Next Article in Journal
F127/Cisplatin Microemulsions: In Vitro, In Vivo and Computational Studies
Next Article in Special Issue
Testing of Natural Sorbents for the Assessment of Heavy Metal Ions’ Adsorption
Previous Article in Journal
Cold Crystallization Kinetics and Thermal Degradation of PLA Composites with Metal Oxide Nanofillers
Previous Article in Special Issue
Enhanced Electrokinetic Remediation for the Removal of Heavy Metals from Contaminated Soils
 
 
Font Type:
Arial Georgia Verdana
Font Size:
Aa Aa Aa
Line Spacing:
Column Width:
Background:
Article

Different Approaches for Incorporating Bioaccessibility of Inorganics in Human Health Risk Assessment of Contaminated Soils

by
Daniela Zingaretti
* and
Renato Baciocchi
Laboratory of Environmental Engineering, Department of Civil Engineering and Computer Science Engineering, University of Rome “Tor Vergata”, Via del Politecnico 1, 00133 Rome, Italy
*
Author to whom correspondence should be addressed.
Appl. Sci. 2021, 11(7), 3005; https://doi.org/10.3390/app11073005
Submission received: 4 February 2021 / Revised: 22 March 2021 / Accepted: 24 March 2021 / Published: 27 March 2021
(This article belongs to the Special Issue Environmental Restoration of Metal-Contaminated Soils)

Abstract

Ingestion of soil represents one of the critical exposure pathways in the human health risk assessment (HHRA) framework at sites contaminated by inorganic species, especially for residential scenarios. HHRA is typically carried out through starting from the so-called “total concentration”, which is estimated from the fraction of inorganic species extracted from the soil using standardized approaches, i.e., microwave acid extraction. Due to the milder conditions, a smaller portion of the inorganics present in the soil is actually dissolved in the gastro-intestinal tract (bioaccessible fraction), and afterward reaches the bloodstream, exerting an effect on human health (bioavailable fraction). Including bioaccessibility in HHRA could then allow for the achievement of a more realistic assessment than using the total concentration. In this paper, the bioaccessible concentration of different inorganics in soil samples collected from a firing range was estimated by applying two in vitro tests, i.e., the Unified Barge Method (UBM) and the Simple Bioaccessibility Extraction Test (SBET). Moreover, different options for incorporating bioaccessibility in HHRA for the estimation of the cleanup goals were also applied and discussed. Despite the notable differences in terms of reagents and procedure between the two methods, the obtained results were quite close, with the SBET method providing slightly higher values. The role of the soil particle size distribution on the calculation of the cleanup goals accounting for bioaccessibility is also discussed.

