The CIPCA-BPNN Failure Prediction Method Based on Interval Data Compression and Dimension Reduction
Abstract
1. Introduction
2. Methods
2.1. Interval Data
2.2. CIPCA
2.3. BPNN
3. Application
3.1. Flight Data of UAV
3.2. Compression Based on Flight Data
3.3. Dimensional Reduction of Flight Data Based on CIPCA
3.4. Fault Prediction of UAV Based on CIPCA-BP
4. Experiments Description
4.1. Data
4.2. Experiments
4.2.1. Data Compression
4.2.2. Dimension Reduction
4.2.3. Fault Prediction
5. Results
5.1. Data Compression
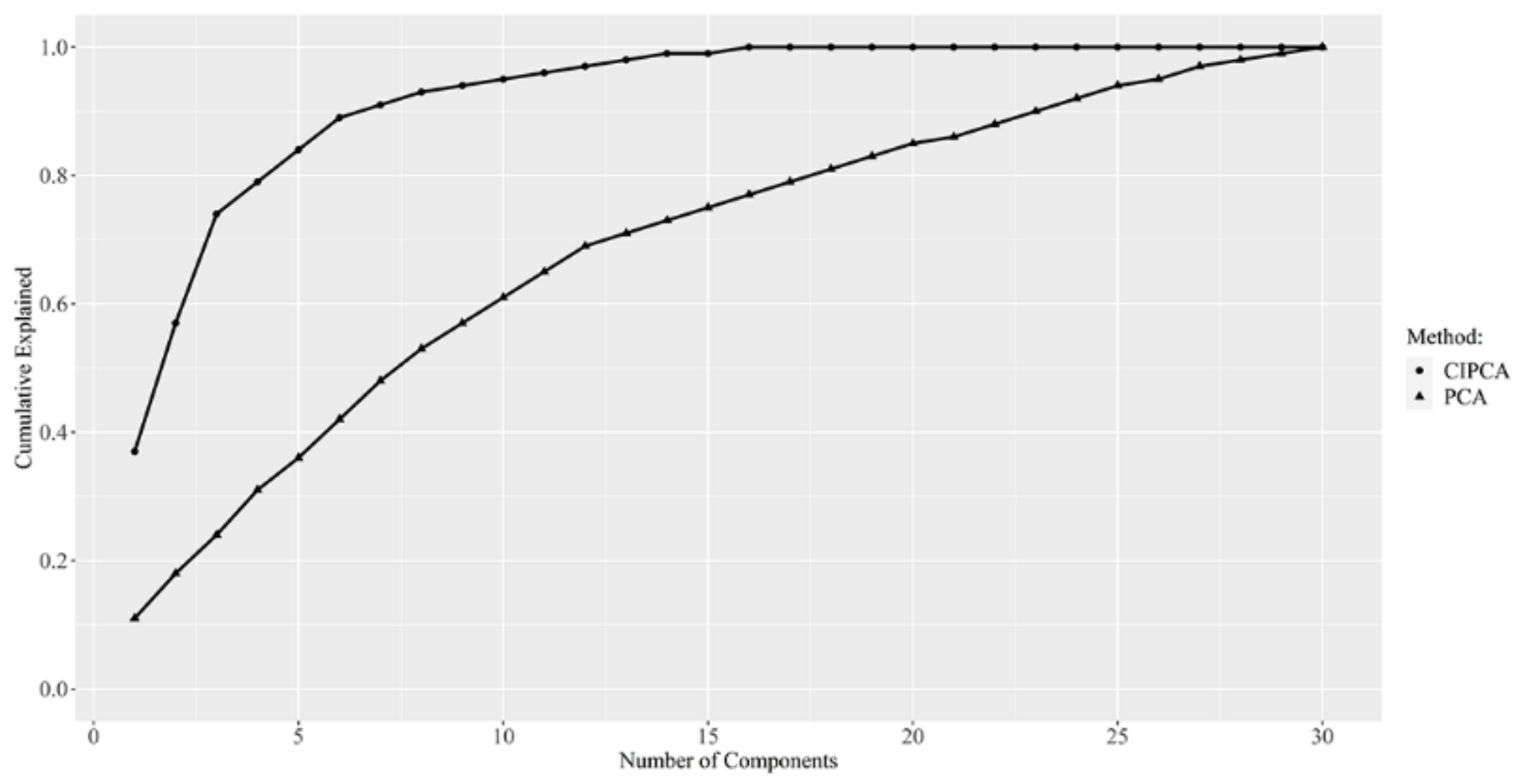
5.2. Dimension Reduction
5.3. Fault Prediction
6. Conclusions
Author Contributions
Funding
Institutional Review Board Statement
Informed Consent Statement
Data Availability Statement
Acknowledgments
Conflicts of Interest
References
- Snooke, N.; Price, C. Automated FMEA based diagnostic symptom generation. Adv. Eng. Inform. 2012, 26, 870–888. [Google Scholar] [CrossRef][Green Version]
- Xue, P.; Jin, G.; Lu, L.; Tan, L.; Ning, J. The Key Technology And Simulation Of UAV Flight Monitoring System. In Proceedings of the 2016 IEEE Advanced Information Management, Communicates, Electronic and Automation Control Conference (IMCEC), Xi’an, China, 3–5 October 2016; pp. 1551–1557. [Google Scholar]
- Ashokkumar, C.R.; York, G.W.P. Unmanned Aerial Vehicle Flight Control Evaluations Under Sensor and Actuator Faults. J. Intell. Robot. Syst. 2017, 88, 437–447. [Google Scholar] [CrossRef]
- Kiyak, E.; Unal, G.; Ozer, N.F. Performance monitoring and analysis of various parameters for a small UAV turbojet engine. Aircr. Eng. Aerosp. Technol. 2018, 90, 779–787. [Google Scholar] [CrossRef]
- Gong, S.; Meng, S.; Wang, B.; Liu, D. Hardware-In-the-Loop Simulation of UAV for Fault Injection. In Proceedings of the 2019 Prognostics and System Health Management Conference, Qingdao, China, 25–27 October 2019. [Google Scholar]
- Kenmogne, I.-F.; Drevelle, V.; Marchand, E. Image-based UAV localization using Interval Methods. In Proceedings of the 2017 IEEE/Rsj International Conference on Intelligent Robots and Systems, Vancouver, BC, Canada, 24–28 September 2017; pp. 5285–5291. [Google Scholar]
- Mao, W.; He, L.; Yan, Y.; Wang, J. Online sequential prediction of bearings imbalanced fault diagnosis by extreme learning machine. Mech. Syst. Signal Process. 2017, 83, 450–473. [Google Scholar] [CrossRef]
- Deng, W.; Yao, R.; Zhao, H.; Yang, X.; Li, G. A novel intelligent diagnosis method using optimal LS-SVM with improved PSO algorithm. Soft Comput. 2019, 23, 2445–2462. [Google Scholar] [CrossRef]
- Qiu, G.; Gu, Y.; Chen, J. Selective health indicator for bearings ensemble remaining useful life prediction with genetic algorithm and Weibull proportional hazards model. Measurement 2020, 150. [Google Scholar] [CrossRef]
