Efficient Approximations for Optimization of N-Out-of-K Rule for Heterogeneous Cognitive Radio Networks
Abstract
1. Introduction
- We provide an effective approximation of the N-out-of-K rule for heterogeneous cognitive radio networks and give the closed-form solution of the detection probability and its corresponding false alarm probability. On this basis, the closed-form expression of the optimal sensing threshold for the N-out-of-K rule-based CSS scheme is obtained under the HCRN situation.
- Theoretical analysis is conducted on the approximation error and it is demonstrated that the approximation error is within the tolerance of the system.
- We conduct simulation experiments in the Rayleigh fading channel to validate our conclusions proposed in this paper.
2. Related Work
2.1. Motivation
2.2. System Model
3. Proposed Strategy
3.1. Main Contribution
3.2. Approximation Error Analysis
3.3. The Threats to Validity
3.4. Complexity Analysis
4. Simulation and Discussion
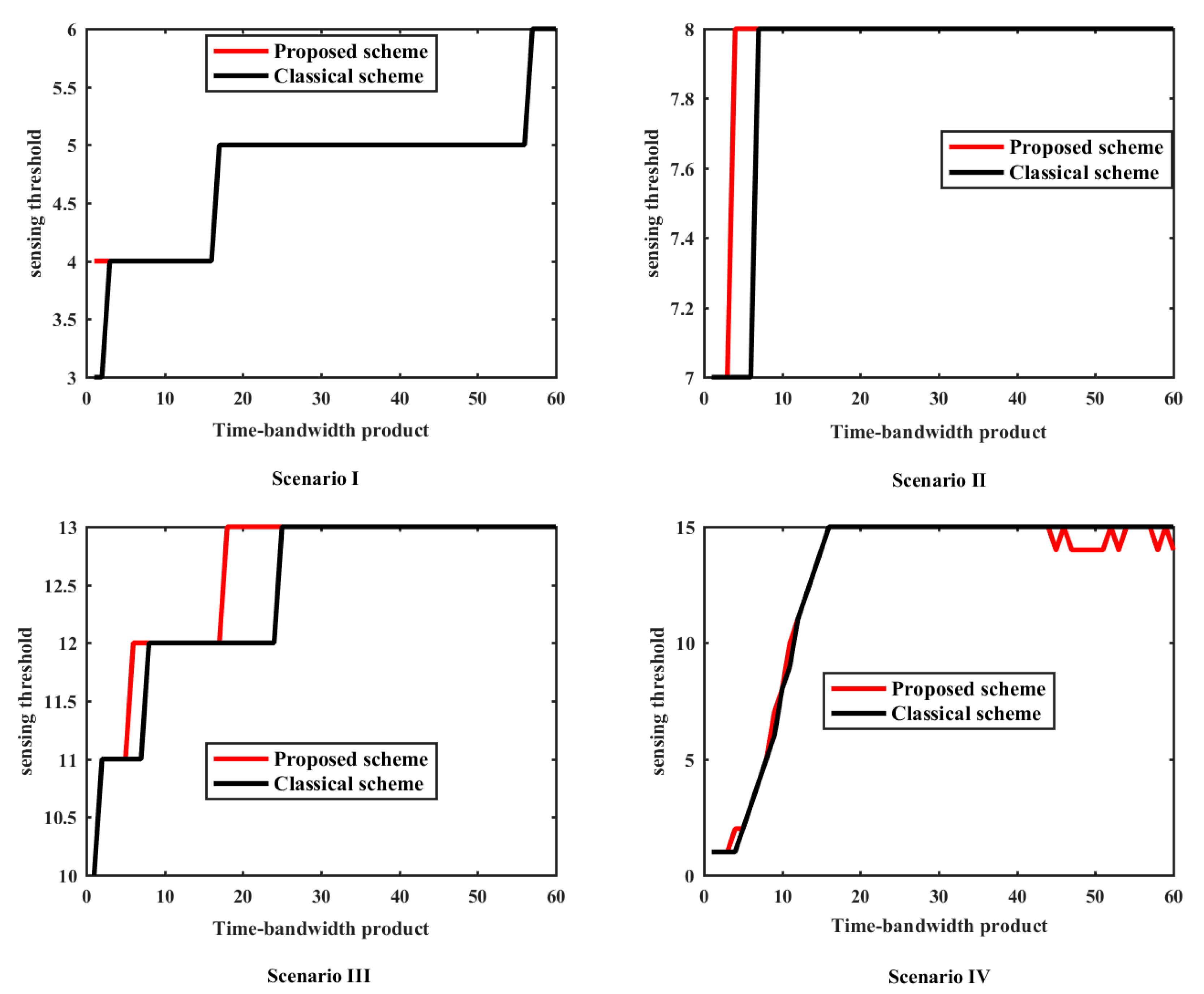
4.1. Simulation Results
- (1)
- Scenario I: The SUs make the decisions at the same sensing threshold and the sensing threshold, , is determined by minimizing the total error rate at the FC.