1. Introduction

Incidental ingestion of contaminated soils represents one of the main exposure pathways when assessing human health risks associated with metals or metalloids such as Pb, As, and Cd [1]. This is particularly true at sites characterized by residential or recreational use, due to the presence of children (e.g., [2]). In fact, for their typical hand-to-mouth behavior, the fine fraction of soil could adhere to children’s hand and then be ingested [3,4]. Once ingested, the contaminants present in the soil can be mobilized by the gastrointestinal juices (bioaccessibile fraction) and then adsorbed, i.e., pass the intestinal wall reaching the blood circulation (bioavailable fraction) [5,6].
According to the ASTM-RBCA (American Society for Testing and Materials -Risk-Based Corrective Action) approach [7,8], human health risk assessment (HHRA) for the soil ingestion pathway is typically carried out starting from the total soil concentration of the contaminants, which is estimated from the fraction of inorganic species extracted from the soil using standardized approaches, i.e., microwave acid extraction. Combining it with the relevant exposure factors, i.e., the ingestion rate (IR), the exposure duration (ED), and the body weight (BW), allows for the estimation of the exposure (E) for a given receptor.
There is evidence in the literature that this assumption can lead to overestimating the actual risks for human health [9]. Indeed, only a fraction of the inorganic content of a soil has been shown to reach the blood circulation system once ingested [3]. Furthermore, it is worth noting that the bioavailable fraction of a contaminant is strictly correlated to the soil properties and contaminant characteristics, which change from site to site [10,11,12].
Different methods, either in vivo or in vitro, have been successfully developed and tested for assessing the bioavailability of metals and metalloids in soils. The in vivo procedures use swine and mouse as models for evaluating the inorganic accumulation in animal tissues or blood after exposure to contaminated soils and have been proven to be quite robust (e.g., [13,14]). However, the adoption of these methodologies within any HHRA procedure is impractical due to the high costs and times required and to ethical considerations [2]. Several simple, cheap, and reproducible in vitro tests have also been developed, which allow for the estimation of the bioaccessible fraction of a contaminant, and consequently provide a conservative estimate of the bioavailable fraction [4]. The bioavailable fraction will then be at most equal to the bioaccessible one. The different in-vitro tests rely on various reagents for mimicking at laboratory scale the digestive juices and conditions of the gastrointestinal tract of the human body so as to investigate the mobilization of the contaminants from the soil [15]. The methods investigated in the literature include the Physiologically Based Extraction Test (PBET) [10], the Simple Bioaccessibility Extraction Test (SBET) [16,17], the In Vitro Gastrointestinal (IVG) test [18], the methods developed by the Deutsches Institut für Normung e.V. [19] and by the Dutch Institute of Public Health (RIVM) [20], and finally the Unified Barge Method (UBM) [6]. Many differences can be found in comparing the operating conditions adopted by these methods. For instance, several methods (e.g., RIVM and DIN) are carried out without mixing, whereas others (e.g., UBM and SBET) are carried out using dynamic conditions. Furthermore, some methods (e.g., SBET) mimic only the gastric phase, which is assumed to be the most relevant one for the inorganic mobilization, whereas other procedures (e.g., UBM) try to simulate the mouth, the stomach, and the intestinal tract. All the above-mentioned tests have shown good in vivo–in vitro correlations (IVIVC) for the tested inorganics (e.g., [18,21,22]). However, the results obtained applying each method to the same soil can be significantly different in terms of the estimated bioaccessible fractions due to the diverse experimental conditions adopted by each procedure [5].
Two of the most used methods are the UBM and SBET, which present huge differences in terms of extraction juices, time, and complexity. The UBM method was developed by the Bioaccessibility Research Group of Europe (BARGE), which was looking for a joint decision on a harmonized bioaccessibility method. Hence, it was chosen to adopt the procedure previously elaborated by RIVM. The UBM procedure was tested in an inter-laboratory trial [23]) and was validated in vivo for arsenic, cadmium, and lead. The UBM procedure is physiologically based and is aimed at mimicking mouth, stomach, and small intestinal cavities. Therefore, this method includes the preparation of four digestive fluids (i.e., saliva, gastric, duodenal, and simulated bile solutions) using both chemical reagents and enzymes that are sequentially put in contact at 37 °C with a soil sample in two extraction phases. Although this procedure effectively simulates at the laboratory scale the process that the soil undergoes once ingested, the preparation of the digestive solution is complex and the procedure can be labor intensive.
The SBET represents a simplified form of the PBET procedure developed in response to some requests from USEPA (United States Environmental Protection Agency) regional offices [15]. Unlike the UBM method, the SBET is not physiologically based and has no digestive enzyme in the gastric fluid. Namely, the procedure consists in a single extraction step with a 0.4 M glycine (pH = 1.5) solution at 37 °C for 1 h simulating the stomach acidic environment. This method was initially validated against swine in vivo assay for lead [24,25]. However, afterwards the SBET procedure was also applied for measuring the bioaccessibile fraction of cadmium and arsenic [5] and more recently was also applied to other metals or metalloids (e.g., [26,27]). Currently it is adopted by the USEPA as a standard procedure for evaluating the bioaccessibility of lead and arsenic [17].
The availability of standard in vitro procedures allowed for the incorporation of oral bioaccessibility into forward HHRA on soils [28] and toxic waste [29] for estimating risks for exposed receptors and into backward HHRA for the definition of soil cleanup goals [30]. However, the final outcome of the HHRA procedure depends on the bioaccessibility method used but also on how bioaccessibility is incorporated into HHRA. First, one aspect to consider is that despite the characterization of soil contamination usually being carried out on the particle size fraction below 2 mm, the different in vitro procedures are typically performed on finer size fractions, i.e., the <250 μm fraction for the UBM and the <150 μm for the SBET. Hence, it is crucial to decide to which total metal content to refer the bioaccessible concentration. According to Guney et al. [28], considering the total inorganic content of the fine fraction would provide a more appropriate and conservative estimate of the concentration in ingested soil since the fine fraction tends to have higher inorganic concentrations in general and is more likely to be ingested by children. More recently, Mehta et al. [29] also performed both the bioaccessibility and the risk calculations on the fine fraction, for consistency, as they carried out the bioaccessibility tests on this fraction using the UBM. Bioaccessibility was found to depend on the soil particle size considered [31], but Li et al. [32] concluded that although a general trend of higher potentially toxic element (PTE) bioaccessibility in finer fraction is found, this does not mean that the highest PTE bioaccessibility is always found in the finest size fraction. How to incorporate the bioaccessible fraction estimated by the standard in vitro procedure into forward and backward HHRA is still a matter of debate, especially with reference to how to account for the distribution of the contaminants and for the trend of bioaccessibility among the different soil particle size fractions.
Shooting ranges have long been recognized as a potential source for environmental contamination due to the large accumulation of lead (Pb) in soil (e.g., [33,34,35,36,37,38]) as a result of firing activities with bullets that are mainly composed of lead [39]. There are many thousands of shooting ranges operating around the world for recreational activity and military training, which are also characterized by the presence of co-contaminants, such as antimony, zinc, copper, and nickel, [40]. Since soil ingestion represents a critical exposure route, especially for adults and children using the site for recreation, bioaccessibility may allow for the more correct estimation of the cleanup goals, also considering that lead is one of the elements on which the in vitro bioaccessibility methods discussed above have been validated.
In this work, we investigated the bioaccessibility of metals and metalloids in soil samples collected at a firing range through applying the two procedures discussed above, i.e., the UBM and the SBET. Lead but also other metals and metalloids present in the site were considered as target contaminants. The estimated bioaccessibilities were then incorporated into a HHRA procedure carried out in backward mode, thus allowing us to estimate the cleanup goals. The results obtained using different methods for estimating and incorporating bioaccessibility into HHRA allowed us to assess how different choices may affect the outcome of the overall risk assessment.

2. Materials and Methods

2.1. Soil Characterization

The soil samples used in this work were collected at a military firing range in central Italy, which is still in operation for about 4 months in a year. The definition of the cleanup goals and of the cleanup approach is underway. Currently, a part of the site is open to the general public for leisure activity during the weekends and holidays. Four samples of topsoil, named A1, A2, S1, and S2, were collected at a depth of 0–0.3 m within an investigation campaign performed at the site. These samples presented high concentrations of some metals, mainly lead, which, as is well known, is related to the firing activity performed at this type of site (e.g., [33,34,35,36]). The soil samples were dried (40 °C) for at least 4 days and weighted. Afterwards, the samples were sieved with stainless steel sieves to 2 mm, 250 μm, and 150 μm so as to obtain the soil fractions suitable for characterization analysis and bioaccessibility tests. All 3 fractions were analyzed for the total inorganic content, according to USEPA 3051A method [41]. Namely, the soil samples underwent a microwave-assisted acid digestion with nitric acid (HNO3) and hydrochloric acid (HCl), and the obtained solutions were analyzed by inductively coupled plasma optical emission spectroscopy (ICP-OES; Varian 710-ES) for measuring As, Be, Cd, Cr, Ni, Pb, V, and Zn concentrations. The fractions with particle size below 250 and 150 μm were used for measuring the bioaccessible concentration using the UBM and SBET, respectively, as described in Section 2.2. All analysis were performed in triplicate.

