Artificial Macropores with Sandy Fillings Enhance Desalinization and Increase Plant Biomass in Two Contrasting Salt-Affected Soils
Abstract
1. Introduction
2. Materials and Methods
2.1. Field Experimental Site and Soils
2.2. Design of Artificial Macropore with Sandy Fillings
2.3. Field Irrigation Experiments
2.4. Sampling and Measurements
2.5. Aboveground Plant Biomass
2.6. Laboratory Experiments for Soil Columns
2.7. Statistical Analysis
3. Results
3.1. Saturated Hydraulic Conductivity of Soil Columns
3.2. Water Storage
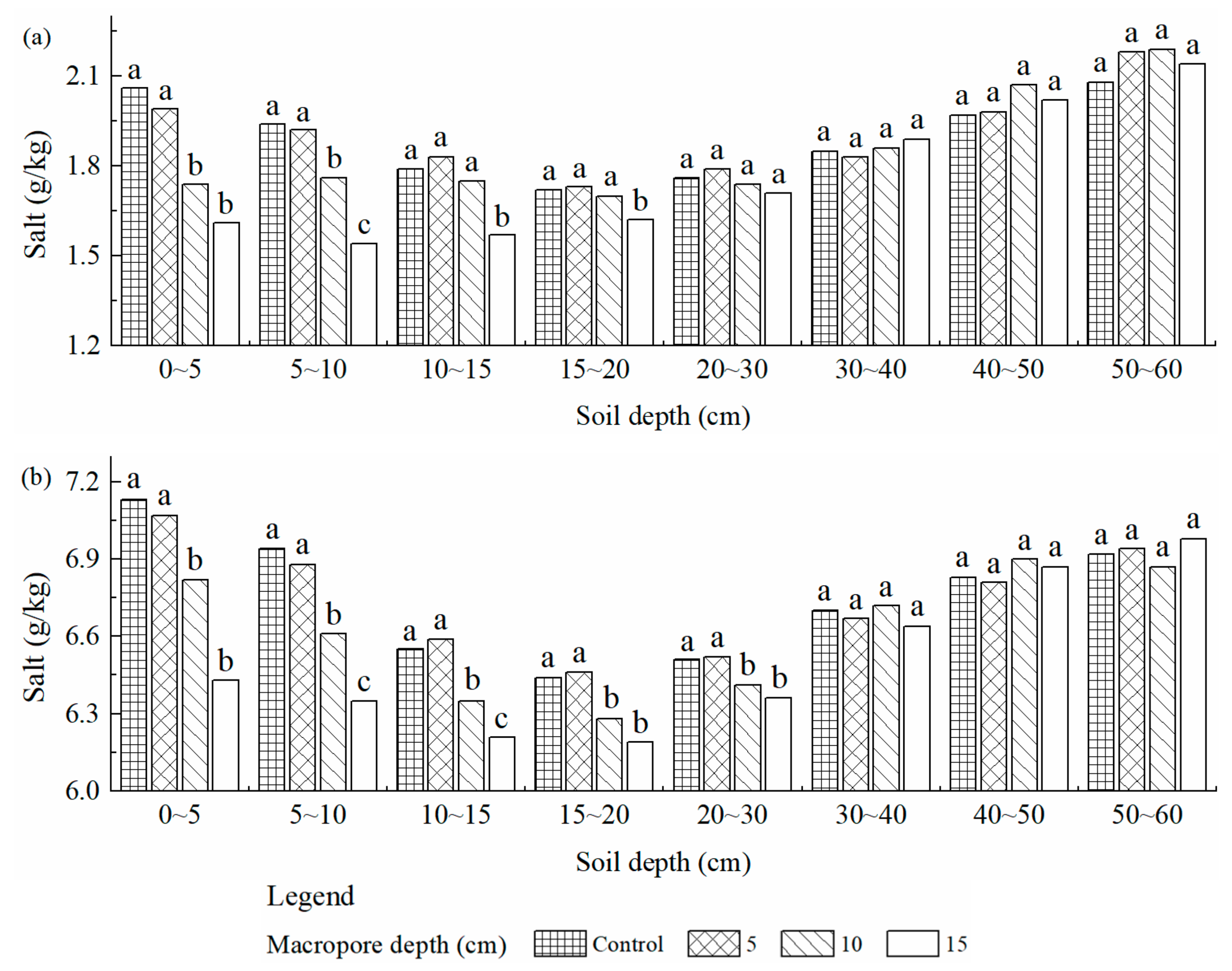
3.3. Soil Salt Content
3.4. Soil Desalinization
3.5. Plant Biomass
4. Discussion
4.1. Salt Affects Water Movement
4.2. Artificial Macropores Enhances Desalinization and Plant Yield
4.3. Future Applications for Agriculture Practice in Salt-Affected Soils
5. Conclusions
Author Contributions
Funding
Institutional Review Board Statement
Informed Consent Statement
Data Availability Statement
Acknowledgments
Conflicts of Interest
References
- Rengasamy, P. World salinization with emphasis on Australia. J. Exp. Bot. 2006, 57, 1017–1023. [Google Scholar] [CrossRef] [PubMed]
- Wu, J.; Li, P.; Qian, H.; Fang, Y. Assessment of soil salinization based on a low-cost method and its influencing factors in a semi-arid agricultural area, northwest China. Environ. Earth Sci. 2014, 71, 3465–3475. [Google Scholar] [CrossRef]
- Luo, S.; Wang, S.; Tian, L.; Shi, S.; Xu, S.; Yang, F.; Li, X.; Wang, Z.; Tian, C. Aggregate-related changes in soil microbial communities under different ameliorant applications in saline-sodic soils. Geoderma 2018, 329, 108–117. [Google Scholar] [CrossRef]
- Liu, B.; Zhao, W.; Wen, Z.; Yang, Y.; Chang, X.; Yang, Q.; Meng, Y.; Liu, C. Mechanisms and feedbacks for evapotranspiration-induced salt accumulation and precipitation in an arid wetland of China. J. Hydrol. 2019, 568, 403–415. [Google Scholar] [CrossRef]
- Zhang, X.; Shao, L.; Sun, H.; Chen, S.; Wang, Y. Incorporation of Soil Bulk Density in Simulating Root Distribution of Winter Wheat and Maize in Two Contrasting Soils. Soil Sci. Soc. Am. J. 2012, 76, 638–647. [Google Scholar] [CrossRef]
- Beven, K.; Germann, P. Macropores and water flow in soils. Water Resour. Res. 1982, 18, 1311–1325. [Google Scholar] [CrossRef]
- Flury, M. Experimental Evidence of Transport of Pesticides through Field Soils—A Review. J. Environ. Qual. 1996, 25, 25–45. [Google Scholar] [CrossRef]
- Mori, Y.; Iwama, K.; Maruyama, T.; Mitsuno, T. Discriminating the influence of soil texture and management-induced changes in macropore flow using soft X-rays. Soil Sci. 1999, 164, 467–482. [Google Scholar] [CrossRef]