- Zhou, Y.; Arghandeh, R.; Spanos, C.J. Partial Knowledge Data-Driven Fvent Detection for Power Distribution Networks. IEEE Trans. Smart Grid 2018, 9, 5152–5162. [Google Scholar] [CrossRef]
- Chen, Z.; Wu, L.; Cheng, S.; Lin, P.; Wu, Y.; Lin, W. Intelligent fault diagnosis of photovoltaic arrays based on optimized kernel extreme learning machine and I-V characteristics. Appl. Energy 2017, 204, 912–931. [Google Scholar] [CrossRef]
- Yousefi, P.; Fekriazgomi, H.; Demir, M.A.; Prevost, J.J.; Jamshidi, M. Data-driven Fault Detection of Un-manned Aerial Vehicles Using Supervised Learning Over Cloud Networks. In Proceedings of the 2018 World Automation Congress, Stevenson, WA, USA, 3–6 June 2018; pp. 115–120. [Google Scholar]
- Liu, W.Y.; Han, J.G.; Jiang, J.L. A novel ball bearing fault diagnosis approach based on auto term window method. Measurement 2013, 46, 4032–4037. [Google Scholar] [CrossRef]
- Lei, Y.; Lin, J.; He, Z.; Zuo, M.J. A review on empirical mode decomposition in fault diagnosis of rotating machinery. Mech. Syst. Signal Process. 2013, 35, 108–126. [Google Scholar] [CrossRef]
- Mao, W.; Feng, W.; Liang, X. A novel deep output kernel learning method for bearing fault structural diagnosis. Mech. Syst. Signal Process. 2019, 117, 293–318. [Google Scholar] [CrossRef]
- Huang, N.E.; Shen, Z.; Long, S.R.; Wu, M.C.; Shih, H.H.; Zheng, Q.; Yen, N.-C.; Tung, C.C.; Liu, H.H. The empirical mode decomposition and the Hilbert spectrum for nonlinear and non-stationary time series analysis. Proc. R. Soc. Lond. Ser. A Math. Phys. Eng. Sci. 1998, 454, 903–995. [Google Scholar] [CrossRef]
- Liu, H.; Han, M. A fault diagnosis method based on local mean decomposition and multi-scale entropy for roller bearings. Mech. Mach. Theory 2014, 75, 67–78. [Google Scholar] [CrossRef]
- Peng, Z.K.; Tse, P.W.; Chu, F.L. A comparison study of improved Hilbert-Huang transform and wavelet transform: Application to fault diagnosis for rolling bearing. Mech. Syst. Signal Process. 2005, 19, 974–988. [Google Scholar] [CrossRef]
- Lei, Y.; He, Z.; Zi, Y. Application of the EEMD method to rotor fault diagnosis of rotating machinery. Mech. Syst. Signal Process. 2009, 23, 1327–1338. [Google Scholar] [CrossRef]
- Wang, Y.; He, Z.; Zi, Y. A Comparative Study on the Local Mean Decomposition and Empirical Mode Decomposition and Their Applications to Rotating Machinery Health Diagnosis. J. Vib. Acoust. 2010, 132. [Google Scholar] [CrossRef]
- Su, Z.; Tang, B.; Liu, Z.; Qin, Y. Multi-fault diagnosis for rotating machinery based on orthogonal supervised linear local tangent space alignment and least square support vector machine. Neurocomputing 2015, 157, 208–222. [Google Scholar] [CrossRef]
- Tian, Y.; Ma, J.; Lu, C.; Wang, Z. Rolling bearing fault diagnosis under variable conditions using LMD-SVD and extreme learning machine. Mech. Mach. Theory 2015, 90, 175–186. [Google Scholar] [CrossRef]