2.2. Bioaccessible Concentration

The procedure adopted for carrying out the UBM tests was the one reported in the International Standard ISO 17924 [6]. The soil fraction used in the UBM method was the one with a diameter lower than 250 μm, since this portion of soil is believed to adhere to human hands and become ingested during a hand-to-mouth activity [3].
The 4 extraction fluids, i.e., saliva, gastric, duodenal, and bile solutions were prepared the day before performing the tests according to the specific composition and indications reported in the above-mentioned standard. Each one of these fluids was prepared by mixing a 500 mL solution with inorganics to a 500 mL solution with organic and solid constituents, with a composition reported in detail in the ISO 17924 Standard [6]. Briefly, the UBM includes 2 sequential extraction steps, corresponding to the gastric and gastrointestinal phases. In the first step, the gastric and gastrointestinal samples were prepared by adding 0.6 g of soil to 9 mL of saliva and 13.5 mL of gastric fluid; then, after checking that the pH of the solution was within the range 1.2 ± 0.05, the samples were incubated in an end-over-end shaker at 37 °C for 1 h. At the end of this stage, we verified that the pH of each suspension (both gastric and gastrointestinal samples) was lower than 1.5. Afterwards, the gastric samples were centrifuged at 4500× g for 15 min, and the supernatants were collected for analysis by ICP-OES. The gastrointestinal samples were mixed with 27 mL of simulated duodenal fluid and 9 mL of simulated bile fluid, and after checking the pH to be in the range 6.3 ± 0.5, we incubated them in an end-over-end rotator at 37 °C for 4 h. At the end of this phase, after controlling the pH value (that should be 6.3 ± 0.5), we centrifuged the suspensions at 4500× g for 15 min and analyzed the solutions by ICP-OES.
The bioaccessibility tests performed adopting the SBET were carried out in agreement with the USEPA standard operating procedure [17]. It is worth noting that, differently from the UBM method, following the recommendation for the assessment of incidental ingestion of soil developed by USEPA [42], the soil used in the SBET method was the fraction with diameter lower than 150 μm, which, on the basis of studies published in the last years, represent the dominant fraction for dermally adhered soil (e.g., [43]). The extraction fluid was represented by a 0.4 M glycine solution whose pH was adjusted to 1.5 by adding HCl. Then, 1 g of the soil sample was put in contact with 100 mL of the extraction fluid and rotated end-over-end at 37 °C at 30 rpm for 1 h. At the end of the experiment, we checked that the final pH of the solution was in the range 1.5 ± 0.5. Afterwards, the soil–liquid solution was allowed to settle the solid particles, and then the liquid was filtered through a 0.45 µm cellulose acetate disk before analysis by ICP-OES.
All reagents used for performing characterization analysis and bioaccessibility tests were of analytical grade and were purchased by Sigma-Aldrich (St. Louis, MO, USA).

2.3. Quality Control

In order to assure the correct application of the complex procedure envisioned in the UBM, prior to performing the tests on the soil samples collected in the firing range, we applied the in vitro procedure on a certified reference material, i.e., the BGS102 provided by the British Geological Survey (BGS). This reference material is ferritic brown earth collected from North Lincolnshire that was ball-milled to a particle size lower than 40 µm. The main chemical and physical properties of this reference material, retrieved from the Certificate of Analysis provided by BGS, are reported in Table S1 in the Supplementary Information. For comparison purposes, the SBET was also performed on the same material.
For quality control, the UBM or SBET extractions on the soil samples A1, A2, S1, and S2 collected in the firing range were carried out in triplicate, and for each batch of extractions, 3 procedural blanks were also tested. The detection limits of the ICP-OES analysis were 0.033 mg/L for As and 0.005 mg/L for the other analyzed elements. Hence, the limits of quantification for the total content determination were equal to 1.58 mg/kg for As and 0.24 mg/kg for the other elements. As far as the bioaccessibility tests are concerned, considering the amount of soil and liquid used in each procedure, the limit of quantification was estimated to be equal to 1.24 mg/kg for As, 0.19 mg/kg for the other elements in the gastric phase of the UBM, and 3.3 mg/kg for As and 0.5 mg/kg for the other elements in the gastrointestinal phase of the UBM and in the SBET.

2.4. Risk Assessment

Incorporating bioaccessibility requires the modification of the approach usually undertaken to carry out HHRA at contaminated sites. In this discussion, we make reference to the approach followed in Italy [44], which essentially relies on the RBCA-ASTM approach [7,8]. Namely, in forward mode, Risk or Hazard Index is estimated from the total soil concentration (C), which is calculated by normalizing the concentration measured on the soil particle size fraction below 2 mm (CTOT 2mm) to the soil fraction with particle diameter between 2 mm and 2 cm (F2mm):
C = C T O T 2 m m F 2 m m
This means to assume that all contaminants are present in the particle size fraction below 2 mm, whereas the fraction between 2 mm and 2 cm is assumed to be clean.
For the soil ingestion pathway, risk (R) and hazard index (HI) are given by
R = E M S F C
H I = E M C R f D
where SF (mg/kg/d)1 and RfD (mg/kg/d) are the carcinogenic slope factor and reference dose of a given chemical, respectively.
EM, which includes the exposure parameters, is given by
E M = E D E F I R B W A T
where ED is the exposure duration (y), EF the exposure frequency (d/y), IR the soil ingestion rate (mg/d), BW the body weight (kg), and AT the averaging time (y).
The backward HHRA allows for the estimation of the cleanup goal for a given chemical, here named CSR by the Italian legislation [45], by simply reversing the risk equations shown above, thus leading to
C S R c a n c = T R E M S F
C S R n o n c a n c = T H I R f D E M
where TR and THI are the target carcinogenic risk (10−6 for the Italian legislation) and the target hazard index (1 for the Italian legislation), respectively. When incorporating the bioaccessibility (BA) in the estimate of the cleanup goals for the soil ingestion pathway, we obtained the following equations:
C S R c a n c = T R E M S F B A
C S R n o n c a n c = T H I R f D E M B A
The question now becomes how to estimate the bioaccessible fraction of hazardous compounds to be considered in the above-mentioned equations.
One option proposed in the literature (e.g., [28,29]) relies on estimating the bioaccessibility with reference to the total concentration measured in the same particle size fraction used for measuring the bioaccessible concentration, as shown in the following equation.
B A 1 = C B A C T O T F I N E 100
where CBA (mg kg−1) is the bioaccessible concentration of each inorganic measured adopting for instance the UBM or SBET methods, and CTOT FINE is the total inorganic content (mg kg−1) measured on the same soil fraction used for the bioaccessibility test (i.e., d < 250 µm for the UBM or d < 150 µm for the SBET).
Another option could be to calculate the bioaccessibility (BA) with reference to the total soil concentration (C), i.e., the concentration in the soil fraction < 2 mm normalized to the to the soil fraction with particle diameter between 2 mm and 2 cm, which is usually considered in the HHRA procedure. However, for consistency, in this case, the particle size distribution also had to be taken into account, normalizing the bioaccessible concentration to the soil fraction used in the in vitro methods, thus leading to the following equation:
B A 2 = C B A F B A C 100
where CBA (mg kg−1) is again the bioaccessible concentration of each element measured adopting either the UBM or the SBET method, FBA is the soil fraction used in the in vitro methods (i.e., d < 250 µm for the UBM or d < 150 µm for the SBET), and C is the total soil concentration (Equation (1)).