- Saravanathiiban, D.S.; Kutay, M.E.; Khire, M.V. Effect of macropore tortuosity and morphology on preferential flow through saturated soil: A Lattice Boltzmann study. Comput. Geotech. 2014, 59, 44–53. [Google Scholar] [CrossRef]
- Mori, Y.; Hirai, Y. Effective Vertical Solute Transport in Soils by Artificial Macropore System. J. Hazard. ToxicRadioact. Waste 2014, 2, 1–7. [Google Scholar] [CrossRef]
- Mori, Y.; Suetsugu, A.; Matsumoto, Y.; Fujihara, A.; Suyama, K. Enhancing bioremediation of oil-contaminated soils by controlling nutrient dispersion using dual characteristics of soil pore structure. Ecol. Eng. 2013, 51, 237–243. [Google Scholar] [CrossRef]
- Atkinson, J.L.; McCarty, L.B.; Bridges, W.C., Jr. Effect of Core Aerification Frequency, Area Impacted, and Topdressing Rate on Turf Quality and Soil Physical Properties. Agron. J. 2012, 104, 1710–1715. [Google Scholar] [CrossRef]
- Shah, S.B.; Miller, J.L.; Basden, T.J. Mechanical aeration and liquid dairy manure application impacts on grassland runoff water quality and yield. Trans. ASAE 2004, 47, 777–788. [Google Scholar] [CrossRef]
- Datta, A.; Yeluripati, J.B.; Nayak, D.R.; Mahata, K.R.; Santra, S.C.; Adhya, T.K. Seasonal variation of methane flux from coastal saline rice field with the application of different organic manures. Atmos. Environ. 2013, 66, 114–122. [Google Scholar] [CrossRef]
- Lv, Z.Z.; Liu, G.M.; Yang, J.S.; Zhang, M.M.; He, L.D.; Shao, H.B.; Yu, S.P. Spatial variability of soil salinity in Bohai Sea coastal wetlands, China: Partition into four management zones. Plant Biosyst. 2013, 147, 1201–1210. [Google Scholar] [CrossRef]
- Mori, Y.; Fujihara, A.; Yamagishi, K. Installing artificial macropores in degraded soils to enhance vertical infiltration and increase soil carbon content. Prog. Earth Planet. Sci. 2014, 1, 30. [Google Scholar] [CrossRef]
- Li, W.; Zheng, Z.; Li, T.; Yu, H.; Zeng, L. Effects of salt ions transport on different levels of secondary salinization soil under greenhouse irrigation. Trans. Chin. Soc. Agric. Mach. 2011, 42, 92–99. [Google Scholar]
- He, J.; Wang, Q.; Li, H.; Lu, C.; Qiao, X.; Lu, Z. Effects of no-till opening seedbed on crop growth in annual double cropping areas in northern China. Trans. Chin. Soc. Agric. Mach. 2013, 44, 50–56. [Google Scholar]
- Du, S.; Yu, J.; Geng, G.; Li, M.; Bai, G. Effects of planting hole sealing methods on soil moisture, temperature, salinity and survival rate of tomato seedling. Trans. Chin. Soc. Agric. Eng. 2012, 28, 110–116. [Google Scholar]
- Klute, A. Methods of Soil Analysis: Part 1—Physical and Mineralogical Methods; Soil Science Society of America, American Society of Agronomy: Madison, WI, USA, 1986. [Google Scholar]
- Zhang, Y.; Li, H.; Hu, H.; Wang, X.; Chen, W. Punching and filling sand method increasing water infiltration and desalting rate of saline-alkali soil under flooding irrigation. Trans. Chin. Soc. Agric. Eng. 2017, 33, 76–83. [Google Scholar]