- Li, C.; Sanchez, R.-V.; Zurita, G.; Cerrada, M.; Cabrera, D.; Vasquez, R.E. Gearbox fault diagnosis based on deep random forest fusion of acoustic and vibratory signals. Mech. Syst. Signal Process. 2016, 76–77, 283–293. [Google Scholar] [CrossRef]
- Wong, P.K.; Zhong, J.; Yang, Z.; Vong, C.M. Sparse Bayesian extreme learning committee machine for engine simultaneous fault diagnosis. Neurocomputing 2016, 174, 331–343. [Google Scholar] [CrossRef]
- Edwin, D.; Murthy, M.N. Symbolic Data Clustering; IGI Global: Hershey, PA, USA, 2005; pp. 1087–1091. [Google Scholar] [CrossRef]
- Wang, H.; Guan, R.; Wu, J. CIPCA: Complete-Information-based Principal Component Analysis for interval-valued data. Neurocomputing 2012, 86, 158–169. [Google Scholar] [CrossRef]
- Basha, N.; Nounou, M.; Nounou, H. Multivariate fault detection and classification using interval principal component analysis. J. Comput. Sci. 2018, 27, 1–9. [Google Scholar] [CrossRef]
- Ait-Izem, T.; Harkat, M.F.; Djeghaba, M.; Kratz, F. Sensor fault detection based on principal component analysis for interval-valued data. Qual. Eng. 2018, 30, 635–647. [Google Scholar] [CrossRef]
- Chakour, C.; Benyounes, A.; Boudiaf, M. Diagnosis of uncertain nonlinear systems using interval kernel principal components analysis: Application to a weather station. ISA Trans. 2018, 83, 126–141. [Google Scholar] [CrossRef]
- Harkat, M.F.; Mansouri, M.; Abodayeh, K.; Nounou, M.; Nounou, H. New sensor fault detection and isolation strategy-based interval-valued data. J. Chemom. 2020, 34. [Google Scholar] [CrossRef]
- Gueddi, I.; Nasri, O.; Ben Othman, K. A new interval diagnosis method: Application to the spacecraft rendezvous phase of the Mars sample return mission. Int. J. Adapt. Control Signal Process. 2020, 34, 42–62. [Google Scholar] [CrossRef]
- Cazes, P.; Douzal, A.; Diday, E.; Schektman, Y. Extensions de l’Analyse en Composantes Principales à des données de type intervalle. Rev. Stat. Appl. 1997, XIV, 5–24. [Google Scholar]
- Hertz, J.; Krough, A.; Flisberg, A.; Palmer, G.R. Introduction to the Theory of Neural Computation; CRC Press: Boca Raton, FL, USA, 1991; Volume 44. [Google Scholar]
- Wasserman, P. Advanced Methods in Neural Computing; John Wiley & Sons, Inc.: New York, NY, USA, 1993. [Google Scholar]
- Rumelhart, D.E.; Hinton, G.E.; Williams, R.J. Learning internal representations by error propagation. In Parallel Distributed Processing: Explorations in the Microstructure of Cognition, Vol. 1: Foundations; MIT Press: Cambridge, MA, USA, 1986; pp. 318–362. [Google Scholar]
- Rumelhart, D.E.; Hinton, G.E.; Williams, R.J. Learning representations by back-propagating errors. Nature 1986, 323, 533–536. [Google Scholar] [CrossRef]








| Stage | Number of Samples | Number of Faults | Number of Normal | Imbalanced Ratio | Number of Variables |
|---|---|---|---|---|---|
| Raw data | 253,885 | 16,471 | 237,414 | 14.41 | 56 |