3. Results and Discussion

3.1. Soil Characterization

Table 1 shows the particle size distribution of the different soil samples, with reference to the 2 mm, 250 μm, and 150 μm sieves.
Sample A1 is mostly made of coarse particles, above 2 mm, which correspond to 88% weight of the overall sample, whereas the fraction below 250 μm represents only 2.4% weight. In this case, the particle size fraction below 150 μm was so low that it was not possible to collect an amount sufficient for carrying out the characterization and the bioaccessibility tests. Sample A2 is slightly finer, with 69% weight of the particles below 2 mm, whereas the particle size fractions below 250 μm and 150 μm were slightly higher than in A1, i.e., 11% and 4.3%, respectively. Samples S1 and S2, instead, had similar particle size distribution, with around 60% of the particles above 2 mm and the finer fractions representing around 4% (d < 250 μm) and 2% (d < 150 μm).
Figure 1 reports for each soil sample collected in the firing range (i.e., A1, A2, S1, and S2) the metal and metalloid contents determined applying USEPA Method 3051A on the fractions with particle diameters lower than 2 mm, 250 µm, and 150 µm. The contents shown in Figure 1 are the mean values obtained from each triplicate. As mentioned above, for sample A1, the amount of the soil fraction d < 150 µm was insufficient for performing the analysis.
There were no substantial differences found between the concentrations measured in the three different soil fractions. Lead was the only inorganic that regularly presented a higher concentration in the finest fractions d < 250 μm and d < 150 μm than in fraction d < 2 mm. Indeed, the finer soil particles usually present a greater specific surface than the coarser fraction, and hence may sorb a higher amount of inorganic per unit weight [46]. Since this effect was observed on lead only, the enrichment of Pb observed in the finer fraction of the soil samples was linked to the firing activity carried out in the shooting range and to the bullet residues that can end up in soils after use [35]. This result is in agreement with what has also been observed in previous studies that analyzed the Pb contamination in firing ranges (e.g., [36]).

3.2. Quality Control

Figure 2 reports the bioaccessible concentration obtained adopting UBM and SBET procedures to the reference material BGS102. Furthermore, for quality control purposes, in the same figure, the maximum and minimum bioaccessible concentration of As and Pb reported in the Certificate of Analysis of this material adopting UBM are also reported. It is possible to observe that the values obtained in this work adopting the UBM on the d < 250 μm fraction fall within the range reported for As and Pb in the BGS certificate of analysis. This result confirms that all the different steps of the UBM procedure were correctly carried out.

3.3. Bioaccessible Concentration

Figure 3 reports the results of the UBM and SBET methods for the four samples collected at the firing range in terms of bioaccessible concentrations. Namely, for each sample, the concentrations measured in the gastric and gastrointestinal phases of the UBM (named UBM-G and UBM-GI, respectively) were compared with the values obtained by the SBET. For sample BGS102, the values of the bioaccessible concentration of As and Pb reported in the certificate of analysis provided by the supplier are also shown for comparison.
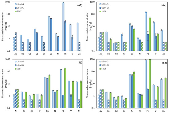
Regarding the UBM results, it is possible to observe that for all the tested samples, the bioaccessible concentration measured for the different inorganics in the gastric phase was higher than that obtained for the gastro-intestinal phase. This result is in agreement with what has already been observed in previously published papers (e.g., [2,15,46]) that attributed this behavior to the strong influence of the pH of the solution. The pH of the gastric phase in fact was significantly lower (pH = 1.2) compared to that of the gastrointestinal phase (pH = 6.3), leading to a higher mobilization of the inorganics from the soil to the solution. As also stated by Medlin et al. [16], the change in pH from low to neutral values passing from gastric to gastrointestinal conditions is likely to determine a precipitation of inorganics and hence a lower bioaccessibility.
Comparing the bioaccessible concentrations obtained for the two methods, one can observe that, except for A2, which was probably affected by heterogeneity, the SBET proved to be more conservative, with values slightly higher than those of the UBM. Furthermore Figure 3 shows that for all the analyzed inorganics, the bioaccessible concentrations determined by the SBET were quite close to the values obtained for the gastric phase of the UBM (i.e., UBM-G). These results could have been expected considering that, although the two methods are characterized by very different procedures and reagents, the pH of the solution in the SBET and in the gastric phase of UBM were similar (1.2 compared to 1.5). This observation underlines once more that pH is a key parameter to consider for assessing bioaccessibility of inorganics.