- (2)
- Scenario II: The sensing threshold of the SU,, is calculated by minimizing the total error rate.
- (3)
- Scenario III: is determined by minimizing the local false alarm probability while detection probability is above the minimum requirements of the CR system.
- (4)
- Scenario IV: All the SUs make the decision by the fixed threshold.
4.2. Analysis and Discussion
5. Conclusions
Author Contributions
Funding
Institutional Review Board Statement
Informed Consent Statement
Data Availability Statement
Conflicts of Interest
References
- Federal Communications Commission. Spectrum Policy Task Force Report; FCC Document ET Docket No. 02-155; Federal Communications Commission: Washington, DC, USA, 2002.
- Yu, H.; Bin Zikria, Y. Cognitive radio networks for internet of things and wireless sensor networks. Sensors 2020, 20, 5288. [Google Scholar] [CrossRef]
- Ahmed, B.S.; Bures, M.; Frajtak, K.; Cerny, T. Aspects of quality in internet of things (IoT) solutions: A systematic mapping study. IEEE Access 2019, 7, 13758–13780. [Google Scholar] [CrossRef]
- Javed, F.; Afzal, M.K.; Sharif, M.; Kim, B.-S. Internet of things (IoT) operating systems support, networking technologies, applications, and challenges: A comparative review. IEEE Commun. Surv. Tutorials 2018, 20, 2062–2100. [Google Scholar] [CrossRef]
- Rawat, P.; Singh, K.D.; Bonnin, J.M. Cognitive Radio for M2M and Internet of Things: A survey. Comput. Commun. 2016, 94, 1–29. [Google Scholar] [CrossRef]
- Stevenson, C.R.; Chouinard, G.; Lei, Z.; Hu, W.; Shellhammer, S.J.; Caldwell, W. IEEE 802.22: The first cognitive radio wireless regional area network standard. IEEE Commun. Mag. 2009, 47, 130–138. [Google Scholar] [CrossRef]
- Xie, R.; Yu, F.R.; Ji, H.; Li, Y. Energy-efficient resource allocation for heterogeneous cognitive radio networks with femtocells. IEEE Trans. Wirel. Commun. 2012, 11, 3910–3920. [Google Scholar]
- Ghasemi, A.; Sousa, E.S. Spectrum sensing in cognitive radio networks: Requirements, challenges and design trade-offs. IEEE Commun. Mag. 2008, 46, 32–39. [Google Scholar] [CrossRef]
- Wang, X.; Ekin, S.; Serpedin, E. Joint spectrum sensing and resource allocation in multi-band-multi-user cognitive radio networks. IEEE Trans. Commun. 2018, 66, 3281–3293. [Google Scholar] [CrossRef]
- Ren, J.; Hu, J.; Zhang, D.; Guo, H.; Zhang, Y.; Shen, X. RF energy harvesting and transfer in cognitive radio sensor networks: Opportunities and challenges. IEEE Commun. Mag. 2018, 56, 104–110. [Google Scholar] [CrossRef]
- Chen, Y.; Xiong, Y.; Wang, Q.; Yin, X.; Li, B. Ensuring minimum spectrum requirement in matching-based spectrum allocation. IEEE Trans. Mob. Comput. 2018, 17, 2028–2040. [Google Scholar] [CrossRef]
- Leaves, P.; Moessner, K.; Tafazolli, R.; Grandblaise, D.; Bourse, D.; Tonjes, R.; Breveglieri, M. Dynamic spectrum allocation in composite reconfigurable wireless networks. IEEE Commun. Mag. 2004, 42, 72–81. [Google Scholar] [CrossRef]