- Sun, J.; Kang, Y.; Wan, S.; Hu, W.; Jiang, S.; Zhang, T. Soil salinity management with drip irrigation and its effects on soil hydraulic properties in north China coastal saline soils. Agric. Water Manag. 2012, 115, 10–19. [Google Scholar] [CrossRef]
- Freedman, A.; Gross, A.; Shelef, O.; Rachmilevitch, S.; Arnon, S. Salt uptake and evapotranspiration under arid conditions in horizontal subsurface flow constructed wetland planted with halophytes. Ecol. Eng. 2014, 70, 282–286. [Google Scholar] [CrossRef]
- Ju, L.; Wang, Q.; Wang, L.; Shi, X. Effects of irrigation amounts on yield of winter wheat and distribution characteristics of soil water-salt in semi-arid region. Trans. Chin. Soc. Agric. Eng. 2007, 23, 86–90. [Google Scholar]
- Feng, Y.; Yang, J. Correlation Between Soil Water Retention Capability and Soil Salt Content. Pedosphere 2000, 10, 275–280. [Google Scholar]
- Li, X.G. Hygroscopic coefficient and wilting point of salt-affected soils in jingdian irrigation zone, gansu. Acta Pedol. Sin. 2001, 38, 498–505. [Google Scholar]
- Li, X.; Cao, J.; Li, F. Influence of salinity, sodicity, and organic matter on some physical properties of salt-affected soils. Chin. J. Soil Sci. 2004, 35, 64–72. [Google Scholar]
- Dai, L.Y.; De Yin, K.; Zhang, Y.X.; Yu, C.Q.; Li, M.; Du, J.D. Screening and analysis of soda saline-alkali stress induced up-regulated genes in sugar sorghum. Maydica 2016, 61, 1–9. [Google Scholar]
- Chaganti, V.N.; Crohn, D.M. Evaluating the relative contribution of physiochemical and biological factors in ameliorating a saline-sodic soil amended with composts and biochar and leached with reclaimed water. Geoderma 2015, 259, 45–55. [Google Scholar] [CrossRef]
- Taylor, M.; Krüger, N. Changes in salinity of a clay soil after a short-term salt water flood event. Geoderma Reg. 2019, 19, 1–8. [Google Scholar] [CrossRef]
- Tan, S.; Wang, Q.; Xu, D.; Zhang, J.; Shan, Y. Evaluating effects of four controlling methods in bare strips on soil temperature, water, and salt accumulation under film-mulched drip irrigation. Field Crop. Res. 2017, 214, 350–358. [Google Scholar] [CrossRef]
- Zalacáin, D.; Martínez-Pérez, S.; Bienes, R.; García-Díaz, A.; Sastre-Merlín, A. Salt accumulation in soils and plants under reclaimed water irrigation in urban parks of Madrid (Spain). Agric. Water Manag. 2019, 213, 468–476. [Google Scholar] [CrossRef]
- Roy, K.; Sasada, K.; Kohno, E. Salinity status of the 2011 Tohoku-oki tsunami affected agricultural lands in northeast Japan. Int. Soil Water Conserv. Res. 2014, 2, 40–50. [Google Scholar] [CrossRef]






| Soil Properties | Salinity Levels of Experimental Soil | |