3.4. Implication for the Contaminated Site Management

As described in Section 2.4, the bioaccessibility was estimated for each soil sample starting from the bioaccessible concentrations measured with the two in vitro methods (i.e., UBM and SBET) and using the two different equations, (9) and (10). Figure 4 reports the comparison of the values of the bioaccessible fraction (BA1-UBM, BA1-SBET, BA2-UBM, and BA2-SBET) obtained for each soil sample. In the UBM case, the bioaccessible fraction was estimated by using the higher concentration among those measured in the gastric and the gastrointestinal phases, thus adopting a conservative approach.
It has to be noticed that for the tested soil samples, the use of either the UBM or the SBET bioaccessible concentration did not notably affect the bioaccessibility when the results obtained with the same equation were compared. This means that, at least for the samples investigated in this work, despite the two methods following different procedures and reagents and being carried out on different size fractions, the estimated bioaccessibility is basically the same.
On the other hand, significantly different results were obtained using the two equations. Namely, the values obtained with Equation (10) (BA2), regardless of the in vitro method used, were at least one order of magnitude lower than those calculated with Equation (9) (BA1). This difference stems from the different assumptions behind the two equations. BA1 did not account for the particle size distribution and was simply the ratio between the bioaccessible and total concentration measured on the same particle size fraction. In BA2, the bioavailable concentration was normalized to the particle size fraction above 250 µm or 150 µm, for UBM and SBET, respectively, whereas the total concentration was also normalized to the soil fraction above 2 mm. As an example, we can look at the values obtained for lead in the different samples using the UBM. For sample A1, BA1 was close to 1 and BA2 around 0.5. This resulted from two counteracting effects (see Equation (10)). On the one hand, the particle size fraction below 250 µm (2.4%) was lower than the one below 2 mm (12.2%), i.e., a ratio around 0.2; on the other hand, the total lead concentration in the <250 µm fraction was higher than the one in the <2 mm fraction (836 mg kg−1 vs. 351 mg kg−1 respectively), i.e., a ratio of around 2.4. For sample A2, BA1 was around 0.5, whereas BA2 was around 0.1. In this case, the particle size fraction below 250 µm (11%) was lower than the one below 2 mm (68.6%), i.e., around 0.16 ratio, whereas the total lead concentration in the <250 µm fraction was slightly higher than the one in the <2 mm fraction (263 mg kg−1 vs. 206 mg kg−1, respectively), i.e., a ratio of around 1.3. The behavior observed for samples S1 and S2 was somehow in between those observed for A1 and A2.
The bioaccessibility of lead in shooting ranges was investigated by numerous studies adopting different methods (see Table 2). Walraven et al. [35] investigated the Pb bioaccessibility in different sites characterized by various lead sources (Pb bullets and pellets, car battery Pb, gasoline Pb, diffuse Pb, made ground and city waste), observing that the shooting ranges showed the highest bioaccessibility. Generally, the bioaccessibility measured in shooting ranges falls within the range 45–100% [35,36,37,38]. The results obtained in the present study, particularly those estimated with Equation (9), fit well with data available in the literature. However, the values determined considering also the particle size distribution (hence using Equation (10)) were found to be generally lower than the values of previously published works. This difference can be explained through considering the fact that in these studies, the bioaccessibile fraction was estimated by referring to the total content of the soil.
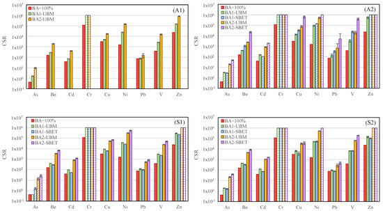
The cleanup goals (CSR) for each soil sample were calculated using Equations (7) and (8), accounting for the bioaccessibility estimated using the two proposed approaches, i.e., either by Equation (9) (BA1) or Equation (10) (BA2). The obtained values are reported in Figure 5 for each soil sample and compared with the cleanup goal of each contaminant assuming 100% bioaccessibility. The latter value was obviously the same for all samples, since it depended only on the target risk (THI = 1 or TR = 10−6), on the exposure parameters, and on the toxicity of the contaminant. For all contaminants and for any BA considered, the CSR were calculated for both the carcinogenic and non-carcinogenic effects, and the lower value was taken as representative CSR for each sample.
Clearly, the cleanup goals had an opposite behavior with respect to the one reported for bioaccessibility, meaning that a lower bioaccessibility corresponded to a higher cleanup goal. Let us consider the case of arsenic for sample A2—looking at Figure 5, we can observe that the CSR was higher when the estimated bioaccessibility, shown in Figure 5, was lower. In this case, BA was calculated by starting from a bioaccessible concentration equal to the quantification limit, and therefore represents a maximum estimate, i.e., the effective BA could be lower. Hence, the corresponding CSR represents a minimum estimate, and the effective CSR could be higher.
Similarly to what was observed for the bioaccessibility values, the cleanup goals proved to be significantly influenced by the approach adopted for evaluating the bioaccessible fraction. The bioaccessibility method did not notably affect the results, although the cleanup goals estimated adopting the SBET proved to be in most cases higher than those estimated on the basis of the UBM. Clearly, as expected, accounting for bioaccessibility led to a remarkable increase of the cleanup goals, up to 100-fold using BA1 and up to 1000-fold using BA2.

4. Conclusions

In this paper, the results obtained by adopting two different methods for estimating the bioaccessible concentration of inorganics were compared and discussed. Namely, four soil samples collected in a firing range were used to carry out tests adopting the UBM and SBET. The obtained results showed that among the extraction parameters, pH is one of the most important factors. Despite the huge differences in reagents, time, costs, and complexity of the two procedures adopted, the bioaccessibility using the SBET was only slightly higher than the one obtained with the gastric phase extraction of the UBM, which is characterized by similar pH values of the SBET. Hence, the latter method could be adopted at an early stage in order to obtain an easier and faster estimate of the bioaccessible concentration and the UBM could be applied in a second stage only on few samples that would benefit from a more accurate bioaccessibility estimate.
The bioaccessible concentrations estimated in the in vitro methods were then used for calculating the bioaccessible fractions and the cleanup goals, adopting two approaches, neglecting or considering the normalization on the basis of the particle size distribution, respectively. The first approach is surely more conservative but has the drawback that the cleanup goals related to the soil ingestion pathway would not depend on the soil particle size distribution; in principle, two soils with the same bioaccessible concentration but with different PSD (e.g., with 99% and 1% fine particles below 250 um, respectively) would have the same cleanup goal. The second approach allows us to overcome this drawback, but on the other hand could lead to excessively permissive cleanup goals.
How bioaccessibility should be incorporated into the HHRA framework needs further investigation on the source-to-hand and hand-to-mouth transport pathways, so as to avoid the use of either over- or under-protective risk assessment approaches.

Supplementary Materials

The following are available online at https://www.mdpi.com/article/10.3390/app11073005/s1, Table S1: Guidance values and confidence intervals reported in the certificate of Analysis of BGS102.

Author Contributions

Conceptualization, D.Z. and R.B.; methodology, D.Z. and R.B.; formal analysis, D.Z.; investigation, D.Z.; data curation, D.Z. and R.B.; writing—original draft preparation, D.Z. and R.B.; writing—review and editing, D.Z. and R.B.; visualization, D.Z.; supervision, R.B. All authors have read and agreed to the published version of the manuscript.

Funding

This research received no external funding.

Institutional Review Board Statement

Not applicable.

Informed Consent Statement

Not applicable.

Data Availability Statement

Not applicable.

Conflicts of Interest

The authors declare no conflict of interest.