- Etkin, R.; Parekh, A.; Tse, D. Spectrum sharing for unlicensed bands. In Proceedings of the First IEEE International Symposium on New Frontiers in Dynamic Spectrum Access Networks, Dublin, Ireland, 17–20 April 2007. [Google Scholar]
- Ranjan, A.; Singh, B. Design and analysis of spectrum sensing in cognitive radio based on energy detection. In Proceedings of the International Conference on Signal and Information Processing, Vishnupuri, India, 6–8 October 2016; pp. 1–5. [Google Scholar]
- Ilyas, I.; Paul, S.; Rahman, A.; Kundu, R.K. Comparative evaluation of cyclostationary detection based cognitive spectrum sensing. In Proceedings of the Ubiquitous Computing, Electronics, and Mobile Communication Conference, New York, NY, USA, 20–22 October 2016; pp. 1–7. [Google Scholar]
- Zeng, Y.; Liang, Y.C. Spectrum-sensing algorithms for cognitive radio based on statistical covariances. IEEE Trans. Veh. Technol. 2009, 58, 1804–1815. [Google Scholar] [CrossRef]
- Ganesan, G.; Li, Y. Cooperative spectrum sensing in cognitive radio networks. In Proceedings of the IEEE International Symposium on New Frontiers in Dynamic Spectrum Access Networks, Baltimore, MD, USA, 8–11 November 2005. [Google Scholar]
- Digham, F.F.; Alouini, M.-S.; Simon, M.K. On the energy detection of unknown signals over fading channels. IEEE Trans. Commun. 2007, 55, 21–24. [Google Scholar] [CrossRef]
- Kozłowski, S. Implementation and verification of cyclostationary feature detector for DVB-T signals. IET Signal Process. 2016, 10, 162–167. [Google Scholar] [CrossRef]
- Jin, M.; Guo, Q.; Xi, J.; Li, Y.; Yu, Y.; Huang, D. Spectrum sensing using weighted covariance matrix in rayleigh fading channels. IEEE Trans. Veh. Technol. 2015, 64, 5137–5148. [Google Scholar] [CrossRef]
- Zhou, X.; Ma, J.; Li, G.Y.; Kwon, Y.H.; Soong, A.C. Probability-based combination for cooperative spectrum sensing. IEEE Trans. Commun. 2010, 58, 463–466. [Google Scholar] [CrossRef]
- Letaief, K.B.; Wei, Z. Cooperative spectrum sensing. In Cognitive Wireless Communication Networks; Springer: Berlin/Heidelberg, Germany, 1970. [Google Scholar]
- Li, Z.; Yu, F.R.; Huang, M.A. Distributed consensus-based cooperative spectrum-sensing scheme in cognitive radios. IEEE Trans. Veh. Technol. 2010, 59, 383–393. [Google Scholar]
- Banavathu, N.R.; Khan, M.Z.A. Optimization of N-out-of-K rule for heterogeneous cognitive radio networks. IEEE Signal Process. Lett. 2019, 26, 445–449. [Google Scholar] [CrossRef]
- Maleki, S.; Leus, G.; Chatzinotas, S.; Ottersten, B. To AND or to OR: On energy-efficient distributed spectrum sensing with combined censoring and sleeping. IEEE Trans. Wirel. Commun. 2015, 14, 4508–4521. [Google Scholar] [CrossRef]
- Umebayashi, K.; Lehtomaki, J.J.; Yazawa, T.; Suzuki, Y. Efficient decision fusion for cooperative spectrum sensing based on OR-rule. IEEE Trans. Wirel. Commun. 2012, 11, 2585–2595. [Google Scholar] [CrossRef]
- Nallagonda, S.; Bandari, S.K.; Roy, S.D. Cooperative spectrum sensing with censoring of cognitive radios in presence of log-normal shadowing under majority logic fusion. In Proceedings of the International Conference on Communications, Budapest, Hungary, 9–13 June 2013. [Google Scholar]