| Data compression | 35,091 | 2973 | 32,118 | 10.80 | 56 |
| Dimension Reduction | 35,091 | 2973 | 32,118 | 10.80 | 5 |
| Number of Components | CIPCA | PCA | ||
|---|---|---|---|---|
| Proportion Explained | Cumulative Explained | Proportion Explained | Cumulative Explained | |
| 1 | 0.367 | 0.367 | 0.107 | 0.107 |
| 2 | 0.206 | 0.573 | 0.074 | 0.181 |
| 3 | 0.163 | 0.736 | 0.064 | 0.245 |
| 4 | 0.056 | 0.792 | 0.060 | 0.305 |
| 5 | 0.051 | 0.843 | 0.059 | 0.364 |
| 6 | 0.042 | 0.885 | 0.058 | 0.423 |
| 7 | 0.027 | 0.912 | 0.053 | 0.475 |
| 8 | 0.019 | 0.931 | 0.050 | 0.526 |
| Number of Hidden Neurons | CIPCA-BPNN | PCA-BPNN | ||||||||
|---|---|---|---|---|---|---|---|---|---|---|
| Accuracy | Precision | Recall | F1-Score | AUC | Accuracy | Precision | Recall | F1-Score | AUC | |
| 10 | 0.973 | 0.922 | 0.743 | 0.823 | 0.986 | 0.958 | 0.850 | 0.617 | 0.715 | 0.960 |
| 15 | 0.982 | 0.932 | 0.854 | 0.891 | 0.993 | 0.969 | 0.884 | 0.725 | 0.797 | 0.977 |
| 20 | 0.986 | 0.940 | 0.895 | 0.917 | 0.995 | 0.974 | 0.900 | 0.784 | 0.838 | 0.984 |
| 25 | 0.988 | 0.948 | 0.914 | 0.931 | 0.996 | 0.978 | 0.912 | 0.821 | 0.864 | 0.987 |
| 30 | 0.990 | 0.953 | 0.923 | 0.938 | 0.997 | 0.980 | 0.921 | 0.839 | 0.878 | 0.989 |
| 35 | 0.991 | 0.957 | 0.930 | 0.943 | 0.998 | 0.982 | 0.925 | 0.850 | 0.886 | 0.990 |
| 40 | 0.991 | 0.960 | 0.934 | 0.947 | 0.998 | 0.982 | 0.928 | 0.856 | 0.891 | 0.991 |
| 45 | 0.992 | 0.962 | 0.937 | 0.949 | 0.998 | 0.983 | 0.932 | 0.862 | 0.896 | 0.992 |
Publisher’s Note: MDPI stays neutral with regard to jurisdictional claims in published maps and institutional affiliations. |
© 2021 by the authors. Licensee MDPI, Basel, Switzerland. This article is an open access article distributed under the terms and conditions of the Creative Commons Attribution (CC BY) license (https://creativecommons.org/licenses/by/4.0/).
Share and Cite
Yang, L.; Jia, G.; Wei, F.; Chang, W.; Li, C.; Zhou, S. The CIPCA-BPNN Failure Prediction Method Based on Interval Data Compression and Dimension Reduction. Appl. Sci. 2021, 11, 3448. https://doi.org/10.3390/app11083448
Yang L, Jia G, Wei F, Chang W, Li C, Zhou S. The CIPCA-BPNN Failure Prediction Method Based on Interval Data Compression and Dimension Reduction. Applied Sciences. 2021; 11(8):3448. https://doi.org/10.3390/app11083448
Chicago/Turabian StyleYang, Linchao, Guozhu Jia, Fajie Wei, Wenbing Chang, Chen Li, and Shenghan Zhou. 2021. "The CIPCA-BPNN Failure Prediction Method Based on Interval Data Compression and Dimension Reduction" Applied Sciences 11, no. 8: 3448. https://doi.org/10.3390/app11083448
APA StyleYang, L., Jia, G., Wei, F., Chang, W., Li, C., & Zhou, S. (2021). The CIPCA-BPNN Failure Prediction Method Based on Interval Data Compression and Dimension Reduction. Applied Sciences, 11(8), 3448. https://doi.org/10.3390/app11083448