References

  1. Swartjes, F.A. Risk-Based Assessment of Soil and Groundwater Quality in the Netherlands: Standards and Remediation Urgency. Risk Anal. 1999, 19, 1235–1249. [Google Scholar] [CrossRef] [PubMed]
  2. Li, H.B.; Li, M.Y.; Zhao, D.; Li, J.; Li, S.M.; Xiang, P.; Juhasz, A.L.; Ma, L.Q. Arsenic, lead, and cadmium bioaccessibility in contaminated soils: Measurements and validations. Crit. Rev. Environ. Sci. Technol. 2020, 50, 1303–1338. [Google Scholar] [CrossRef]
  3. Ruby, M.V.; Davis, A.; Schoof, R.; Eberle, S.; Sellstone, C.M. Estimation of lead and arsenic bioavailability using a physiologically based extraction test. Environ. Sci. Technol. 1996, 30, 422–430. [Google Scholar] [CrossRef]
  4. Denys, S.; Tack, K.; Caboche, J.; Delalain, P. Bioaccessibility, solid phase distribution, and speciation of Sb in soil sand in digestive fluids. Chemosphere 2008, 74, 711–716. [Google Scholar] [CrossRef]
  5. Oomen, A.G.; Hack, A.; Minekus, M.; Zeijdner, E.; Cornelis, C.; Schoeters, G.; Verstraete, W.; Van de Wiele, T.; Wragg, J.; Rompelberg, C.J.M.; et al. Comparison of five in vitro digestion models to study the bioaccessibility of soil contaminants. Environ. Sci. Technol. 2002, 36, 3326–3334. [Google Scholar] [CrossRef] [PubMed]
  6. ISO 17924:2018. In Soil Quality—Assessment of Human Exposure from Ingestion of Soil and Soil Material—Procedure for the Estimation of the Human Bioaccessibility/Bioavailability of Metals in Soil; ISO: Genève, Switzerland, 2018.
  7. E1739-95 ASTM. In Standard Guide for Risk Based Corrective Action Applied at Petroleum Release Sites; ASTM International: West Conshohocken, PA, USA, 2015.
  8. E2081-00 ASTM. In Standard Guide for Risk Based Corrective Action; ASTM International: West Conshohocken, PA, USA, 2015.
  9. Ruby, M.V.; Fehling, K.A.; Paustenbach, D.J.; Landenberger, B.D.; Holsapple, M.P. Oral Bioaccessibility of Dioxins/Furans at Low Concentrations (50–350 ppt Toxicity Equivalent) in Soil. Environ. Sci. Technol. 2002, 36, 4905–4911. [Google Scholar] [CrossRef]
  10. Ruby, M.V.; Davis, A.; Link, T.E.; Schoof, R.; Chaney, R.L.; Freeman, G.B.; Bergstrom, P. Development of an in vitro screening test to evaluate the in vivo bioaccessibility of ingested mine-waste lead. Environ. Sci. Technol. 1993, 27, 2870–2877. [Google Scholar] [CrossRef]
  11. Ruby, M.V.; Schoof, R.; Brattin, W.; Goldade, M.; Post, G.; Harnois, M.; Mosby, D.E.; Casteel, S.W.; Berti, W.; Carpenter, M.; et al. Advances in evaluating the oral bioavailability of inorganics in soil for use in human health risk assessment. Environ. Sci. Technol. 1999, 33, 3697–3705. [Google Scholar] [CrossRef]
  12. Davis, A.; Ruby, M.V.; Goad, P.; Eberle, S.; Chryssoulis, S. Mass balance on surface-bound mineralogic, and total lead concentrations as related to industrial aggregate bioaccessibility. Environ. Sci. Technol. 1997, 31, 37–44. [Google Scholar] [CrossRef]
  13. Casteel, S.W.; Cowart, R.P.; Weis, C.P.; Henningsen, G.M.; Hoffman, E.; Brattin, W.J.; Guzman, R.E.; Starost, M.F.; Payne, J.T.; Stockham, S.L.; et al. Bioavailability of lead to juvenile swine dosed with soil from the Smuggler Mountain NPL Site of Aspen, Colorado. Toxicol. Sci. 1997, 36, 177–187. [Google Scholar] [CrossRef]
  14. Freeman, G.B.; Johnson, J.D.; Killinger, J.M.; Liao, S.C.; Feder, P.I.; Davis, A.O.; Ruby, M.V.; Chaney, R.L.; Lovre, S.C.; Bergstrom, P.D. Relative bioavailability of lead from mining waste soil in rats. Fundam. Appl. Toxicol. 1992, 19, 388–398. [Google Scholar] [CrossRef]
  15. Wragg, J.; Cave, M.R. In-Vitro Methods for the Measurement of the Oral Bioaccessibility of Selected Metals and Metalloids in Soils: A Critical Review; Environment Agency: Bristol, UK, 2003. [Google Scholar]
  16. Medlin, E.A. An in vitro method for estimating the relative bioavailability of lead in humans. Master’s Thesis, Department of Geological Sciences, University of Colorado at Boulder, Boulder, CO, USA, 1997. [Google Scholar]
  17. U.S. EPA. Standard Operating Procedure for an In Vitro Bioaccessibility Assay for Lead and Arsenic in Soil; OLEM 9200.2-164; U.S. EPA: Washington, DC, USA, 2017.
  18. Rodriguez, R.R.; Basta, N.T. An in vitro gastrointestinal method to estimate bioavailable arsenic in contaminated soils and solid media. Environ. Sci. Technol. 1999, 33, 642–649. [Google Scholar] [CrossRef]
  19. DIN E 19738. In Deutsches Institut fur Normung e.V. Soil Quality—Absorption Availability of Organic and Inorganic Pollutants from Contaminated Soil Material; 2000; Available online: https://www.techstreet.com/standards/din-19738?product_id=1982137#document (accessed on 22 March 2021).
  20. Oomen, A.G.; Rompelberg, C.J.M.; Bruil, M.A.; Dobbe, C.J.G.; Pereboom, D.P.K.H.; Sips, A.J.A.M. Development of an In Vitro Digestion Model for Estimating the Bioaccessibility of Soil Contaminants. Arch. Environ. Contam. Toxicol. 2003, 44, 281–287. [Google Scholar] [CrossRef]
  21. Juhasz, A.L.; Weber, J.; Smith, E.; Naidu, R.; Rees, M.; Rofe, A.; Kuchel, T.; Sansom, L. Assessment of four commonly employed in vitro arsenic bioaccessibility assays for predicting in vivo relative arsenic bioavailability in contaminated soils. Environ. Sci. Technol. 2009, 43, 9487–9494. [Google Scholar] [CrossRef]
  22. Denys, S.; Caboche, J.; Tack, K.; Rychen, G.; Wragg, J.; Cave, M.; Jondreville, C.; Feidt, C. In vivo validation of the unified BARGE method to assess the bioaccessibility of arsenic, antimony, cadmium, and lead in soils. Environ. Sci. Technol. 2012, 46, 6252–6260. [Google Scholar] [CrossRef]
  23. Wragg, J.; Cave, M.; Basta, N.; Brandon, E.; Casteel, S.; Denys, S.; Gron, C.; Oomen, A.; Reimer, K.; Tack, K.; et al. An inter-laboratory trial of the unified BARGE bioaccessibility method for arsenic, cadmium and lead in soil. Sci. Total Environ. 2011, 409, 4016–4030. [Google Scholar] [CrossRef]
  24. Drexler, J.W.; Brattin, W.J. An in vitro procedure for estimation of lead relative bioavailability: With validation. Hum. Ecol. Risk Assess. 2007, 13, 383–401. [Google Scholar] [CrossRef]
  25. USEPA. Validation Assessment of In Vitro Lead Bioaccessibility Assay for Predicting Relative Bioavailability of Lead in Soils and Soil-Like Materials at Superfund Sites; OSWER 9200; U.S. Environmental Protection Agency: Washington, DC, USA, 2009.
  26. Izquierdo, M.; De Miguel, E.; Ortega, M.F.; Mingot, J. Bioaccessibility of metals and human health risk assessment in community urban gardens. Chemosphere 2015, 135, 312–318. [Google Scholar] [CrossRef]
  27. Mendoza, C.J.; Garrido, R.T.; Quilodrán, R.C.; Segovia, C.M.; Parada, A.J. Evaluation of the bioaccessible gastric and intestinal fractions of heavy metals in contaminated soils by means of a simple bioaccessibility extraction test. Chemosphere 2017, 176, 81–88. [Google Scholar] [CrossRef] [PubMed]
  28. Guney, M.; Zagury, G.J.; Dogan, N.; Onay, T.T. Exposure assessment and risk characterization from trace elements following soil ingestion by children exposed to playgrounds, parks and picnic areas. J. Hazard. Mater. 2010, 182, 656–664. [Google Scholar] [CrossRef] [PubMed]
  29. Mehta, N.; Cipullo, S.; Cocerva, T.; Coulon, F.; Dino, G.A.; Ajmone-Marsan, F.; Padoan, E.; Cox, S.F.; Cave, M.R.; De Luca, D.A. Incorporating oral bioaccessibility into human health risk assessment due to potentially toxic elements in extractive waste and contaminated soils from an abandoned mine site. Chemosphere 2020, 255, 126927. [Google Scholar] [CrossRef] [PubMed]
