka, P.; Hochschild, L.; SchrÖEr, N. Influence of rail grinding process parameters on rail surface roughness and surface layer hardness. Wear 2016, 287–293. [Google Scholar] [CrossRef]
- Zhang, W.; Zhang, P.; Zhang, J.; Fan, X.; Zhu, M. Probing the effect of abrasive grit size on rail grinding behaviors. J. Manuf. Process. 2020, 53, 388–395. [Google Scholar] [CrossRef]
- Wang, R.X.; Zhou, K.; Yang, J.Y.; Ding, H.H.; Wang, W.J.; Guo, J.; Liu, Q.Y. Effects of abrasive material and hardness of grinding wheel on rail grinding behaviors. Wear 2020, 454–455, 203332. [Google Scholar] [CrossRef]
- Wu, H.; Xiao, B.; Xiao, H.; Zhang, Y.; Dou, L. Study on wear characteristics of brazed diamond sheet for rail’s composite grinding wheel under different pressures. Wear 2019, 424–425, 183–192. [Google Scholar] [CrossRef]
- Pereverzev, P.P.; Pimenov, D.Y. A grinding force model allowing for dulling of abrasive wheel cutting grains in plunge cylindrical grinding. J. Frict. Wear 2016, 37, 60–65. [Google Scholar] [CrossRef]
- Zhang, S.; Zhou, K.; Ding, H.; Guo, J.; Liu, Q.; Wang, W. Effects of Grinding Passes and Direction on Material Removal Behaviours in the Rail Grinding Process. Materials 2018, 11, 2293. [Google Scholar] [CrossRef]
- Zhe, H.; Li, J.; Liu, Y.; Meng, N.; Fan, W. Investigating the effects of contact pressure on rail material abrasive belt grinding performance. Int. J. Adv. Manuf. Technol. 2017, 93, 779–786. [Google Scholar] [CrossRef]
- Lu, Z.W. Selection of rail materials for high-speed railway. China Railw. 2004, 10, 35–38. (In Chinese) [Google Scholar]
- Malkin, S. Grinding technology: Theory and Applications of Machining with Abrasives; Society of Manufacturing Engineers: Southfield, MI, USA, 1989. [Google Scholar] [CrossRef]
- Meng, N.; Jianyong, L.; Haikuo, S.; Shaodan, Z. Study on Reducing the Grinding Pressure Fluctuation on Rail Grinding Train. Adv. Inf. Sci. Serv. Sci. 2013, 5, 932–939. [Google Scholar]
- Termite, L.; Grüner, L.; Diest, K.V. Grindstone Assembly with Minimal Resulting Momentum and Power. EP2390415A1, 29 April 2015. [Google Scholar]
- Zhang, Y.; Li, C.; Ji, H.; Yang, X.; Yang, M.; Jia, D.; Zhang, X.; Li, R.; Wang, J. Analysis of grinding mechanics and improved predictive force model based on material-removal and plastic-stacking mechanisms. Int. J. Mach. Tools Manuf. 2017, 122, 81–97. [Google Scholar] [CrossRef]
- Ding, Z.; Li, B.; Liang, S.Y. Phase transformation and residual stress of Maraging C250 steel during grinding. Mater. Lett. 2015, 154, 37–39. [Google Scholar] [CrossRef]
- Cao, Y.J.; Sun, J.Q.; Ma, F.; Chen, Y.Y.; Cheng, X.Z.; Gao, X.; Xie, K. Effect of the microstructure and residual stress on tribological behavior of induction hardened GCr15 steel. Tribol. Int. 2017, 115, 108–115. [Google Scholar] [CrossRef]
- Chen, X.; Rowe, W.B.; Mccormack, D.F. Analysis of the transitional temperature for tensile residual stress in grinding. J. Mater. Process. Technol. 2000, 107, 216–221. [Google Scholar] [CrossRef]
- Balart, M.J.; Bouzina, A.; Edwards, L.; Fitzpatrick, M.E. The onset of tensile residual stresses in grinding of hardened steels. Mater. Sci. Eng. A Struct. Mater. 2004, 367, 132–142. [Google Scholar] [CrossRef]
- Lin, B.; Zhou, K.; Guo, J.; Liu, Q.Y.; Wang, W.J. Influence of grinding parameters on surface temperature and burn behaviors of grinding rail. Tribol. Int. 2018, 122, 151–162. [Google Scholar] [CrossRef]
- ÖSterle, W.; Li, P.X.; Nolze, G. Influence of surface finishing on residual stress depth profiles of a coarse-grained nickel-base superalloy. Mater. Sci. Eng. A 1999, 262, 308–311. [Google Scholar] [CrossRef]
- Zhou, K.; Ding, H.H.; Wang, W.J.; Wang, R.X.; Guo, J.; Liu, Q.Y. Influence of grinding pressure on removal behaviours of rail material. Tribol. Int. 2019, 134, 417–426. [Google Scholar] [CrossRef]















| Elemental | C | Si | Mn | P | S | V | Nb |
|---|---|---|---|---|---|---|---|
| 0.65–0.76 | 0.15–0.58 | 0.70–1.20 | ≤0.035 | ≤0.030 | 0.030 | ≤0.010 |
| Steel Material | Tensile Strength σb (MPa) | Elongation Rate δ (%) | Fracture Toughness KIC (Mpa·m1/2) | Hardness (HB) |
|---|---|---|---|---|
| U71Mn | ≥880 | ≥10 | ≥26 | 260–300 |
| Grinding Wheel Type | Hot Pressed Resin Grinding Wheel |
|---|---|
| Abrasive | fused alumina zirconia, brown fused alumina, ceramics corundum abrasives |
| Abrasive size | 14–60 mesh |
| Binder | high toughness heat-resistant resin |
Publisher’s Note: MDPI stays neutral with regard to jurisdictional claims in published maps and institutional affiliations. |
© 2021 by the authors. Licensee MDPI, Basel, Switzerland. This article is an open access article distributed under the terms and conditions of the Creative Commons Attribution (CC BY) license (https://creativecommons.org/licenses/by/4.0/).
Share and Cite
Liu, P.-Z.; Zou, W.-J.; Peng, J.; Song, X.-D.; Xiao, F.-R. Study on the Effect of Grinding Pressure on Material Removal Behavior Performed on a Self-Designed Passive Grinding Simulator. Appl. Sci. 2021, 11, 4128. https://doi.org/10.3390/app11094128
Liu P-Z, Zou W-J, Peng J, Song X-D, Xiao F-R. Study on the Effect of Grinding Pressure on Material Removal Behavior Performed on a Self-Designed Passive Grinding Simulator. Applied Sciences. 2021; 11(9):4128. https://doi.org/10.3390/app11094128
Chicago/Turabian StyleLiu, Peng-Zhan, Wen-Jun Zou, Jin Peng, Xu-Dong Song, and Fu-Ren Xiao. 2021. "Study on the Effect of Grinding Pressure on Material Removal Behavior Performed on a Self-Designed Passive Grinding Simulator" Applied Sciences 11, no. 9: 4128. https://doi.org/10.3390/app11094128
APA StyleLiu, P.-Z., Zou, W.-J., Peng, J., Song, X.-D., & Xiao, F.-R. (2021). Study on the Effect of Grinding Pressure on Material Removal Behavior Performed on a Self-Designed Passive Grinding Simulator. Applied Sciences, 11(9), 4128. https://doi.org/10.3390/app11094128