- Yang, G.; Wang, J.; Luo, J.; Wen, O.Y.; Li, H.; Li, Q.; Li, S. Cooperative spectrum sensing in heterogeneous cognitive radio networks based on normalized energy detection. IEEE Trans. Veh. Technol. 2016, 65, 1452–1463. [Google Scholar] [CrossRef]
- Mamidi, R.; Sundru, A. Throughput analysis in proposed cooperative spectrum sensing network with an improved energy detector scheme over rayleigh fading channel. AEU Int. J. Electron. Commun. 2017, 83, 416–426. [Google Scholar] [CrossRef]
- Al Hammadi, A.; Alhussein, O.; Sofotasios, P.C.; Muhaidat, S.; Al-Qutayri, M.; Al-Araji, S.; Liang, J. Unified analysis of cooperative spectrum sensing over composite and generalized fading channels. IEEE Trans. Veh. Technol. 2015, 65, 6949–6961. [Google Scholar] [CrossRef]
- Pandit, S.; Singh, G. Spectrum sensing in cognitive radio networks: Potential challenges and future perspective. In Spectrum Sharing in Cognitive Radio Networks; Springer: Berlin/Heidelberg, Germany, 2017. [Google Scholar]
- Peh, E.C.Y.; Liang, Y.C.; Guan, Y.L. Optimization of cooperative sensing in cognitive radio networks: A sensing-throughput tradeoff view. IEEE Trans. Veh. Technol. 2009, 58, 5294–5299. [Google Scholar] [CrossRef]
- Zhang, D.; Chen, Z.; Ren, J.; Zhang, N.; Awad, M.K.; Zhou, H.; Shen, X.S. Energy harvesting-aided spectrum sensing and data transmission in heterogeneous cognitive radio sensor network. IEEE Trans. Veh. Technol. 2016, 66, 831–843. [Google Scholar] [CrossRef]
- Teerapabolarn, K. New non-uniform bounds on poisson approximation for dependent bernoulli trials. Bull. Malays. Math. Sci. Soc. 2015, 38, 231–248. [Google Scholar] [CrossRef]
- Liang, Y.C.; Zeng, Y.; Peh, E.C.; Hoang, A.T. Sensing-throughput tradeoff for cognitive radio networks. IEEE Trans. Wirel. Commun. 2008, 7, 1326–1337. [Google Scholar] [CrossRef]





Publisher’s Note: MDPI stays neutral with regard to jurisdictional claims in published maps and institutional affiliations. |
© 2021 by the authors. Licensee MDPI, Basel, Switzerland. This article is an open access article distributed under the terms and conditions of the Creative Commons Attribution (CC BY) license (https://creativecommons.org/licenses/by/4.0/).
Share and Cite
Tan, Y.; Jing, X. Efficient Approximations for Optimization of N-Out-of-K Rule for Heterogeneous Cognitive Radio Networks. Appl. Sci. 2021, 11, 3083. https://doi.org/10.3390/app11073083
Tan Y, Jing X. Efficient Approximations for Optimization of N-Out-of-K Rule for Heterogeneous Cognitive Radio Networks. Applied Sciences. 2021; 11(7):3083. https://doi.org/10.3390/app11073083
Chicago/Turabian StyleTan, Youheng, and Xiaojun Jing. 2021. "Efficient Approximations for Optimization of N-Out-of-K Rule for Heterogeneous Cognitive Radio Networks" Applied Sciences 11, no. 7: 3083. https://doi.org/10.3390/app11073083
APA StyleTan, Y., & Jing, X. (2021). Efficient Approximations for Optimization of N-Out-of-K Rule for Heterogeneous Cognitive Radio Networks. Applied Sciences, 11(7), 3083. https://doi.org/10.3390/app11073083