  30. Zhang, R.; Han, D.; Jiang, L.; Zhong, M.; Liang, J.; Xia, T.X.; Zhao, Y. Derivation of site-specific remediation goals by incorporating the bioaccessibility of polycyclic aromatic hydrocarbons with the probabilistic analysis method. J. Hazard. Mater. 2020, 384, 121239. [Google Scholar] [CrossRef]
  31. Ma, J.; Li, Y.; Liu, Y.; Lin, C.; Cheng, H. Effects of soil particle size on metal bioaccessibility and health risk assessment. Ecotoxicol. Environ. Saf. 2019, 186, 109748. [Google Scholar] [CrossRef]
  32. Li, Y.; Padoan, E.; Ajmone-Marsan, F. Soil particle size fraction and potentially toxic elements bioaccessibility: A review. Ecotoxicol. Environ. Saf. 2021, 209, 111806. [Google Scholar] [CrossRef]
  33. Urrutia-Goyes, R.; Argyraki, A.; Ornelas-Soto, N. Assessing Lead, Nickel, and Zinc Pollution in Topsoil from a Historic Shooting Range Rehabilitated into a Public Urban Park. Int. J. Environ. Res. Public Health 2017, 14, 698. [Google Scholar] [CrossRef]
  34. Fayiga, A.O.; Saha, U.K. Soil pollution at outdoor shooting ranges: Health effects, bioavailability and best management practices. Environ. Pollut. 2016, 216, 135–145. [Google Scholar] [CrossRef]
  35. Walraven, N.; Bakker, M.; van Os, B.J.H.; Klaver, G.T.; Middelburg, J.J.; Davies, G.R. Factors controlling the oral bioaccessibility of anthropogenic Pb in polluted soils. Sci. Total Environ. 2015, 506–507, 149–163. [Google Scholar] [CrossRef] [PubMed]
  36. Sanderson, P.; Naidu, R.; Bolan, N.; Bowman, N.; Mclure, S. Effect of soil type on distribution and bioaccessibility of metal contaminants in shooting range soils. Sci. Total Environ. 2012, 438, 452–462. [Google Scholar] [CrossRef] [PubMed]
  37. Smith, E.; Weber, J.; Naidu, R.; McLaren, R.G.; Juhasz, A.L. Assessment of lead bioaccessibility in peri-urban contaminated soils. J. Hazard. Mater. 2011, 186, 300–305. [Google Scholar] [CrossRef] [PubMed]
  38. Moseley, R.A.; Barnett, M.O.; Stewart, M.A.; Mehlhorn, T.L.; Jardine, P.M.; Ginder-Vogel, M.; Fendorf, S. Decreasing lead bioaccessibility in industrial and firing range soils with phosphate-based amendments. J. Environ. Qual. 2008, 37, 2116–2124. [Google Scholar] [CrossRef]
  39. Cao, X.; Ma, L.Q.; Chen, M.; Hardison, D.W.; Harris, W.G. Weathering of lead bullets and their environmental effects at outdoor shooting ranges. J. Environ. Qual. 2003, 307, 526–534. [Google Scholar] [CrossRef]
  40. Sanderson, P.; Qi, F.; Seshadri, B.; Wijayawardena, A.; Naidu, R. Contamination, fate and management of metals in shooting range soils—a review. Curr. Pollut. Rep. 2018, 4, 175–187. [Google Scholar] [CrossRef]
  41. U.S. EPA. Method 3051A: Microwave Assisted acid Digestiom of Sediments, Sludges, Soils and Oils; U.S. EPA: Washington, DC, USA, 2007.
  42. U.S. EPA. Recommendations for Sieving Soil and Dust Samples at Lead Sites for Assessment of Incidental Ingestion; OLEM 9200.1-129; U.S. EPA: Washington, DC, USA, 2016.
  43. Ruby, M.V.; Lowney, Y.W. Selective soil particle adherence to hands: Implications for understanding oral exposure to soil contaminants. Environ. Sci. Technol. 2012, 46, 12759–12771. [Google Scholar] [CrossRef] [PubMed]
  44. APAT-ISPRA. Criteri Metodologici per l’Applicazione dell’Analisi Assoluta di Rischio ai Siti contaminati. 2008. Available online: https://www.isprambiente.gov.it/it/attivita/suolo-e-territorio/siti-contaminati/analisi-di-rischio (accessed on 24 January 2021).
  45. Legislative Decree No. 152/06. In Environmental Framework Regulation; Italian Official Bulletin No. 88; Italian Official Bulletin: Roma, Italy, 2006.
  46. Juhasz, A.L.; Smith, E.; Weber, J.; Rees, M.; Kuchel, T.; Rofe, A.; Sansom, L.; Naidu, R. Predicting lead relative bioavailability in peri-urban contaminated soils using in vitro bioaccessibility assays. J. Environ. Sci. Health Part A 2013, 48, 604–611. [Google Scholar] [CrossRef] [PubMed]
Figure 1. Total inorganic content of fraction d < 2 mm, d < 250 µm, and d < 150 µm for samples A1, A2, S1, and S2 (striped bars represent values below the limit of quantification).
Figure 1. Total inorganic content of fraction d < 2 mm, d < 250 µm, and d < 150 µm for samples A1, A2, S1, and S2 (striped bars represent values below the limit of quantification).
Applsci 11 03005 g001
Figure 2. Bioaccessibile concentrations obtained applying the Unified Barge Method (UBM) (UBM-G: gastric phase; UBM-GI: gastro-intestinal phase) and Simple Bioaccessibility Extraction Test (SBET) to BGS102. The striped bars represent values below the limit of quantification. A 10-fold dilution of the extract for the SBET was applied.
Figure 2. Bioaccessibile concentrations obtained applying the Unified Barge Method (UBM) (UBM-G: gastric phase; UBM-GI: gastro-intestinal phase) and Simple Bioaccessibility Extraction Test (SBET) to BGS102. The striped bars represent values below the limit of quantification. A 10-fold dilution of the extract for the SBET was applied.
Applsci 11 03005 g002
Figure 3. Comparison of the bioaccessibile concentrations obtained applying UBM (UBM-G: gastric phase; UBM-GI: gastro-intestinal phase) and SBET to samples A1, A2, S1, and S2. The striped bars represent values below the limit of quantification.
Figure 3. Comparison of the bioaccessibile concentrations obtained applying UBM (UBM-G: gastric phase; UBM-GI: gastro-intestinal phase) and SBET to samples A1, A2, S1, and S2. The striped bars represent values below the limit of quantification.
Applsci 11 03005 g003
Figure 4. Bioaccessibility of metals and metalloids contained in samples A1, A2, S1, and S2 estimated adopting Equations (9) and (10). Striped bars represent values obtained from bioaccessible concentration lower than the limit of quantification.
Figure 4. Bioaccessibility of metals and metalloids contained in samples A1, A2, S1, and S2 estimated adopting Equations (9) and (10). Striped bars represent values obtained from bioaccessible concentration lower than the limit of quantification.
Applsci 11 03005 g004
Figure 5. Comparison of the cleanup goals (CSR) calculated for each soil sample (A1, A2, S1, and S2) using the different bioaccessibility BA1 and BA2 or considering a 100% bioaccessibility. The striped bars indicate that the normalized cleanup goals were at least higher than the reported value, whereas the bars with horizontal strips indicate that the cleanup goal was higher than 106.
Figure 5. Comparison of the cleanup goals (CSR) calculated for each soil sample (A1, A2, S1, and S2) using the different bioaccessibility BA1 and BA2 or considering a 100% bioaccessibility. The striped bars indicate that the normalized cleanup goals were at least higher than the reported value, whereas the bars with horizontal strips indicate that the cleanup goal was higher than 106.
Applsci 11 03005 g005
Table 1. Particle size fractions of the soil samples collected in the firing range.
Table 1. Particle size fractions of the soil samples collected in the firing range.
A1A2S1S2
(%)(%)(%)(%)
d > 2 mm87.831.257.760.7
d < 2 mm12.268.642.339.3
d < 250 µm2.4114.23.8
d < 150 µmn.d.4.32.22.1
Table 2. Studies on the bioaccessibility of Pb in shooting ranges.
Table 2. Studies on the bioaccessibility of Pb in shooting ranges.
BioaccessibilityMethodReferences
(%)
Walraven et al., 201561–79RIVM[35]
Sanderson et al., 201246–70SBET[36]
Smith et al., 201150–100SBRC[37]
Moseley et al., 200875–85PBET[38]
Publisher’s Note: MDPI stays neutral with regard to jurisdictional claims in published maps and institutional affiliations.