|---|---|---|
| Mild Salinization | Severe Salinization | |
| Soil texture | ||
| Sand (0.02~2 mm, %) | 14.9 | 10.6 |
| Silt (0.002~0.02 mm, %) | 64.8 | 61.0 |
| Clay (<0.002 mm, %) | 20.3 | 28.4 |
| Soil physical properties | ||
| Bulk density (g cm−3) | 1.31 | 1.39 |
| Total porosity (%) | 48.6 | 46.5 |
| Field capacity (%, by weight) | 24.7 | 28.4 |
| Soil chemical properties | ||
| Electrical conductivity (1:5 soil to water, dS m−1) | 0.56 | 2.04 |
| Salt content (g kg−1) | 1.95 | 7.08 |
| pH | 8.11 | 8.34 |
| Organic matter (g kg−1) | 17.9 | 10.4 |
| Available nitrogen (mg kg−1) | 55.6 | 64.5 |
| Available phosphorus (mg kg−1) | 12.1 | 31.4 |
| Available potassium (mg kg−1) | 97.8 | 63.2 |
| Mineralization (g L−1) | Total Salt (g kg−1) | HCO3− (g L−1) | Cl− (g L−1) | SO42− (g L−1) | Ca2+ (g L−1) | Mg2+ (g L−1) | Na+ (g L−1) | K+ (g L−1) |
|---|---|---|---|---|---|---|---|---|
| 0.192 | 0.250 | 0.116 | 0.039 | 0.010 | 0.024 | 0.048 | 0.009 | 0.004 |
| Initial Soil Condition | Macropore Depth (cm) | Total Salt (g m2) | Total Desalinization (g m−2) |
|---|---|---|---|
| Mild salinization | control | 766.6a | 50.0c |
| 5 | 760.1a | 56.5c | |
| 10 | 724.9b | 91.7b | |
| 15 | 678.3c | 138.3a | |
| Severe salinization | control | 2785.6a | 159.9c |
| 5 | 2769.8a | 175.6c | |
| 10 | 2702.2b | 243.3b | |
| 15 | 2634.1c | 311.4a |
Publisher’s Note: MDPI stays neutral with regard to jurisdictional claims in published maps and institutional affiliations. |
© 2021 by the authors. Licensee MDPI, Basel, Switzerland. This article is an open access article distributed under the terms and conditions of the Creative Commons Attribution (CC BY) license (http://creativecommons.org/licenses/by/4.0/).
Share and Cite
Zhang, Y.; Zhang, R.; Zhang, B.; Xi, X. Artificial Macropores with Sandy Fillings Enhance Desalinization and Increase Plant Biomass in Two Contrasting Salt-Affected Soils. Appl. Sci. 2021, 11, 3037. https://doi.org/10.3390/app11073037
Zhang Y, Zhang R, Zhang B, Xi X. Artificial Macropores with Sandy Fillings Enhance Desalinization and Increase Plant Biomass in Two Contrasting Salt-Affected Soils. Applied Sciences. 2021; 11(7):3037. https://doi.org/10.3390/app11073037
Chicago/Turabian StyleZhang, Yifu, Ruihong Zhang, Baofeng Zhang, and Xiaobo Xi. 2021. "Artificial Macropores with Sandy Fillings Enhance Desalinization and Increase Plant Biomass in Two Contrasting Salt-Affected Soils" Applied Sciences 11, no. 7: 3037. https://doi.org/10.3390/app11073037
APA StyleZhang, Y., Zhang, R., Zhang, B., & Xi, X. (2021). Artificial Macropores with Sandy Fillings Enhance Desalinization and Increase Plant Biomass in Two Contrasting Salt-Affected Soils. Applied Sciences, 11(7), 3037. https://doi.org/10.3390/app11073037