Share and Cite

MDPI and ACS Style

Zingaretti, D.; Baciocchi, R. Different Approaches for Incorporating Bioaccessibility of Inorganics in Human Health Risk Assessment of Contaminated Soils. Appl. Sci. 2021, 11, 3005. https://doi.org/10.3390/app11073005

AMA Style

Zingaretti D, Baciocchi R. Different Approaches for Incorporating Bioaccessibility of Inorganics in Human Health Risk Assessment of Contaminated Soils. Applied Sciences. 2021; 11(7):3005. https://doi.org/10.3390/app11073005

Chicago/Turabian Style

Zingaretti, Daniela, and Renato Baciocchi. 2021. "Different Approaches for Incorporating Bioaccessibility of Inorganics in Human Health Risk Assessment of Contaminated Soils" Applied Sciences 11, no. 7: 3005. https://doi.org/10.3390/app11073005

APA Style

Zingaretti, D., & Baciocchi, R. (2021). Different Approaches for Incorporating Bioaccessibility of Inorganics in Human Health Risk Assessment of Contaminated Soils. Applied Sciences, 11(7), 3005. https://doi.org/10.3390/app11073005

Note that from the first issue of 2016, this journal uses article numbers instead of page numbers. See further details here.

Article Metrics

Back to TopTop